الغلاف الأيوني

(تم التحويل من أيونوسفير)
طبقات الغلاف الجوي
Relationship of the atmosphere and ionosphere

الغلاف الأَيوني Ionosphere جزء من الغلاف الجوي للأرض فيه العديد من الأيونات (ذرات أو مجموعات ذرية مشحونة كهربائيًا) والإلكترونات الحرة. تتولد هذه الأَيونات من الإشعاعات الكونية وإشعاعات الشمس. ويمتد الغلاف الأيوني خلال طبقات الجو المعروفة بالغلاف الأوسط والغلاف الحراري.

Electric currents created in sunward ionosphere.

التاريخ

الغلاف الأيوني يبدأ فوق كل مكان، اعتباراً من ارتفاع 60 كيلو متراً ويمتد شاقولياً إلى 1000 كيلو متر تقريباً، حيث يلتحم بالغلاف المغنطيسي. أما وجود هذا الغلاف ـ الذي طرح بلفور ستيوارت Balfour Stewart فكرته عام 1883ـ فقد تأكد بصورة غير مباشرة مع حدوث أول إرسال برقي راديوي بعيد المسافة بين أوروبا وأمريكا، حيث نجح فيه ماركوني G.Marconi عام 1901، وكان كل من هيفيسايد Heaviside في إنكلترا وكينيلي Kennelly في الولايات المتحدة قد افترض بصورة مستقلة تفسيراً لذلك بأن الموجات الهرتزية استطاعت اتّباع انحناء سطح الأرض بفضل الانعكاسات التي عانتها في العلاء على سطوح ناقلة عالية، وإلا كانت هذه الموجات تلاشت في نصف الفضاء الكائن فوق محطة الإرسال، وذلك لو كان انتشارها يتم وفق خطوط مستقيمة. وانتشر مفهوم «طبقة كينيلي ـ هيفيسايد»، غير أن تأكيده انتظر نتائج آبلتون Appleton التي جاءت عام 1925 من مشاهدة عقد وبطون الاستقبال، التي أكدتها بعد قليل نتائج برايت وتيوف Breit/Tuve. وبعد أن أثبتت التجارب وجود مجموعة من الطبقات تتدخل في هذه العملية، تبنّت المنظمات الدولية مصطلح الغلاف الأيوني (أيونوسفير)، الذي اقترحه السير روبرت أ. واطسن ـ واط Robert A.Watson-Watt، لكي يدل على مجمل المنطقة التي تشغلها هذه الطبقات.[1]

التركيب

ويتألف الغلاف الأيوني من عدة مناطق مُؤَيَّنة. وأسفلها طبقة تُسمى منطقة دي، وتبدأ على ارتفاع ما بين 55 و89كم. أما منطقة آي فترتفع إلى ما بين 89 و145كم. وتبدأ منطقة إف من ارتفاع 145كم وتمتد ارتفاعًا إلى نحو 305كم. ويختلف ارتفاع هذه المناطق وتأَيُّنها بين النهار والليل مع تغيُّرات الإشعاع الشمسي. فمثلاً، تكاد تختفي منطقة دي في الليل. وترتفع المناطق الأخرى وتصبح في الليل أقل تأينًا بسبب عدم وصول إشعاع شمسي إلى الجو.

صورة لرياح الغلاف الپلازمي للأرض، من القمر الصناعي كلوستر، يوليو 2013.

من المعروف ان الكرة الأرضية مغلفة بالپلازما الواقعة في اعلى الغلاف الجوي، وتشكل الجزء الداخلي للغلاف المغناطيسي للأرض. إن حالة الپلازما تحدد سلوك الأحزمة الشعاعية في الغلاف المغناطيسي للأرض، المشبع بالجسيمات المشحونة الخطرة جدا على حياة رواد الفضاء والأجهزة الفضائية. لقد اكتشف علماء الفلك بعد تحليلهم المعلومات التي أرسلها القمر الصناعي كلوستر الذي أطلقته وكالة الفضاء الاوروپية، وجود حركة دائمة للجسيمات في الغلاف المغناطيسي للكرة الأرضية، التي تحمل المواد من القسم الداخلي للغلاف المغناطيسي إلى الخارج.[2] ويقول يانوس داندوراس، الباحث في معهد بحوث الفيزياء الفلكية بمدينة تولوز في فرنسا، "إن معرفة مصادر تجدد مواد الغلاف البلازمي وآلية فقدانها، وكذلك علاقة هذه العمليات بالنشاط المغناطيسي للارض، أمر مهم لتفسير آلية بعض الظواهر الطبيعية في المناخ الفضائي". واكتشف الباحث داندوراس بعد تحليل المعلومات التي أرسلتها أربعة اقمار اصطناعية من نوع كلوستر التي أطلقتها وكالة الفضاء الاوروبية، بان سرعة الحركة الثابتة للجسيمات في الغلاف الپلازمي تزيد عن 1.3 كلم/ثانية. وباعتقاده، إن "الريح" البلازمية تحمل الى القسم الخارجي من الغلاف المغناطيسي ما يقارب كيلوغرام واحد من البلازما كل ثانية. كما ان حركة الجسيمات لوحظت حتى عندما لم يكن المجال المغناطيسي للارض منحرفا بسبب الرياح الشمسية. لقد تحدث العلماء عن هذه الظاهرة قبل 20 سنة، إلا أنهم تمكنوا من مشاهدتها للمرة الاولى فقط. ويعتقد علماء الفلك بأنها متأتية عن اختلال في توازن قوى مختلفة، تؤثر في حركة البلازما. كما ان حركة الجسيمات يمكن ان تكون موجودة في الكواكب الاخرى، حيث أنها تنقل المواد من الجو الى الفضاء مما تسبب في انعدام وجود الحياة عليها.

التشكل

الشكل (1) مبدأ تشكل الطبقة المتأينة بالتأثر بين الإشعاع الشمسي والغلاف الجوي. إن معدل إنتاج التأين متناسب مع شدة الإشعاع وكثافة المادة المتأينة.

عرض س. تشابمان Chapman نحو عام 1931 نظرية تبسيطية في فرضياتها تتيح فهم الآلية التي يتم بها تشكل الطبقات الأيونية. وبموجب هذه النظرية يتناسب حدوث التأين مع شدة الإشعاع الشمسي من جهة ومع كثافة الجسيمات المعتدلة القادرة على امتصاص هذا الإشعاع. وهذان العاملان يتغيران مع الارتفاع في اتجاه متعاكس، إذ يزداد امتصاص الجو الأرضي للإشعاع الشمسي مع زيادة اختراق الأخير للجو، لذلك تزداد شدة الإشعاع مع الارتفاع، بينما تتناقص الكتلة الحجمية للجو تناقصاً شديداً مع الارتفاع الشكل (1)، فتحدث قيمة عظمى للتأيين عند ارتفاع متوسط، يتوقف موضعه على الزاوية السمتية للشمس. غير أن التأين يعروه فقدان بسبب اتحاد إلكترونات حرّة بأيونات موجبة لتعطي جسيمات معتدلة، وكذلك بفعل ارتباط الإلكترونات الحرّة بجسيم معتدل لتعطي أيونات سالبة، ويتحدد شكل الطبقة المتأينة بتساوي حدوث التأين وفقدانه. ولا تكتمل هذه النظرية إلا بمعرفة العوامل الفاعلة في الإنتاج والفقدان، والتي منها التوزع الطيفي للإشعاع الشمسي (المؤلف من طيف متصل تتخلَّله خطوط امتصاص). ولا تحمل ما يكفي من الطاقة لتحرير الإلكترونات والتسبب في التأيين إلا الإشعاعات التي تكون أطوال موجاتها أقصر من الطيف المرئي، وتقع في منطقة الأشعة فوق البنفسجية والأشعة السينية.

تحديد تكوّن الغلاف الأيوني تجريبياً

الشكل (2) مثال على سير أيونوسفيري شبه شاقولي

استخدمت طرائق عديدة، منها طريقة برايت وتيوف التي تعدّ أساسية، وفيها تتم عمليات سبر شاقولية (رأسية)، الشكل (2)، تجري يومياً من أغلب المحطات الأيونوسفيرية، كل ربع ساعة مثلاً لتحسين استخدام الاتصالات. لجأ هذان العالمان إلى تقنية كانت حديثة في حينها، هي إصدار قطار من النبضات في الاتجاه الشاقولي تكون قصيرة الأمد (نحو 1/10000 من الثانية مؤلفة من موجة حاملة ترددها مناسب (من 0.5 إلى 10ميغا هرتز). وعند استقبال صدى هذا القطار النبضي في جوار محطة الإرسال ـ إن كان قد انعكس حقاً على طبقة متأينة ـ يمكن حساب «الارتفاع التقديري» (أو الظاهري) لمكان هذا الانعكاس، وذلك عن طريق قياس مدة المسير ذهاباً وإياباً. يختلف هذا الارتفاع التقديري عن الارتفاع الحقيقي، لأنه يفترض أن الانتشار يحدث بسرعة الضوء في الخلاء، في حين أن هذه السرعة أقل من ذلك، وهي غير معروفة تماماً في مسيرات تحدث داخل الغلاف الأيوني، كما أن شروط الانعكاس ذاتها ليست شروط «الانعكاس المعدني» بل هي شروط التآثر، أي التفاعل المتبادل بين الحقل الكهربائي للموجة الصاعدة و«الإلكترونات الحرّة» الناتجة من تأيّن الطبقة المعتبرة. أما «الأيونات» ـ الموجبة في غالبيتها ـ فهي لا تتدخل مباشرة في هذه الآلية، نظراً لثقلها والأيونات الأساسية منها، وهي:

H+ , He+ , N2+ , O+ , O+2،

ولا يكون النوعان الأخيران منها إلا في الطبقات الأكثر ارتفاعاً، ولكنها تؤدي بالمقابل أثراً رئيساً في العمليات الكيميائية الضوئية التي تقود إلى تكوين الطبقات، وفي الظواهر الضوئية المرتبطة بالشفق القطبي.

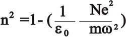
تتصرف مجموعة الإلكترونات على أنها وسط ضوئي تعطى قرينة انكساره بالعلاقة:

6780-2.jpg


المكتوبة في جملة الواحدات الدولية M.K.S.A المنطقة، حيث ε0 هي ثابتة سماحية الخلاء، وN هي الكثافة الحجمية للإلكترونات الحرّة، وe وm هما على الترتيب شحنة الإلكترون وكتلته، وω هو نبض الموجة الحاملة. وفي هذه الظروف تنعكس الموجة الصاعدة، نحو الأسفل، عندما تنعدم القرينة n، وهكذا تتحدد قيمة N بدلالة تردد الموجة المرسلة والارتفاع التقديري المقابل. وعند تطبيق هذا القياس على مرسل مجهز بماسح ترددي آلي، يصبح فيه النبض ω وسيط استكشاف، يتم الحصول على مخطط أيوني يبين بوضوح سبراً بعد سبر (في كل دورة مسح) مختلف الطبقات التي تكوّن الغلاف الأيوني في تلك اللحظة. يُشار إلى أنه في كل مرة تصل فيها الكثافة N، بفعل التزايد التدريجي للنبض ω، إلى قيمة تتجاوز قيمة التركيز الأعظم الموجود في الطبقة المعنية،؛ فإن الموجة تجتاز هذه الطبقة لتذهب وتنعكس على طبقة أعلى، إن كان يوجد فيها كثافة N كافية. ويسمى التردد الذي تتوقف عنده موجة معينة عن الانعكاس «التردد الحرج». وبدءاً من تردد معين كافٍ (يراوح بين 10 و20 ميغا هرتز حسب الحالة) تصبح كل منطقة الغلاف الأيوني نفوذة، وتعبر الموجة طبقاتها جميعاً.

يشار أيضاً إلى عمليات استكشاف تجري في الواقع، أو «في الأعلى» تحمل فيها المسابر في صواريخ أو سواتل، لأن طريقة إرسال الإشارات من سطح الأرض للحصول على معلومات لا تصلح إلا في المناطق التي تتزايد فيها الكثافة الإلكترونية مع الارتفاع، فالإشارة في المناطق التي تتناقص كثافتها مع الارتفاع؛ تكون قد انعكست على الطبقات السفلى ولا تصل إلى الأعلى، لذلك تحمل المسابر في الصواريخ والسواتل وعندئذ ترسل الإشارة من الساتل نحو الأسفل، لتنعكس نحو الأعلى على الطبقات التي تتزايد كثافتها مع نقصان الارتفاع، فتصبح شبيهة بالطريقة الأولى ولكنها معكوسة. غير أن استخدام المسابر المحمولة في المركبات الفضائية لإجراء القياسات في الموقع، يعاني الاضطرابات التي تسببها المركبة في الوسط المقيس، والتي تنتج من وجود المركبة المعدنية ذاتها التي تحاط بغمد من الأيونات، أو من تلوث الوسط بالغازات المتبقية الناتجة من الاحتراق في الصاروخ.

طبقات الغلاف الأيوني في حالة استقرارها الوسطية

الشكل (3) التوزع الشاقولي المتوسط للكثافة الإلكترونية مع الطبقات

تتألف منطقة الغلاف الأيوني في حالتها المستقرة نسبياً بصورة وسطية من الطبقات الآتية، الشكل (3).

  • الطبقة D هي الأكثر انخفاضاً (ما بين 60 و90كيلو متراً) والمدروسة أقل من غيرها من الطبقات، لأنها لاتكشف بالانعكاس، وكثافتها الإلكترونية ضعيفة؛ لأن الإشعاعات الشمسية المؤيّنة لاتصل إلى الارتفاعات المنخفضة، وهي بَعْدُ قادرة على تأيين O2 وN2، إنها تؤيّن NO فقط، ولكن التأين في هذه الطبقة يزداد بشدة مع النشاط الشمسي.
  • الطبقة E هي التي يبلغ ارتفاعها بين 90 و150 كيلو متراً، وتبلغ الكثافة الإلكترونية فيها 105 إلكتروناً في كل سنتمتر مكعب. ومكوّناتها المعتدلة هي O2 وO وN2 التي تتأين بالأشعة السينية (X) وبالأشعة فوق البنفسجية أكثر. وتتدخل هذه الطبقة بشكل أساسي في انتشار الموجات الطويلة.
  • الطبقة F هي التي يبلغ ارتفاعها 150 كيلو متراً فأكثر، وتصل كثافتها الإلكترونية في حدها الأقصى إلى106إلكتروناً في كل سنتمتر مكعب. وتنقسم هذه الطبقة إلى طبقتين متمايزتين، أولاهما F1 وهي السفلية (من 150 إلى 200 كيلو متر) وتظهر في النهار وحسب، والثانية F2 وهي العلوية (ما بعد 200كيلو متر) وهي أكثر تحسساً بالشعاعين الناتجين من الانكسار المضاعف، الشكل (4). أما فوق ارتفاع الكثافة الإلكترونية القصوى في الطبقة F2 فإن التأيين يصبح مهملاً بسبب التركيز الضعيف للجسيمات المعتدلة، فتتناقص هذه الكثافة بانتظام ويبقى الأيون O+ سائداً حتى الارتفاع 800 كيلو متر يليه الأيون He+ وأخيراً الأيون H+، أي أن الأيونات الخفيفة تطفو فوق الأيونات الثقيلة.
الشكل (4) مثال تخطيطي لمخطط أيوني "عادي" يظهر الطبقات F وF1 وF2. وفيه يقسم F2 إلى طبقتين "F2 عادية" و"F2 غريبة"، وتعود هذه التسمية إلى حدوث انكسار مضاعف في F2 يتسبب في الحقل المغنطيسي الأرضي

التغيرات والاضطرابات

تتعقد هذه الحالة الاستقرارية المتوسطة، فتعاني من تغيرات منظورة متوقعة، إما مكانية جغرافية بفعل الحقل المغنطيسي الأرضي الشاقولي في القطب والأفقي في المناطق المعتدلة والاستوائية، وإما زمانية يومية وفصلية كل إحدى عشرة سنة هي دورة النشاط الشمسي بفعل التآثر الشمسي الأرضي، كما تعاني تغيرات أخرى عارضة عشوائية غير متوقعة، لاتعرف أسبابها وآلياتها تماماً، تتمثل بعدم انتظام يصيب التأين كل ربع ساعة أو كل ساعة، مما يصيب حركة الاتصالات العالمية باضطرابات جسيمة، وتجتاز الغلاف الأيوني تيارات شديدة.

يُذكر أخيراً أن الغلاف الأيوني معروف مع تطوراته معرفة لا بأس بها، إلا أن آليات تشكله وتغذيته تبقى غير مؤكدة. ولكن من المتفق عليه أن ينظر إلى الأشعة فوق البنفسجية والأشعة السينية التي في الإشعاع الشمسي الأولي على أنها السبب الرئيسي لهذه التأينات، وتزداد هذه الإشعاعات كثيراً مع النشاط الشمسي كالكلف الشمسي والاندفاعات والفترات الأكثر نشاطاً في الدورة الشمسية.

الأهمية

ويجعل الغلاف الأَيوني الاتصالات الراديوية البعيدة المدى ممكنة لأنه يعكس إلى الأرض موجات راديو معَّينة على بُعد آلاف الأميال. وفي الليل، حين ترتفع مناطق الغلاف الأيوني، يمكن استقبال موجات الراديو عبر مسافات أبعد مما يحدث في أثناء النهار.

المصادر

  1. ^ أنطون مارين. "الغلاف الأيوني". الموسوعة العربية. Retrieved 2012-09-01.
  2. ^ "علماء الفلك "التقطوا" لاول مرة رياح الغلاف البلازمي للارض". روسيا اليوم. 2013-07-04. Retrieved 2013-07-27.

الموسوعة المعرفية الشاملة

  • Corum, J. F., and Corum, K. L., "A Physical Interpretation of the Colorado Springs Data". Proceedings of the Second International Tesla Symposium. Colorado Springs, Colorado, 1986.
  • Davies, K., 1990. Peter Peregrinus Ltd, London. ISBN 0-86341-186-X Ionospheric Radio.
  • Grotz, Toby, "The True Meaning of Wireless Transmission of power". Tesla : A Journal of Modern Science, 1997.
  • Hargreaves, J. K., "The Upper Atmosphere and Solar-Terrestrial Relations". Cambridge University Press, 1992,
  • Kelley, M. C, and Heelis, R. A., "The Earth's Ionosphere: Plasma Physics and Electrodynamics". Academic Press, 1989.
  • Leo F. McNamara. (1994) ISBN 0-89464-804-7 Radio Amateurs Guide to the Ionosphere.
  • D. Bilitza, "International Reference Ionosphere 2000," Radio Science, 36, 2, pp 261-275, 2001.

انظر أيضاً

وصلات خارجية

Wiktionary-logo-en.png
Look up ionosphere in Wiktionary, the free dictionary.