مجال كهربائي

(تم التحويل من المجال الكهربائي)
كهرومغناطيسية
Solenoid.svg
كهرباء • مغناطيسية
 ع  ن  ت


المجال الكهربائي في الفيزياء هو التأثير الناتج عن شحنة كهربائية (أو مجال مغناطيسي متغير) تبذل قوة على الأجسام المشحونة في المجال.

التاريخ

اكتُشفت الظواهر الكهربائية في عهد اليونان القدماء، الذين لاحظوا تكهرب الأجسام بالدَّلْك، أي اكتسابها شحنات كهربائية، وصُنفت هذه الأجسام، اصطلاحاً، في صنفين: أجسام موجبة الشحنة positive charge وسالبة الشحنة negative charge. يظهر وجود الشحنة الكهربائية electric charge في التفاعل المتبادل بين الأجسام المشحونة، فالأجسام التي تحمل شحنات متماثلة تتدافع، والأجسام التي تحمل شحنات مختلفة تتجاذب. وقد تبيّن، في بداية القرن العشرين، أن للشحنة قيماً متقطعة، أي إن هناك شحنة غير قابلة للتقسيم، تسمى الشحنة العنصرية الأولية وتساوي شحنة الإلكترون e، وأن شحنة أي جسم q تسـاوي مكـررات صحيحة لها، أي إن: q = ± Ne تعبر هذه العلاقة عن حقيقة أن الشحنة الكهربائية مُكمَّاة.

تتحدد قوة التفاعل المتبادل بين شحنتين كهربائيتين نقطيتين (أي بين جسمين مشحونين أبعادهما صغيرة بالنسبة للمسافة الفاصلة بينهما) ساكنتين بقانون كولوم Coulomb’s law الذي وضعه الفيزيائي الفرنسي كولوم عام 1785م، وينص على أن قوة التجاذب بين شحنتين مختلفتي الإشارة (أو قوة التنافر بين شحنتين متماثلتي الإشارة) تتناسب طرداً مع قيمة شحنة كلٍ منهما وعكساً مع مربع البعد بينهما، أي:

يعطى ثابت التناسب في الجملة الدولية للوَحَدات بالشكل:

عندما توضع الشحنتان في الخلاء، وقيمته العددية في هذه الجملة هي:10 9×9. وتمثل الثابتة e0 سماحية الخلاء. أما في الوسط المادي فيستبدل بـ e0 سماحية الوسط e. تعمل هذه القوة وفق الخط الواصل بين الشحنتين وتُمثَّل بمتّجهة vector.

أدخل الفيزيائي الإنكليزي فاراداي Faraday في ثلاثينيات القرن التاسع عشر مفهوم الحقل الكهربائي electric field لتوضيح الآثار التي يمكن أن تسببها الشحنات الكهربائية، فعدّ أن كل شحنة ساكنة تخلق في الفضاء المحيط بها حقلاً كهربائياً يؤثر في الشحنات الأخرى الموجودة حولها. ويقال إنه يوجد في نقطة ما حقل كهربائي إذا أثرت قوة كهربائية في شحنة ما q موضوعة في تلك النقطة . يتفق منحى واتجاه الحقل الكهربائي في نقطة ما من الفضاء مع منحى وجهة القوة التي يؤثر فيها الحقل في شحنة موجبة موضوعة في تلك النقطة. وإذا كان الحقل في نقطة ما ناتجاً من عدة شحنات نقطية فهو يساوي المجموع المتّجه للحقول الكهربائية الناتجة من كل شحنة لو وُجدت وحدَها، وهذا ما يسمى بمبدأ الانضمام.

تعريف

Electric field from a positive Q
Electric field from a negative Q

يتعرض الجسم المشحون الساكن في مجال كهربائي إلى قوة متناسبة مع شحنته حسب المعادلة,

where the magnetic flux density is given by,

and where is the Coulomb force. (See the section below).

التراكب

The electric field at a point is equal to the negative gradient of the electric potential there, :

قانون كولوم

The electric field surrounding a point charge is given by Coulomb's law:

where

Q is the charge of the particle creating the electric field,
r is the distance from the particle with charge Q to the E-field evaluation point,
is the Unit vector pointing from the particle with charge Q to the E-field evaluation point,
is the vacuum permittivity.

خطوط المجال الكهربائي

وهي تُعرف بوجهٍ عام، بأنها تلك المنحنيات التي تنطلق من الشحنات الموجبة وتنتهي إلى الشحنات السالبة، ويكون المماس لها عند أي نقطة منها منطبقاً على متجهة الحقل في تلك النقطة، وتسمى أحياناً بخطوط القوة، لأن منحى القوة هو منحى الحقل نفسه. يُستفاد من خطوط الحقل في إعطاء صورة تخطيطية تُوضح الآثار الكهربائية مرسومةً من جهة، ومن جهة أخرى، في التعبير عن شدة الحقل بأخذ عدد الخطوط التي تخترق واحدة السطح العمودي على الخطوط. يبين الشكل (1) نماذج خطوط الحقل الكهربائي الناتج من شحنات نقطية مختلفة.

خطوط الحقل الكهربائي الناتج عن شحنات نقطية مختلفة.jpg

مميزات خطوط المجال الكهربائي:

  1. تخرج من الشحنات الموجبة وتدخل في الشحنات السالبة.
  2. تتناسب كثافة خطوط المجال طردياً مع مقدار الشحنة الكهربائية.
  3. نحدد اتجاه المجال الكهربائي عند أي نقطة بنفس اتجاه المماس عند تلك النقطة.

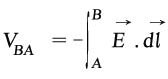
ويمكن التعبير عن الأثر الكهربائي لشحنة ما بطريقة تعتمد على العمل المبذول لتحريك شحنة أخرى تقع في حقلها. ولإظهار الأثر الناجم عن شحنة ما بقطع النظر عن الشحنة الأخرى، يُؤخذ فرق الكمون الكهـربـائـي الســاكن electrostatic potential difference بين نقطتين VBA في الحقــل المتـولـد عن الشحنة، والذي يُعرَّف بأنه العمل الواجب بذله لتحريك وحدة الشحنة الموجبة من النقطة الأولى إلى النقطة الثانية، الواقعتين في الحقل:

4518-14.jpg

ولأن القوى الكهربائية قوى محافظة، وهي تشبه بذلك قوى التجاذب الكتلية، فإن فرق الكمون لايتعلق بالطريق المسلوك، بل بالموضعين الابتدائي والنهائي فقط.

يرتبط الكمون الكهربائي بالحقل بالعلاقة ، ويكون استخدامه في التعبير عن الأثر الكهربائي أبسط لأنه مقدار سلمي مقارنة بالحقل الكهربائي الذي هو مقدار متّجه .

تُستخدم سطوح تساوي الكمون لإظهار الصورة التخطيطية عند التعبير عن الأثر الكهربائي بوساطة الكمون، وهي بالتعريف السطوح التي يكون لتابع الكمون في جميع نقاطها قيمة واحدة. يبين الـشكل(2) سطوح تساوي الكمون في الحالات الممثلة بالشكل(1). يُستفاد من سطوح تساوي الكمون في رؤية تغير الكمون، وبالنتيجة تغير الحقل، لأن الكمون عند سطح ما من هذه السطوح يختلف عن الذي يليه بمقدار ثابت.

سطوح تساوي الكمون (الخطوط المستمرة) وخطوط الحقل الكهربائي (الخطوط المتقطعة) لشحنات نقطية مختلفة.jpg

المجالات الإلكتروستاتية

Illustration of the electric field surrounding a positive (red) and a negative (green) charge.

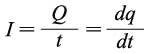
تُولِّد الشحنات الكهربائية الساكنة حقولاً كهربائيةً ساكنة electrostatic fields تُستخدم، إلى جانب الحقول المغنطيسية، في الكثير من أجهزة القياس الكهربائية البسيطة وصولاً إلى مطياف الكتلة. لكن، ينتج من حركة الشحنات الكهربائية في النواقل تيار كهربائي يُصطلح على أن جهته توافق اتجاه حركة الشحنات الموجبة. وتُعرف شدة التيار I بأنها مقدار الشحنة التي تعبر سطحاً ما خلال وحدة الزمن، أي:

4518-18.jpg

يُقاس التيار بوحدة الأمبير وهي الشدة الناتجة عن مرور شحنة مقدارها كولون واحد في كل ثانية. إلى جانب ذلك، يُستخدم لوصف التيار مقدار متّجه يسمى كثافة التيار، يساوي بالقيمة نسبة شدة التيار، المار عبر سطح عنصري عمودي على اتجاه حركة الشحنات المولدة للتيار، إلى مساحة هذا السطح. ففي حال عدم وجود حقل كهربائي، تتحرك حوامل الشحنة في الناقل عشوائياً وتكون كثافة التيار معدومة. أما بوجود الحقل، فيزداد متوسط عدد حوامل الشحنة السالبة (الإلكترونات)، التي تعبر السطح باتجاه الحقل، طرداً مع شدة الحقل مما يؤدي إلى جريان تيار كهربائي. وعلى هذا، لا ينشأ التيار الكهربائي إلا عند تطبيق حقل كهربائي، أو كما يُقال تطبيق فرق كمون على نهايتي الناقل. بعبارة أخرى، يسري التيار الكهربائي إذا تغيرت الشحنة مع الزمن. يمكن التعبير عن ذلك بوساطة ما يسمى معادلة الاستمرار continuity equation الآتية:

4518-11.jpg

يُمثل الحد الأول تغيرات كثافة الشحنة ، مع الزمن. أما الحد الآخر، وهو تفرُّق شعاع كثافة التيار ، فيعبر عن التغيرات المكانية للشحنة، أي إن يمثل . إن هذه العبارة ليست إلا تعبيراً حقيقياً عن قانون انحفاظ الشحنة.

اكتشف فاراداى عام 1831م ظهور قوة محركة كهربائية متحرضة في إطارٍ ناقلٍ عندما يوضع في حقل مغنطيسي متغير، أو عندما يتحرك في حقل مغنطيسي ساكن[ر]. يسمى التيار الذي تسببه القوة المحركة الكهربائية المتحرضة بالتيار المتحرض، وتُعيَّن جهته وفقاً لقانون لنز Lens‘s Law، الذي ينص على أن الحقل الكهربائي المتحرض، بسبب تغيير الشروط الفيزيائية، يتجه دوماً بحيث يقود إلى نشوء تيار في اتجاه يعاكس اتجاه التغير. إن القوة المحركة الكهربائية المتحرضة تساوي العمل، الذي تنجزه قوة الحقل الكهربائي المتحرض، واللازم لنقل واحدة الشحنة على طول منحنٍ مغلق. وفقاً لماكسويل، الذي وضع النظرية التقليدية (الكلاسيكية) التي تصف الحقول الكهرمغنطيسية[ر]، ينشأ الحقل الكهربائي المتحرض عند تغير الحقل المغنطيسي مع الزمن، والحقل الكهربائي المتغير مع الزمن يولّد حقلاً مغنطيسياً، وبنتيجة التفاعل المتبادل لهذه الحقول تنشأ الأمواج الكهرمغنطيسية (الكهرطيسية).

يستخدم الحقل الكهربائي الساكن في الكثير من التطبيقات التقنية. على سبيل المثال، في عملية الحصول على المرايا والمواشير والعدسات الإلكترونية التي تستعمل في الأجهزة المخصصة لتشكيل الحزم الإلكترونية والإيونية وتَبْئِيْرها وتغيير اتجاهها، وبالنتيجة الحصول على الأخيلة الإلكترونية والإيونية التي تمتاز من الأخيلة الضوئية العادية التي تشكلها الأدوات البصرية، بدقتها ووضوحها وصغر قيمة الزيغ فيها.

إضافة إلى ما تقدم ذكره، يستخدم الحقل الكهربائي الساكن، أو المتغير ببطء في المُسَرِّعات الخطية المستخدمة في تسريع الجسيمات المشحونة والحصول على جسيمات سريعة جداً ذات طاقة مرتفعة وثابتة من حيث القيمة. لمثل هذه الجسيمات تطبيقات متعددة في الفيزياء الذرية والنووية. على سبيل المثال، توليد الأشعة السينية والتفكك الإشعاعي للنوى.

المتوازيات بين حقول الكهرباء والجاذبية

Electric field from a negative Q where

الحقول كهروديناميكي

الطاقة في المجال الكهربائي

تمديدات أخرى

Definitive equation of vector fields

علاقة التأسيسي

الإستخدامات

يُستفاد من الحقول الكهربائية ذات التوترات (الفلطيات) العالية في إحداث انفراغ كهربائي في الغازات. فبتأثير هذه الحقول تمتلك الإلكترونات طاقة مرتفعة مما يجعلها قادرة على تأيين ذرات وجزيئات الغاز الذي يملأ حجرة التأين. تُطبق هذه التقنية في توليد البلازما في المنابع الإيونية، وفي الحصول على منابع ضوئية مناسبة للدراسات الطيفية، وفي الليزرات الغازية الجزيئية ذات الاستطاعات العالية من أجل الحصول على أوساط ليزرية فعالة ومتجانسة، وفي كيمياء البلازما لدراسة التفاعلات الكيميائية في الغازات.

إن البرق هو من الحوادث الكهربائية الطبيعية التي أثارت الانتباه منذ زمن بعيد، وهو ليس إلا عملية انفراغ كهربائي في الهواء، على شكل شرارة كهربائية، يحصل عندما يتحول الهواء فجأةً من عازل جيد إلى ناقل جيد حين يصبح الحقل الكهربائي شديداً. يتولد الحقل الكهربائي اللازم لحصول الشرارة بين الغيوم المشحونة بشحنتين مختلفتين مما يؤدي إلى حصول انجراف إلكتروني بين الشحنتين. وفي شروطٍ محددةٍ، تتشكل في الهواء قنوات متشعبة مضيئة وضيقة تحتوي على الأيونات الغازية. تمتد هذه القنوات بسرعة لتصبح قنوات ناقلة للكهرباء بين الشحنات المختلفة الإشارة. عندئذٍ، تزداد شدة التيار بحدة، ويزداد معها عرض تلك القنوات بسرعة. إلى جانب هذا، تزداد قيم الضغط بقفزات حادة، مما يقود إلى ظهور موجة صدم عند نهايتي كل قناة. تولّـد مجموعة أمواج الصدم هذه موجة صوتية هي صوت الرعد الذي يُسمع عند حدوث البرق.

تستخدم الشرارة الكهربائية في الكثير من التطبيقات العلمية والتقنية. على سبيل المثال: تحريض عمليات الاحتراق، والانفجار الموجه في التفاعلات التسلسلية، وفي عمليات التحليل الطيفي للجسيمات المشحونة، وفي معالجة السطوح.[1]

انظر أيضاً

المصادر

  1. ^ عصام الجغامي. "الحقل والشحنة الكهربائيان". الموسوعة العربية.

وصلات خارجية

الكلمات الدالة: