ڤانيلين

(تم التحويل من فانيلين)
Caduces2.jpg مهـا
ساهم بشكل رئيسي في تحرير هذا المقال
ڤانيلين
Vanillin
Vanillin-3d.png
الأسماء
اسم أيوپاكs
4-Hydroxy-3-methoxybenzaldehyde
3-ميثوكسي 4-هيدروكسي بنزالدهيد
أسماء أخرى
Vanilin
Vanillic aldehyde
Methyl vanillin
ألدهيد الفانيليا
المُعرِّفات
رقم CAS
3D model (JSmol)
ECHA InfoCard 100.004.060 Edit this at Wikidata
رقم RTECS
  • YW5775000
الخصائص
الصيغة الجزيئية C8H8O3
كتلة مولية 152.15 غ/مول
المظهر بلورات إبرية لها رائحة الفانيليا
الكثافة 1.06 غ/سم3
نقطة الانصهار
نقطة الغليان
قابلية الذوبان في الماء ضعيفة
قابلية الذوبان في THF, ethanol, methanol الإيثانول
methanol 4.16 M [1]
اللزوجة ? cP at ?°C
المخاطر
خطر رئيسي May cause irritation to skin,
eyes, and respiratory tract
توصيف المخاطر R22, R36.
تحذيرات وقائية S24/25.
NFPA 704 (معيـَّن النار)
Flammability code 1: لابد أن يكون ساخناً مسبقاً قبل أن يحدث اشتعال. نقطة الوميض فوق 93 °س (200 °ف). مثل زيت الكانولاHealth code 1: التعرض سيتسبب في تهيجاً ولكن لا يترك سوى جروح طفيفة باقية. مثل زيت الترپنتينReactivity (yellow): no hazard codeSpecial hazards (white): no codeNFPA 704 four-colored diamond
1
1
نقطة الوميض 147°C
مركبات ذا علاقة
ما لم يُذكر غير ذلك، البيانات المعطاة للمواد في حالاتهم العيارية (عند 25 °س [77 °ف]، 100 kPa).
مراجع الجدول

ڤانيلين هو مركب عضوي صيغته الجزيئية C8H8O3. ومجموعاته الوظيفية تضم ألدهيد، إيثر وفينول. وهو المكون الرئيسي في خلاصة حبوب الڤانيليا. ويوجد أيضاً في القهوة المحمصة[2] وفي الصنوبر الأحمر الصيني. وأحياناً يـُستعمل الڤانيلين المصنـَّع، بدلاً من خلاصة الڤانيليا الطبيعية، كعامل منكه في الأغذية والمشروبات والمستحضرات الصيدلية.

الفانيلين ذو لون أبيض أو قشدي، يكون على شكل بلورات إبرية أو مسحوق. ويوجد مع عطور أخرى في قرون نبتة الفانيليا ويستخدم كبديل عن المادة المستخرجة من الفانيليا. وله رائحة فانيلية مميزة ومذاق حلو.

تطبيقاته في التركيب الدوائي والتكنولوجيا الصيدلانية:

للفانيلين استخدامات واسعة كمنكِّه في المستحضرات الدوائية والأطعمة والمشروبات والحلويات، حيث أنه يعطي مذاقاً مميزاً والرائحة الفانيلية (جنس من النباتات) الطبيعية. ويستخدم أيضاً في العطور ككاشف تحليلي، وكمركب وسطي في تخليق عدد من المستحضرات الدوائية، لا سيما ميثيل دوبا (دواء خافض لضغط الدم). بالإضافة إلى أنه قد تم التأكد من دور الفانيلين كعامل علاجي في حالات فقر الدم المنجلي ويُدَّعى أنه يمتلك بعض الخصائص المضادة للفطريات. وفي التطبيقات الغذائية، ثبت استعماله كحافظ.

أما بالنسبة لدوره كسواغ في المستحضرات الدوائية، فيستخدم الفانيلين في الأقراص والمحاليل (0,01- 0,02 غ/ل) والشرابات والمساحيق ليغطي المذاق والرائحة الكريهة لبعض التراكيب الدوائية،مثل أقراص الكافئين وأقراص البوليثيازيد(دواء مدر للبول وخافض للضغط). كما أنه يستخدم في التلبيس بالفيلم لإخفاء الطعم والرائحة بمضغوطات ((بأقراص)) الفيتامينات.[3]

التواجد

These green seed pods contain vanillin only in its glycoside form, and lack the characteristic odor of vanilla.


الانتاج

الانتاج الطبيعي

يستخلص الڤانيلين الطبيعي من قرون نبات Vanilla planifola ، وهو نبات سحلبي متسلّق. موطنه الأصلي هو المكسيك، لكن حالياً ينمو في المناطق الاستوائية حول العالم. تعد جزيرة مدغشقر حالياً هي أكبر منتج للڤانيلين الطبيعي.

عند الحصاد، فإن القرون الخضر الحاوية على الڤانيلين بشكل β-D-glycoside لا تملك طعم أو رائحة الڤانيلا.[4]

Glucovanillin.svg
β-D-glycoside of vanillin

بعد الحصاد، تتطور النكهة المميزة بعد عملية معالجة تستمر لمدة شهر، تختلف تفاصيل العملية باختلاف المناطق المصنّعة، لكن بشكل عام فإنها تتم كما يلي:

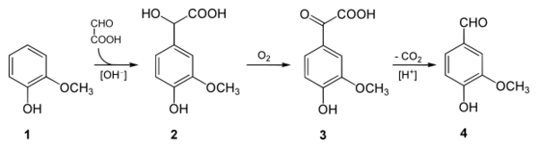
التخليق الكيميائي

Synthesis vanillin 4.svg


الاستخدامات

Vanilla extract

مواصفاته حسب دساتير الأدوية:

مواصفات الفانيلين حسب دساتير الأدوية.JPG

المصادر

الكلمات الدالة: