تمدد حراري
| الديناميكا الحرارية |
|---|
تمدد حراري (إنگليزية: thermal expansion) هو تغير شكل المادة نتيجة لتغير درجة الحرارة. ولما كان انضغاط الجوامد والسوائل ضئيلاً فإنه يكفي عملياً دراسة تمددها في ضغط قليل التغير كالضغط الجوي.
عندما يتم تسخين مادة، تبدأ الجسيمات تزيد حركة الجسيمات، وتحاول المحافظة على المسافات الموجودة بينها, ومع زيادة درجة الحرارة تتسع هذه المسافات، ويقتصر هذا التأثير على الحجم. ويطلق على درجة من التوسع مقسومة على التغير في درجات الحرارة معامل التمدد الحراري (coefficient of thermal expansion) المواد وبصفة عامة يختلف مع درجة الحرارة.
نظرة عامة : أثر الحرارة على المواد
يجب أن نعرف اولا أن المادة تتكون من جزيئات في حالة حركة مستمرة ونتيجة حركة هذه الجزيئات فان للجزيئات طاقة حركة ونتيجة قوة الجذب المتبادلة بين الجزيئات فان لها طاقة وضع ومجموع هاتين الطاقتين يطلق عليهما اسم الطاقة الداخلية.
الطاقة الداخلية للجسم = طاقة الوضع + طاقة الحركة
وعند التسخين او التبريد فان طاقة حركة الجزيئات تزيد أو تقل تتباعد أو تتقارب وبالتالي تزداد المسافات بين الجزيئات او تقل فتتغير من حالة إلى أخرى.
قد صنف العلماء حالات المادة الى (صلبة- سائلة – غازية)
وصنفها البعض إلى ثلاثة أشكال:
- الجامدة
- المائعة وتشمل ( السوائل والغازات )
- البلازما
والبلازما: هي حالة توجد عليها المادة عند ارتفاع درجة حرارة الغازات الى درجات الحرارة العالية حيث تتفكك الجزيئات الى ايونات موجبة والكترونات السالبة مكونة خليطا من الايونات المشحونة وهي ما تسمى بالبلازما وهي تؤلف القسم الاعظم من مادة الكون والمجرات0
ومما سبق يمكن القول أن:
- درجة حرارة الجسم تعتبر مقياسا لطاقة حركة جزيئاته.
- حالة الجسم تعتبر مقياسا لطاقة وضع جزيئاته.
فمثلا الماء عند درجتين 50 و80 تكون طاقة الحركة مختلفة وطاقة الوضع ثابتة.
لعلك لاحظت أن الأسلاك الممدودة تكون مرتخية صيفا ومشدودة شتاء, وزيادة انتفاخ إطارات السيارة نهارا ونقص انتفاخها ليلا, وتجمد الدهن داخل الاوعية شتاء و سيولته صيفا, فما سبب هذه الظاهرة؟
ان اكتساب المادة لكمية من الطاقة الحرارية يؤدي إلى زيادة طاقة حركة جزيئاتها(وزيادة سرعتها) فترتفع درجة حرارتها0فتتدافع الجزيئات مع بعضها مما يؤدي إلى زيادة المسافات البينية فتزداد أبعادها الهندسية – الطول والعرض والارتفاع-أي أنها تتمدد فيزداد طولها ومساحة سطحها وحجمها0
وباستمرار اكتساب المادة للطاقة الحرارية تستمر درجة حرارتها في الارتفاع إلى أن تصل إلى درجة معينة تتحول عندها من حالة إلى أخرى عند نفس الدرجة , والطاقة الحرارية المكتسبة في هذه الحالة تختزن على طاقة وضع كامنة, وعند تحول المادة تماما تصرف الطاقة الحرارية التي تكتسب بعد ذلك في زيادة طاقة حركة جزيئاتها مرة أخرى, أي تزداد طاقة حركة جزيئاتها مرة أخرى(فترتفع درجة حرارتها).
تنبـّـؤ التمدد
إذا وُجدت معادلة حال (state equation) ، يمكن استعمالها للتنبؤ بقيم التمدد الحراري (to predict the values of thermal expansion) عند كل قيم الضغط ودرجات الحرارة المطلوبة، بالإضافة إلى توابع حالة عديدة أخرى.
تأثيرات التقلص
يتقلص عدد من المواد عند تسخينه ضمن مجالات معينة لدرجات الحرارة؛ يدعى هذا عادةً «التمدد الحراري السالب» بدلًا من «التقلص الحراري». على سبيل المثال، ينخفض معامل التمدد الحراري للماء إلى الصفر عند تبريده إلى درجة حرارة 3.983 مئوية ثم يصبح سالبًا تحت هذه الدرجة، يعني ذلك أن للماء كثافة أعظمية عند درجة الحرارة هذه، ويؤدي ذلك لحفاظ الكتل المائية على درجة الحرارة هذه في أعماقها الدنيا لفترات ممتدة من التعرض لدرجة حرارة دون الصفر. أيضًا، يمتلك السيليكون النقي بما يكفي معامل تمدد حراري سالب لدرجات حرارة بين 18 و120 كلفن.[1]
العوامل المؤثرة على التمدد الحراري
على عكس الغازات والسوائل، تميل المواد الصلبة للمحافظة على شكلها عند التعرض للتمدد الحراري.
ينخفض التمدد الحراري على العموم مع ازدياد طاقة الرابطة الجزيئية، ما يترك أثرًا أيضًا على درجة انصهار المواد الصلبة، لذا، من الأرجح للمواد ذات درجات الانصهار المرتفعة أن يكون تمددها الحراري أقل. بشكل عام، تتمدد السوائل بشكل أكبر قليلًا من المواد الصلبة. التمدد الحراري للزجاجيات أعلى بالمقارنة مع التمدد الحراري للمواد ذات البنية البلورية (تدعى أيضًا المواد الكريستالية). عند درجة الحرارة الانتقالية للزجاج، تؤدي إعادات التموضع التي تحدث في مادة غير متبلورة إلى انقطاعات مميزة لمعامل التمدد الحراري والحرارة النوعية. تسمح هذه الانقطاعات باكتشاف درجة الحرارة الانتقالية للزجاج التي يتحول عندها سائل فائق التبريد إلى زجاج.[2][3]
قد يغير امتصاص الماء (أو مذيبات أخرى) أو امتزازه حجمَ العديد من المواد الشائعة؛ وهذا أكثر تأثيرًا من التمدد الحراري على تغيير حجم العديد من المواد العضوية. يمكن للدائن الشائعة المعرضة للماء أن تتمدد بنسبة مئوية كبيرة على المدى البعيد.
معامل التمدد الحراري
يصف «معامل التمدد الحراري» كيف يتغير حجم شيء ما مع تغير درجة الحرارة. وبالتحديد، فإنه يقيس التغير النسبي في الحجم عند تغير درجة حرارة بمقدار درجة واحدة تحت ضغط ثابت. استحدثت أنواع عديدة من المعاملات: الحجمية والسطحية والخطية. يعتمد اختيار المعامل على التطبيق المحدد والأبعاد التي تُعتبر مهمة. بالنسبة للمواد الصلبة، يمكن أن يهتم المرء بالتغير مع الطول فقط، أو التغير على مساحة ما.
معامل التمدد الحراري الحجمي هو أكثر معاملات التمدد الحرارة بساطةً، والأكثر أهمية في الموائع. بشكل عام، تتمدد المواد وتتقلص عند تغير درجات حرارتها، ويحدث التمدد والتقلص على كل الاتجاهات. تدعى المواد التي تتوسع بنفس المقدار في كل الاتجاهات مواد متناحيةً. بالنسبة للمواد المتناحية، تكون معاملات التمدد الحراري السطحية والحجمية أكبر بضعفين وثلاثة أضعاف من معاملات التمدد الحراري الخطية، على الترتيب.
ترد التعاريف الرياضية لتلك المعاملات أدناه للمواد الصلبة والسائلة والغازية.
معامل التمدد الحراري حجمي عام
المعامل التمدد الحراري الـ«خاص بقياس الأحجام» أو بالقصير : «حجمي» العام (general volumetric thermal expansion coefficient) هو معرّف بأنـّه يعطي النسبة التفاضلية بين اِزدواد الحجم النسبي و تغيـّر درجة الحرارة من جسم من عالم الفيزياء
(1)
حيث أنّ الكميتان المذكورتان في مسرد المـُتـَفاضـِلتـَيـْن الجـُزْئِيـَّتـَيـْن (partial differentials) كالضغت و عدد الجـُسـَيـْمـَات عليهنا أن تبقيتان ثابـِتـَتـَيـْن أثناء التفاضل.
حل هذه المعادلة التفاضلية من الرُّتبة الأولى يأتي من :
(2)
ذلك هو الحل المتابع لدرجة الحرارة. عند وجود معامل التمدد الحراري حجمي عام مستقل عن درجة الحرارة يصير مع التالي :
(3)
هنا من الإمكان أن يـُـستخدم إخطاط (linearization) في نقطة ِ اِستعمال ٍ معيّن ٍ التي أصبحت تـُـعْـلَـم بالمسرد ، واِستخدام الإخطاط ذاك هو مسموح به عند التبايـُـنات الصغيرة من درجة الحرارة حول . عندئذ ٍ يتمّ التقريب :
(4)
ذلك معناه أن الإخطاط يقع في النقطة الاِستعمالية . بـاِستعمال أحد العلاقات الماكسولية (Maxwell relation) هو من الإمكان أن يـُتعلّق عامل تمدد حراري الحجمي العام بالـ إنتروبية :
(5)
حيث أنّ الكتلة تكن مستقلة عن درجة الحرارة بسبب مبدأ حفظ الكتلة ، فيـُحـَصـَّـل على معامل التمدد الحراري حجمي عام عن طريق الكثافة المتابعة لدرجة الحرارة :
(6)
تمدد حراري للمواد الصلبة
(الف) معاملات التمدد: الطولي والسطحي والحجمي: يعرَّف معامل التمدد الطولي طه لعينة صلبة على شكل قضيب بين درجتي الحرارة (0 س) و (د س) بأنه مقدار ازدياد طول واحدة الأطوال من القضيب في الدرجة 0 س عندما تزداد درجة حرارته درجة سلزيوس واحدة أي أن:

حيث يدل لد على طول القضيب في الدرجة دْس ويدل ل0 على طوله في الدرجة 0س. ويبين الجدول معاملات التمدد الطولي لبعض المواد الصلبة، ويُرى أن مرتبته تراوح بين 10-4 و10-5 فهو صغير جداً، لذلك تستعمل في تعيينه أجهزة دقيقة. وبالمثل يعرَّف معامل التمدد السطحي لمادة صلبة سه بالعلاقة:

كما يعرَّف معامل التمدد الحجمي لمادة صلبة حه بالعلاقة:

ولا يتوقف معامل التمدد الطولي لمادة ما على المنحى إذا كانت المادة متناحية متماثلة المناحي (isotrope)، أي كانت خواصها الفيزيائية واحدة في كل المناحي، وهي حالة الأجسام غير المتبلورة والأجسام ذات البلورات الدقيقة كالأجسام المعدنية، إذ تكون بلوراتها موجهة توجهاً عشوائياً؛ لذلك تحافظ العينة المتناحية على شكلها وعلى نسب أبعادها عندما تتمدد.
أما إذا كانت العينة لا متناحية غير متماثلة المناحي (anisotrope)، أي كانت من الأجسام المتبلورة إلا الزمرة المكعبية منها، فإن طه يختلف باختلاف المنحى.
(باء) قياس معامل التمدد الطولي:


لما كان معامل التمدد الطولي صغيراً جداً، كان من الضروري أن يقاس بدقة كافية تغيرات في الطول ضئيلة جداً؛ ويستعمل لهذا الغرض مقارن (comparator) مكوَّن من مجهرين زُوِّد كل منهما بعينية (eye-piece) ذات مقياس دقيق يقيس 0.2 مكرون (المكرون= 10-6 متر)، ويُجعل محورا المجهرين شاقوليين، ويمكن زلقهما أفقياً على حامل حديدي متين (الشكل -1)؛ وتوضع العينة، التي يراد تعيين معامل تمددها الطولي، وهي على شكل قضيب، داخل إناء عازل للحرارة فيه ماء درجة حرارته 0ْس، ويكون على القضيب خطان دقيقان يعيَّن البعد بينهما ل بدقة، ثم يُمر ماء في الإناء درجة حرارته دْ س ثابتة، ويحكَّم المجهران على الخطين الدقيقين من جديد فيُعرف مقدار ازدياد الطول لد ـ ل0، ويحسب طه اعتماداً على العلاقة (١).
ويُتَّبع طرائق التداخل (د) لقياس معامل التمدد الطولي للعينات الصغيرة أو البلورات بتكوين أهداب التداخل لأرمن فيتزو (Armand Fizeau).
ـ نتائج القياس: يتوقف معامل تمدد جامدٍ على طبيعته، وإذا كان الجامد سبيكة توقف المعامل على تركيبها، كذلك يتوقف المعامل على درجة الحرارة، ويمكن القول بوجه عام إن معامل التمدد يصغر كلما انخفضت درجة الحرارة ويبدو أنه ينعدم في درجة الصفر المطلق -372ْس.
(ثاء) نتائج تمدد المواد الصلبة وتطبيقاته:
يمكن أن يولّد تمدد الجوامد أو تقلصها قوى دفع أو قوى شدٍ كبيرة، ويستفاد من ذلك في تطويق عجلات العربات الخشبية بأطواق حديدية وفي برشمة القطع المعدنية. كذلك يراعى التمدد الحراري للجسور فيُجعل أحد طرفي الجسر مرتكزاً على عجلات تتحرك في مجال معيَّن، كما يراعى هذا التمدد عند مد السكك الحديدية فتُترك مسافة فاصلة بين كل قضيبين، وعند مد الأنابيب المعدنية لتوصيل المياه أو البخار أو الغاز فتستعمل وصلة قابلة للتمدد، وعند صنع الأواني الزجاجية المعرَّضة لتغيرات فجائية في درجة الحرارة فتصنع رقيقة الجدران. كذلك يصنع رقاص (نواس) الساعة، للحفاظ على دقة توقيتها، من معدنين يجعل تمددهما متعاكسين ومتكافئين بحيث يبقى طول النواس ثابتاً فيثبت دوره، أو يصنع ساعد الرقاص من السبيكة Invar (إنفار) (36٪ نيكل، 64٪ حديد) التي معامل تمددها صغير جداً. ويستفاد من الفرق بين تمددين معدنيين في صنع منظم الحرارة (thermostat)، وهو يتكون من صفيحة مؤلفة من شريحتين رقيقتين مصنوعتين من معدنين مختلفين تُلحمان أو تدمجان معاً، وتثبَّت إحدى نهايتي الصفيحة وتجعل حركة النهاية الأخرى تفتح دارة كهربائية أو تغلقها. وتستخدم الطريقة نفسها في صنع المحرار المعدني الذي يتكون من شريط طويل مؤلف من معدنين مختلفين مندمجين، يُلف على شكل لولب ويثبت طرفه الداخلي، ويلحم على طرفه الخارجي مشير يتحرك أمام تدريجات معايرة عندما تتغير درجة الحرارة.
تمدد حراري للأجسام
يتوقف مقدار تمدد المادة بالتسخين على مقدار قوى التماسك بين جزيئاتها, فالمادة الصلبة يكون مقدار تمددها بالتسخين صغيرا جدا نظرا لكبر قوى التماسك بين جزيئاتها,في حين أن تمدد السوائل يكون أكبر من تمدد الأجسام الصلبة بالتسخين , أما الغازات فيكون تمددها بالتسخين أكبر بكثير من السوائل لأن قوى التماسك بين جزيئات الغاز تكاد تكون معدومة 0.
التمدد الخطي (الطولي) للأجسام الصلبة
تختلف قوى التماسك بين جزيئات المواد الصلبة باختلاف انواعها 0لذلك يختلف مقدار الزيادة في الطول-أي التمدد الطولي (longitudinal expansion) بالتسخين.
وقد وجد بالتجربة العملية أن التمدد الطولي لجسم بالتسخين يتوقف على:
(7)
الثابت الذي يواصف المادّة يتوقف على نوع المادة ويطلق عليه اسم معامل التمدد الخطي (linear expansion coefficient) ويرمز له بالحرف اللاتيني α ( الفا)
معامل التمدد الحراري خطي (طولي)
من المعادلة رقم (6) يمكن تقدير التغير في البعد الخطي تقريبيًا بأنه:
(8)
ووحدة المعامل التمدد الحراري الخطي هي :
يعني التمدد الخطي تغيرًا بجهة واحدة (الطول) في مقابل التغير في الحجم (التمدد الحجمي). بتقريب أول، يتعلق تغير قياسات طول شيء ما نتيجة التمدد الحراري بتغير درجة الحرارة وفق «معامل تمدد حراري خطي». وهو التغير النسبي في الطول لكل تغير في درجة الحرارة بمقدار درجة واحدة. بافتراض إمكان إهمال أثر الضغط، يمكن كتابة:
(9)
حيث قياس محدد للطول و معدل تغير البعد الطولي ذاك لكل تغير واحدي في درجة الحرارة.
يمكن استعمال هذا التقريب طالما أن معامل التمدد الخطي لا يتغير بشدة مع تغير درجة الحرارة ، وطالما أن التغير النسبي في الطول صغير . إذا اختلّ أي من هذين الشرطين، تجب مكاملة المعادلة التفاضلية الدقيقة (باستخدام ).
تأثيرات على الانفعال
يمكن تقدير التغير في البعد الخطي تقريبيًا بأنه:
(10)
حيث
هو الفرق في درجات الحرارة بين انفعالين مسجلين، مقاسًا بدرجات فهرنهايت، أو درجات رانكين، أو الدرجات المئوية (سيليسيوس)، أو مقاسًا بالكلفن، و هو المعامل الخطي للتمدد الحراري بواحدة «لكل درجة فهرنهايت» أو «لكل درجة رانكين» أو «لكل درجة سيليسيوس» أو «لكل كلفن» ويرمز لها على التتالي °F−1, R−1, °C−1, or K−1,. في مجال ميكانيك الوسط المستمر، يُعامل التمدد الحراري وتُعامل آثاره على شكل مصفوفة مميزة للانفعال ومصفوفة مميزة للإجهاد.
التمدد المساحي
يمكن تقريب التغير النسبي في المساحة إلى:
(11)
يمكن استعمال هذه المعادلة طالما أن معامل التمدد السطحي لا يتغير بشدة في المجال الحراري ، والتغير النسبي في المساحة صغير . إذا اختل أحد الشرطين، تجب مكاملة العلاقة.
يربط معامل التمدد الحراري السطحي بين التغير في أبعاد مساحة المادة والتغير في درجة الحرارة. هو التغير النسبي في المساحة لكل تغير في درجة الحرارة بمقدار درجة واحدة. بإهمال الضغط، يمكننا أن نكتب:
(12)
حيث مساحة ما مميزة من الجسم، و معدل تغير تلك المساحة بالنسبة إلى واحدة تغير درجة الحرارة.
ووحدة معامل التمدد الخطي هي :
التمدد الحجمي للأجسام الصلبة
ذكرنا بأن الجسم الصلب عندما يسخن فإن جميع أبعاده تتمدد وهذا يعني أن حجمه يزداد ويعرف ذلك التمدد الحجمي يمكن حساب مقدار التغير (الويادة أو النقصان) الذي يحدث في جسم معين من الجسم الصلب عندما تتغير درجة حرارته بمقدار من المعادلة التالية:
(13)
- حيث () هي التغير في حجم الجسم الصلب
- () هي الحجم الاصلي للجسم الصلب عند الدرجة المنخفضة
- () التغير في درجة الحرارة
- () مقدار ثابت يُعرف بـ«معامل التمدد الحجمي للمادة» ويتوقف على نوع المادة نفسها ويُقدّر بنفس الوحدة الفيزيائية – وهي – إزاء «معامل التمدد الخطي (الطولي) للمادة».
وحيث أن
ووحدة معامل التمدد الخطي هي :
مثل للاِستيعاب :
اِفترضْ كرة من الـنحاس (copper) حجمها عند درجة حرارة سُخـِّنـَت حتى درجة حرارة . أوجــِـدْ حجمها عند الدرجة الاخيرة اذا عَلـِمْتَ أن معامل التمدد الخطي لمادة النحاس اتـّـخذ قيمة !!
حل المسألة :
وعلى هذا الأساس يصير
مواد متناحية
قيمة معامل التمدد الحراري الحجمي للمواد المتناحية ثلاثة أضعاف قيمة المعامل الخطي:
(14)
تنشأ هذه النسبة من أن الحجم مركب من ثلاثة اتجاهات متعامدة فيما بينها. وبالتالي، ففي مادة متناحية، ولأجل تغيرات تفاضلية صغيرة، يكون ثلث التمدد الحجمي على محور وحيد. على سبيل المثال، لنأخذ مكعبًا من الفولاذ له أحرف طول كل منها . عندها يكون الحجم الأصلي وسيكون الحجم الجديد بعد ازدياد درجة الحرارة:
(15)
يمكننا بسهولة إهمال الحدود، لأن التغير في L مقدار صغير أصلًا، وبالتالي سيصغر كثيرًا عند تربيعه.
إذًا:
(16)
يبقى التقريب السابق صحيحًا لأجل تغيرات صغيرة في درجات الحرارة والأبعاد (أي عندما يكون و صغيرين)؛ لكنه لا يبقى صحيحًا إذا كنا نحاول الانتقال جيئة وذهابًا بين المعاملات الخطية والحجمية باستخدام قيم أكبر للفرق . في تلك الحالة، يجب أخذ الحد الثالث (وأحيانًا حتى الحد الرابع) بالحسبان في المعادلة السابقة.
وبالمثل، فإن قيمة معامل التمدد الحراري السطحي هي ضعفا قيمة المعامل الخطي:
(17)
يمكن إيجاد هذه النسبة بشكل مشابه لتلك التي في المثال الخطي أعلاه، بملاحظة أن مساحة وجه المكعب تساوي فقط . أيضًا، يجب وضع نفس الاعتبارات عند التعامل مع قيم كبيرة للفرق .
مواد لامتناحية
إن المواد ذات البنى اللامتناحية، كالمواد ذات البنية البلورية (التي لها تناظر أقل من مكعب، كالأطوار المارتنسيتية) ومركبات عديدة، يكون لها بشكل عام معاملات تمدد حراري خطي مختلفة في الاتجاهات المختلفة. وكنتيجة لذلك، يتوزع التمدد الحجمي الكلي بشكلٍ غير متساوٍ على المحاور الثلاثة. إذا كان التناظر البلوري أحادي الميل أو ثلاثي الميل، تخضع زوايا تلك المحاور أيضًا للتغيرات الحرارية. من الضروري في الحالات المشابهة معاملة معامل التمدد الحراري على أنه متجه موتر له ما يصل إلى ستة عناصر مستقلة. من الجيد دراسة التمدد من خلال حيود المسحوق بواسطة الأشعة السينية لتحديد عناصر المتجه الموتر. يكون موتر معامل التمدد الحراري للمواد التي تمتلك خاصية تناظر مكعب (كالمواد ذات البلورات المتمركزة حجميًا (بي سي سي) والمواد ذات البلورات المتمركزة وجهيًا (إف سي سي)) متناحيًا (إيزوتروبيًا).[5]
تمدد حراري للسوائل

عرفنا أن الاجسام الصلبة تتمدد خطيا وسطحيا وحجميا لأن لها شكل ثابت. أما السوائل فليس لها شكل ثابت بل تأخذ شكل الاناء الحاوي لها وتحتفظ بحجومها لذلك فان السوائل تتميز بنوع واحد من التمدد هو التمدد الحجمي ويتوقف مقدار التغير في حجم سائل عندما يكتسب مقدارامعين من الطاقة الحرارية على العوامل التالية:
1- الحجم الأصلي للسائل ()
2- مقدار التغير في درجة حرارة السائل ()
3- نوع مادة السائل
ويمكن حساب التغير في الحجم من العلاقة التالية:
(18)
حيث مقدار ثابت يتوقف على نوع مادة السائل ويسمى معامل التمدد الحجمي للسائل. ومعنى هذه العلاقة أن قانون هوك الذي عموماً يـُنتمى إليه في شأن تمدد المواد الصلبة هو غير وارد ولا يصحّ للسوائل !!! وذلك لأنّ العلاقة بين تغيير درجة الحرارة وتغيـّر الحجم على هذا الأساس لا تكن خطّيـّة على الإطلاق عند أغلب أنواع السوائل. بالرغم من ذلك يبدو أنّ كيميائيون كثيرون يتـّـخذون الموضوع من منظور پراگماتي جداً.
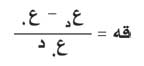
1ـ معامل التمدد الحقيقي لسائل ومعامل تمدده الظاهري: لما كانت السوائل لا تحافظ على أشكالها بل تأخذ شكل الوعاء الذي توجد فيه، فإن السائل يتمدد عندما ترتفع درجة حرارته (التمدد الحقيقي) كما يتمدد الوعاء في الوقت نفسه؛ فقياس تمدد السائل في هذه الحالة يعطي ما يسمى التمدد الظاهري للسائل، فيجب في هذه الحالة إجراء التصحيح وأخذ تمدد الوعاء في الحسبان، كما في حالة محرار زئبقي كبير مكوَّن من مستودع للزئبق يعلوه أنبوب، تجويفه اسطواني منتظم المقطع مدرَّج بتدريجات متساوية، (الشكل ـ2)، فيكون بالتقريب: قه = هه + عه، وفيها قه معامل التمدد الحقيقي للسائل، وهه معامل التمدد الظاهري، وعه معامل التمدد الحجمي للوعاء.

2ـ قياس معامل التمدد الحقيقي لسائل: يمكن قياس معامل التمدد الحقيقي قياساً مباشراً بـ « طريقة دولنْگ وبتي» (technique of Dulong and Petit)، اعتماداً على مبدأ توازن السوائل الذي ينص على أن ضغط السائل الساكن متساوٍ في الأواني المستطرقة. ويتألف الجهاز كما هو مبين في (الشكل-3) من أنبوبين مفتوحين شاقوليين أ و ب متصلين في أسفلهما بأنبوب شعري أفقي. يُملأ الأنبوبان بالسائل المراد تعيين معامل تمدده الحقيقي ويحاط أحدهما (أ) بالجليد (0ْس)، والآخر (ب) ببخار ماء يغلي درجة حرارته دْ س، وتقاس درجة حرارة كلٍ من الأنبوبين بالمحرار المعلّق بجانبه. فإذا كان ارتفاع السائل في الأنبوب (أ) يساوي ع0 عندما يتوازن عمود السائل، وكان ارتفاع السائل في الأنبوب ب حينئذ يساوي عد، فسيعطى معامل التمدد الحقيقي بالعلاقة:

وهناك طرائق خاصة لقياس معامل التمدد الحقيقي لكلٍ من الماء والزئبق.
3ـ نتائج القياسات: إن معامل تمدد السوائل أكبر بوجه عام من معامل تمدد التامواد الصلبة، كما يتبين ذلك من الجدول. ويتوقف معامل تمدد السوائل الحقيقي على درجة الحرارة، ويزداد سريعاً بازديادها، ويشذ عن ذلك الماء إذ إنه ينكمش ما بين الدرجة 0ْس والدرجة 4ْس. ويتمدد فيما بعد ذلك، أي إن كتلته الحجمية تكون عظمى عند الدرجة 4ْس. ومن أثر شذوذ الماء هذا، يتجمد السطح العلوي لكثير من البحيرات العذبة والأنهار في فصل الشتاء وتكون درجة حرارة الطبقات السفلى منها +4ْس، وتبقى كذلك مدة أشهر في بعض الأحيان، ولو لم يكن هذا لهلكت الأسماك والحيوانات التي تعيش في هذه المياه.
ويمكن تفسير شذوذ الماء على النحو الآتي: إن المسافة الوسطية بين جزيئات الجليد أكبر منها في الماء السائل، لذلك يطفو الجليد على الماء. وعندما يذوب الجليد في الدرجة 0ْس تتفكك بعض جزيئاته ويستمر تفكك جزيئاته التي على شكل سائل بارتفاع درجة الحرارة فوق 0ْس فتتناقص المسافة الوسطية بين هذه الجزيئات ويصغر الحجم الذي تشغله. ويتعادل تناقص الحجم هذا مع ازدياد الحجم الناجم عن التمدد العائد إلى ازدياد هيجان الجزيئات الحراري عند الدرجة 4ْس. فظاهرة التفكك هي التي تسيطر ما بين 0ْس و4ْس في حين يسيطر التمدد الحراري ما بعد 4ْس.
أمثلة وتطبيقات
تطبيقات تمدد السوائل
يستفاد من التمدد الظاهري للسوائل في صنع المحارير التي يستعمل فيها الزئبق أو الكحول عادة، وفي صنع المحارير المسجّلة، كما يستفاد من تغير كثافة الماء بتغير درجة الحرارة في تدفئة البيوت بوساطة تيارات الحمل convection، وفي تبريد أسطوانة محرك الآلة الحرارية بإحاطتها بماء يجري في مشع يُجعل أمام مروحة الآلة.
وينبغي لكي يكون قياس الضغط الجوي بوساطة مقياس الضغط ذي الزئبق دقيقاً، إجراء تصحيح على ارتفاع عمود الزئبق ليؤخذ في الحسبان تمدد الزئبق وتغير كثافته، وكذلك تمدد معدن المسطرة التي تحمل التدريجات المشيرة إلى قيمة الضغط.[6]
تمدد حراري للغازات
تمدد حراري لغازات مثالية ذي مساواة الضغط أم ذي مساواة الحجم
لغاز ٍ مثالي ٍ يتعلق التمدد الحراري الحجمي بطراز الصيرورة (depends on the type of process) التي تـُـغـَيـَّـر فيها درجة الحرارة. مساواة الضغط ومساواة الحجم تعتبران قضيـّتين ساذجتين. قانون الغاز المثالي يقول أنّ الجداء من الضغط والحجم تتناسب مع درجة الحرارة :
(19)
تفاضل العلاقة يؤدّي إلى :
(20)
في ظروف قضية مساواة الضغط (in an isobaric case) يصير :
(21)
الذي يؤدّي إلى :
وذلك يؤدّي الى تعريف معامل التمدد الحراري المتساوي الضغط كما يلي :
(22)
بتشابه لما سبق تـُطبـّـق قضية مساواة الحجم (an isochoric case becomes practiced) :
(23)
الذي يؤدّي إلى :
وذلك يؤدّي الى تعريف معامل التمدد الحراري المتساوي الضغط كما يلي :
- .
(24)
معاملات التمدد الحراري للمواد مختلفة
مقالة مفصلة: معامل التمدد الحراري للعناصر (صفحة البيانات)
معامل التمدد الطولي لبعض الجوامد
المواد الصلبة (طه) في درجة الحرارة العادية
الألمنيوم 38.2
الذهب 14.3
الفضة 1.88
البلاتين 9.00
النحاس 1.68
الرصاص 29.4
الحديد 1.21
التوتياء 26.3
النيكل 1.29
الزجاج 8…9
السبيكة invar إنفار (36٪ نيكل، 64٪ حديد ) 0.09
معامل التمدد الحقيقي لبعض السوائل (قه)
الزئبق (mercury) 18.2
الكحول الإتيلي (ethyl alcohol) 112
الإيتر (ether) 166
البنزن(benzene) 124
الغليسرول (glycerol) 50.5
البنتان (pentane) 161
| Material | Linear coefficient, , at 20 °C |
Volumetric coefficient, , at 20 °C |
Notes |
|---|---|---|---|
| Aluminium | 23 | 69 | |
| Benzocyclobutene | 42 | 126 | |
| Brass | 19 | 57 | |
| Carbon steel | 10.8 | 32.4 | |
| Concrete | 12 | 36 | |
| Copper | 17 | 51 | |
| Diamond | 1 | 3 | |
| Ethanol | 250 | 750[7] | |
| Gallium(III) arsenide | 5.8 | 17.4 | |
| Gasoline | 317 | 950 | |
| Glass | 8.5 | 25.5 | |
| Glass, borosilicate | 3.3 | 9.9 | |
| Gold | 14 | 42 | |
| Indium phosphide | 4.6 | 13.8 | |
| Invar | 1.2 | 3.6 | |
| Iron | 11.8 | 33.3 | |
| Kapton | 20[8] | 60 | DuPont Kapton 200EN |
| Lead | 29 | 87 | |
| MACOR | 9.3[9] | ||
| Magnesium | 26 | 78 | |
| Mercury | 61 | 182 | |
| Molybdenum | 4.8 | 14.4 | |
| Nickel | 13 | 39 | |
| Oak | 54 [10] | Perpendicular to the grain | |
| Douglas-fir | 27 [11] | 75 | radial |
| Douglas-fir | 45 | 75 | tangential |
| Douglas-fir | 3.5 | 75 | parallel to grain |
| Platinum | 9 | 27 | |
| PVC | 52 | 156 | |
| Quartz (fused) | 0.59 | 1.77 | |
| Quartz | 0.33 | 1 | |
| Rubber | 77 | 231 | |
| Sapphire | 5.3[12] | Parallel to C axis, or [001] | |
| Silicon Carbide | 2.77 [13] | 8.31 | |
| Silicon | 3 | 9 | |
| Silver | 18[14] | 54 | |
| Sitall | 0.15[15] | 0.45 | |
| Stainless steel | 17.3 | 51.9 | |
| Steel | 11.0 ~ 13.0 | 33.0 ~ 39.0 | Depends on composition |
| Titanium | 8.6 | ||
| Tungsten | 4.5 | 13.5 | |
| Water | 69 | 207[16] | |
| YbGaGe | ≐0 | ≐0[17] | |
| Zerodur | ≈0.02 | at 0–50°C |
انظر أيضاً
- بارامتر تبع گروينأيزن (Grüneisen parameter)
- خواص المواد (ديناميكا حرارية) (Material properties (thermodynamics))
مراجع
- ^ Bullis, W. Murray (1990). "Chapter 6". In O'Mara, William C.; Herring, Robert B.; Hunt, Lee P. (eds.). Handbook of semiconductor silicon technology. Park Ridge, New Jersey: Noyes Publications. p. 431. ISBN 978-0-8155-1237-0. Retrieved 2010-07-11.
- ^ A. K., Varshneya (2006). Fundamentals of inorganic glasses. Sheffield: Society of Glass Technology. ISBN 978-0-12-714970-7.
- ^ Ojovan, M. I. (2008). "Configurons: thermodynamic parameters and symmetry changes at glass transition". Entropy. 10 (3): 334–364. Bibcode:2008Entrp..10..334O. doi:10.3390/e10030334.
{{cite journal}}: CS1 maint: unflagged free DOI (link) - ^ Track Buckling Research. US Department of Transportation
- ^ http://solidmechanics.org/Text/Chapter3_2/Chapter3_2.php#Sect3_2_16
- ^ طاهر تربدار. "تمدُّد الجوامد والسوائل". الموسوعة العربية.
- ^ Young; Geller. Young and Geller College Physics (8th ed.). ISBN 0-8053-9218-1.
- ^ "DuPont™ Kapton® 200EN Polyimide Film". matweb.com.
- ^ "MACOR data sheet" (PDF). corning.com.
- ^ "WDSC 340. Class Notes on Thermal Properties of Wood". forestry.caf.wvu.edu.
- ^ "The coefficients of thermal expansion of wood an wood products" (PDF). library.oregonstate.edu.
- ^ "Sapphire" (PDF). kyocera.com.
- ^ "Basic Parameters of Silicon Carbide (SiC)". Ioffe Institute.
- ^ "Thermal Expansion Coefficients".
- ^ "Star Instruments".
- ^ "Properties of Common Liquid Materials".
- ^ Salvador, James R.; Guo, Fu; Hogan, Tim; Kanatzidis, Mercouri G. (2003). "Zero thermal expansion in YbGaGe due to an electronic valence transition". Nature. 425 (6959): 702. Bibcode:2003Natur.425..702S. doi:10.1038/nature02011. PMID 14562099.
وصلات خارجية
- Glass Thermal Expansion Thermal expansion measurement, definitions, thermal expansion calculation from the glass composition
- Water Expansion Calculator Water thermal expansion calculator
- DoITPoMS Teaching and Learning Package on Thermal Expansion and the Bi-material Strip
- Engineering Toolbox – List of coefficients of Linear Expansion for some common materials
- Article on how β is determined
- MatWeb: Free database of engineering properties for over 79,000 materials
- USA NIST Website – Temperature and Dimensional Measurement workshop
- Hyperphysics: Thermal expansion
- Understanding Thermal Expansion in Ceramic Glazes