مجموعة وظيفية
في الكيمياء العضوية المجموعة الفعالة هى مجموعات محددة من الذرات ضمن الجزيئات, مسئولة عن خواص التفاعلات الكيميائية لهذه الجزيئات. وتتبع نفس المجموعات الفعالة نفس الطريقة في التفاعلات الكيميائية بغض النظر عن حجم الجزئ المرتبطة به.
أما في علم البيئة المجموعة الفعالة هى مجموعة من الكائنات لها تصرفات تشكل أو وظائف متشابهه, أو لها تشابه في الإستجابة البيئية لظاهرة غذائية معينة.
الكيمياء التخليقية
التوظيف
التوظيف Functionalization هو إضافة مجموعات وظيفية إلى سطح مادة بواسطة طرق التخليق الكيميائي. ويمكن تعريض المجموعة الوظيفية المضافة إلى طرق التخليق المعتادة لإلحاق أي نوع تقريباً من المركبات العضوية إلى السطح.
جدول المجموعات الوظيفية الشائعة
والجدول القادم هو قائمة بأشهر المجموعات الفعالة. ويمثل الرمزان R, R' الهيدروجين أو سلسلة الهيدروكربون الجانبية المتصلة بها المجموعة الفعالة بأى طول, ولكن يمكن أن تمثل في بعض الأحيان أيضا أى مجموعة من الذرات.
| تصنيف كيميائي | المجموعة | الصيغة | الشكل | البادئة | اللاحقة | مثال |
|---|---|---|---|---|---|---|
| أسيل هاليد | هالوفورميل | RCOX | هالوفورميل- | -أويل هاليد | أسيتيل كلوريد |
|
| كحول | هيدروكسيل | ROH | هيدروكسيل- | -اول | ميثانول |
|
| ألدهيد | ألدهيد | RCHO | أوكسو- | -ال | أسيتالدهيد |
|
| ألكان | ألكيل | RH | ألكيل- | -ان | ميثان |
|
| ألكين | ألكين | R2C=CR2 | ألكيل- | -ين | إثيلين |
|
| ألكايين | ألكايين | RC≡CR' | ألكاينيل- | -يين | أسيتيلين |
|
| أميد | كاروكساميد | RCONR2 | كاربوكساميدو- | -اميد | أسيتاميد |
|
| امين | امين أولي | RNH2 | أمينو- | -أمين | ميثيل أمين |
|
| أمين ثنائي | R2NH | أمينو- | -أمين | داي ميثيل أمين |
||
| امين رباعي | R3N | أمينو- | -أمين | تراي ميثيل امين |
||
| 4° أيون أمونيوم | R4N+ | أمونيو- | -أمونيوم | كولين |
||
| مركب أزو | أزو (ديميد) |
RN2R' | ازو- | دايازين | ||
| مشتقات تولوين | بينزيل |
RCH2C6H5 |
بنزيل- | 1-(مستبدل)تولوين | بنزيل بروميد (1-برومو تولوين) |
|
| كربونات | إستر كربونات | ROCOOR | ألكيل كربونات | |||
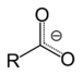
| كربوكسيلات | كربوكسيلات | RCOO− | كربوكسي- | -اوات | ||
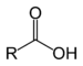
| حمض كربوكسيلي | كربوكسيل | RCOOH | كربوكسيل- | -اويك | ||
| سيانات | سيانات | ROCN | سياناتو- | ألكيل سيانات | ||
| ثايوسيانات | RSCN | ثايوسيانات- | ألكيل ثايوسيانات | |||
| إيثير | إيثير | ROR' | ألكوكسيل- | ألكيل ألكيل ايثير | ||
| إستر | إستر | RCOOR' | -وات | |||
| هالوألكان | هالو | RX | هالو- | ألكيل هاليد | ||
| إيمين | كيتيمين اولي | RC(=NH)R' | إيمينو- | -يمين | ||
| كيتيمين ثنائي | RC(=NR)R' | إيمينو- | -يمين | |||
| ألديمين أولي | RC(=NH)H | إيمينو- | يميني- | |||
| الديمين ثنائي | RC(=NR')H | إيمينو- | -يمين | |||
| أيزو سيانيد | أيزو سيانيد | RNC | ![]() |
أيزو سيانو- | ألكيل أيزو يانيد | |
| أيزو سيانات | أيزو سيانات | RNCO | أيزو سياناتو- | ألكيل أيزو سيانات | ||
| أيزو ثيو سيانات | RNCS | أيزو ثيو سياناتو- | ألكيل أيزو ثيو سيانات | |||
| كيتون | كيتون | RCOR' | كيتو-, اوكسو- | -ون | ||
| نيتريل | نيتريل | RCN | سيانو- |
الكاننيتريل |
||
| مركب نيترو | نيترو | RNO2 | نيترو- | |||
| مركب نيتروزو | نيتروزو | RNO | ![]() |
نيتروزو- | ||
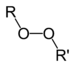
| بيروكسيد | بيروكسي | ROOR | بيروكسي- | ألكيل بيروكسيد | ||
| مشتق بنزين | Phenyl | RC6H5 | فينيل- | -بنزين | ||
| فوسفين | فوسفينو | R3P | فوسفينو- | فوسفان- | ميثيل بروبيل فوسفان |
|
| فوسفو داي استر | فوسفات | HOPO(OR)2 | حمض فوسفوريك ثنائي(مستبدل) استر | ثنائي(مستبدل) هيدروجين فوسفات | ||
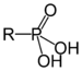
| حمض فوسفوريك | فوسفونو | RP(=O)(OH)2 | فوسفونو- | مستبدل حمض فوسفوريك | ||
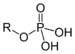
| فوسفات | فوسفات | ROP(=O)(OH)2 | فوسفو- | |||
| مشتق بيريدين | بيريديل | RC5H4N |
4-بيريديل / بيريدين-4-يل |
-بيريدين | ||
| سلفون | سلفونيل | RSO2R' | سلفونيل- | ثنائي(مستبدل) سلفون | ||
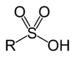
| حمض سلفونيك | سلفو | RSO3H | سلفو- | مستبدل حمض سلفونيك | ||
| سلفوكسيد | سلفونيل | RSOR' | سلفينيل- | ثنائي(مستبدل) سلفوكسيد | داي فينيل سلفوكسيد |
|
| ثايول | سفلى دريل | RSH | ميركابتو-, سلفانيل- | -ثايول |
وبدمج اسم المجموعة الفعالة مع اسم الألكان يمكن الوصول لطريقة فعالة لتسمية المركبات العضوية.
غالبا ما تترافق المجموعات الفعالة التى لا تحتوى على هيدروجين مع باقى الجزئ بالروابط التساهمية. وفى حالة إرتباط المجموعة الفعالة مع باقى الجزئ بالقوة الأيونية, يطلق على المجموعة أيون متعدد الذرات أو أيون معقد. ويطلق عليهم جذور حرة.
أول ذرة كربون بعد الذرة المرتبطة بالمجموعة الفعالة يكلق عليها كربون ألفا.
وصلات خارجية
- إختصارات الأيوباك
- كتاب الأيوباك- مختصر التسميات الكيميائية
- الكتاب الأزرق للأيوباك- تسمية المركبات العضوية
المصادر
- ويكيبيديا الإنجليزية.

