تفاعل الهالوفورم
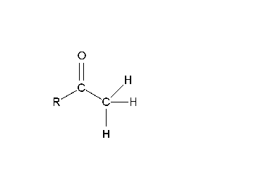
تفاعل الهالوفورم haloform reaction، هو تفاعل كيميائي الذي يتم فيه إنتاج الهالوفورم (CHX3، حيث إكس X هو الهالجوين) عن طريق هلجنة شاملة لكيتون الميثيل (جزيء يحتوي على مجموعة R–CO–CH3) في وجود قاعدة.[1] قد تكون R ألكايل أو أريل. يمكن استخدام التفاعل لإنتاج الكلوروفورم (CHCl3)، البروموفورم (CHBr3)، أو اليودوفورم (CHI3).

الآلية

الاستخدمات
عادة ما يستخدم هذا التفعال كاختبار كيميائي للتحليل العضوي النوعي للتعرف على وجود كيتون الميثيل، أو الكحول الثانوي القابل للتأكسد إلى كيتون الميثيل عن طريق اختبار اليودوفورم. في الوقت الحالي، التقنيات الطيفية مثل NMR والأشعة تحت الحمراء تعتبر من الطرق الأكثر سهولة وسرعة بدلاً من الاختبارات النوعية. يستخدم تفعال اليودوفورم كاختبار تفعال للكحول الإثيلي في عينات الكحول.
في السابق كان يستخدم لإنتاج اليودوفورم، البروموفورم، وحتى الكلوروفورم، صناعياً.[citation needed]
في الكيمياء العضوية، قد يستخدم هذا التفاعل لتحويل كيتون الميثيل إلى حمض كربوكسيلي مماثل.
اختبار اليودوفورم

عند استخدام اليود وهيدروكسيد الصوديوم ككواشف، فإن التفاعل الإيجابي يعطي اليودوفورم. اليودوفورم (CHI3) هو مادة صفراء شاحبة. بسبب كتلته المولية الكبيرة الناتجة بسبب وجود ثلاث ذرات يود، يكون صلباً في درجة حرارة الغرفة (راجع الكلوروفورم والبروموفورم). وهو عبارة عن مادة قابلة للذوبان في الماء وله رائحة المطهر.
التاريخ
تفاعل الهالوفورم هو أحد أقدم التفاعلات العضوية المعروفة.[2] عام 1822، أضاف سرولاس فلز الصوديوم إلى محلول اليود في الإيثانول والماء لتشكيل فورمات البوتاسيوم واليودوفورم، والذي أطلق عليه في لغة تلك الفترة الهدرجة اليودية للكربون.[3] عام 1831، توصل يوستوس فون لايبيگ إلى أن تفاعل الكلورال مع هيدروكسيد الكالسيوم لتشكيل الكلوروفورم وفرومات الكالسيوم. أعيد اكتشافا التفاعل بواسطة أدولف لايبن عام 1870. كذلك يطلق على اختبار اليودوفورم اسم تفاعل هالوفورم لايبن. تنقيع تفاعل هالوفورم تم نشره مع قسم تاريخي عام 1934.[4]
التفاعل الصافي
R-CO-CH3 + 3XO- ==> RCOO- + CHX3 + 2OH-
R-CHOH-CH3 + XO- ==> R-CO-CH3 + X- + H2O
R-CHOH-CH3 + 4XO- ==> RCOO- + CHX3 + X- + H2O + 2OH-
X2 + 2OH- ==> XO- + X- + H2O
R-CO-CH3 + 3X2 + 4OH- ==> RCOO- + CHX3 + 3X- + 3H2O starting from ketone and
R-CHOH-CH3 + 4X2 + 6OH- ==> RCOO- + CHX3 + 5X- + 5H2O starting from alcohol.
المنتجات الثانوية
ستفقد سلسلة الكربون الكيتوني مجموع الميثيل لتشكل مجموعة كربوكسيل عند الموضع الكربونيلي. في البيئة القلوية من المتوقع أن يكون على هيئة أيون. إذا كان الكيتون أسيتون فإن المنتج الثانوي الكربوكسيلي (RCOO-) يكون أيون أسيتات. تبعاً لحالة الماء، سيتشكل أيضاً الهيدروكسيد والهاليد، انظر معادلات التفاعل الصافي.
المصادر
- ^ Chakrabartty, in Trahanovsky, Oxidation in Organic Chemistry, pp 343–370, Academic Press, New York, 1978
- ^ László Kürti and Barbara Czakó (2005). Strategic Applications of Named Reactions in Organic Synthesis. Amsterdam: Elsevier. ISBN 0-12-429785-4.
- ^ Georges-Simon Surellas, Notes sur l'Hydriodate de potasse et l'Acide hydriodique. – Hydriodure de carbone; moyen d'obtenir, à l'instant, ce composé triple [Notes on the hydroiodide of potassium and on hydroiodic acid – hydroiodide of carbon; means of obtaining instantly this compound of three elements] (Metz, France: Antoine, 1822). On pages 17–20, Surellas produced iodoform by passing a mixture of iodine vapor and steam over red-hot coals. However, later, on pages 28–29, he produced iodoform by adding potassium metal to a solution of iodine in ethanol (which also contained some water).
- ^ Reynold C. Fuson and Benton A. Bull (1934). "The Haloform Reaction". Chemical Reviews. 15 (3): 275–309. doi:10.1021/cr60052a001.


