تفاعل مايار

تفاعل مايار Maillard reaction (/maɪˈjɑːr/ my-YAR؛ بالفرنسية: [majaʁ])، هو تفاعل كيميائي بين الأحماض الأمينية والسكريات المختزلة التي تعطي الأغذية المخبوزة نهكتها المميزة. اللحوم المسفوعة، الزلابية المقلية، الكوكيز وأنواع البسكويت الأخرى، الخبز، المارشملو المحمص، بالإضافة للكثير من الأغذية الأخرى، تخضع لهذا التفاعل. سُمي التفاعل على اسم الكيميائي الفرنسي لوي-كامي مايار، الذي وصفه لأول مرة عام 1912 أثناء محاولته اعادة تخليق الپروتين حيوياً.[1][2]
التفاعل هو أحد أشكال الإسمرار الغير إنزيمي والذي عادة ما يحدث بسرعة في درجات حرارة من 140 إلى 165 °س. تنصح الكثير من الوصفات بالخبز على درجات حرارة عالية بما يكفي لحدوث تفاعل مايار.[3] في درجات الحرارة العالية، تصبح الكرملة والتحلل الحراري اللاحق أكثر وضوحاً.
تتفاعل مجموعة الكربونيل النشطة مع المجموعة الأمينية المحبة للنواة في الحمض الأميني، تشكل مزيجاً معقداً من الجزيئات ذات الخصائص المحدودة المسئولة مجموعة من الروائح والنكهات. تتسارع هذه العملية في البيئة القلوية (على سبيل المثال، إضافة محلول هيدروكسيد الصوديوم لإكساب المعجنات لوناً داكناً؛ انظر لفائف محلول هيدروكسيد الصوديومٍ)، ولأن المجموعات الأمينية (RNH3+ → RNH2) تكون منزوعة الپروتين، فإنها تكون محبة للنواة بشكل متزايد. يحدد نوع الحمض الأميني النكهة الناتجة. يعتبر هذا التفاعل أساساً للكثير من وصفات صناعة النكهات. وعلى الرغم من أن تفاعل مايار يكسب الطعام لونه الذهبي ونكهته المميزة إلا أن درجات الحرارة العالية، واللازمة لحدوث التفاعل، قد ينتج عنها تكون مادة مسرطنة تسمى الأكريلاميد .[4]
أثناء التفاعل، تتكون المئات من مركبات النكهة المختلفة. تتكسر هذه المركبات بدورها لتشكل المزيد من مركبات النكهة الجديدة، وهكذا. يحتوي كل نوع من أنواع الطعام على مجموعة مميزة جداً من مركبات النكهة التي تتكون أثناء تفاعل مايار. وهي نفس المركبات التي يستخدمها كيميائيو النكهات منذ سنين لصنع النكهات الاصطناعية.
التاريخ
عام 1912 نشر مايار بحثاً تفسير ما يحدث عندما تتفاعل الأحماض الأمينية مع السكريات عند درجات الحرارة العالية.[1] إلا أن الكيميائي جون إ. هودج، الذي كان يعمل في وزارة الزراعة الأمريكية في پيوريا، إلينوي، هو من نشر بحثاً عام 1952 والذي وضع آلية تفاعل مايار.[5][6]
نكهات وألوان الأغذية
هل تساءلت كيف يكتسب الخبز لونه الذهبي الداكن ورائحته الشهية؟ أو كيف تتحول تلك الحبوب الخضراء إلى حبوب البن ذات اللون البني الجميل والرائحة الغنية؟ تكمن الإجابة عن هذه الأسئلة في سلسلة معقدة من التفاعلات الكيميائية، والتي تعرف باسم تفاعلات مايار، والتي تعطي الكثير من الأغذية نكهتها ولونها المألوف. حتى إن هذه الخصائص الحسية قد ترشدنا إلى كيفية اختيارنا للأغذية وتساعد في خلق تصوراتنا الأولية لجودتها. الأغذية المطهوة عن طريق السلق أو البخار لا تتحول للون البني ولا تكتسب مجموعة النكهات المعقدة لأنها تطهى على درجات حرارة لا تتعدى 100 °س. وبالمثل عند الطهي باستخدام الميكروويڤ. ينتج لون الشيكولاتة، الفودج والتوفي عن طريق تفاعل السكريات مع پروتينات الحليب.[7]
الأغذية والمنتجات التي تستخدم تفاعل مايار


تفاعل مايار مسئولاً عن الكثير من ألوان ونكهات الأغذية:
- The تسمير الأنواع المختلفة من اللحوم مثل الستيك، عند سفعه أو شيه.
- المذاق المحمص أو الأومامي في البصل المقلي.
- تحميص البن.
- القشرة الداكنة في المنتجات المخبوزة مثل المعجنات، الكعك والخبز المحمص.
- اللون الذهبي الداكن للبطاطس المقلية والمقرمشات الأخرى.
- الشعير المنقوع، المستخدم في صناعة الويسكي والجعة.
- الحليب المجفف أو المكثف.
- سكاكر دولسي دى ليتشى.
- سكاكر طوفي الحليب السريلانكية.
- الثوم الأسود.
- الشيكولاتة.
- الفول السوداني المحمص.


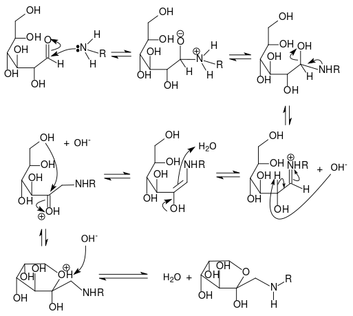
الآلية الكيميائية
- تتفاعل مجموعة الكربونيل في السكريات مع مجموعة الأمين في في الحمض الأميني منتجة الأمين الگليكوسيلي والماء.
- يخضع الأمين الگليكوسيلي الغير مشبع لتفاعل إعادة ترتيب أمادوري، مكوناً الأمينات الكيتوسية.
- توجد عدة طرق لخضوع الأمينات الكيتوسية للمزيد من التفاعلات:
- إنتاج جزيئين ماء وريدوكتون.
- ثنائي الأستيل، الأسپرين، ميثيل الگليكوستيل ومنتجات انشطارية أخرى متحللة مائياً قصيرة السلسلة.
- إنتاج پوليمرات نيتروجينية وملانويدينات بنية.
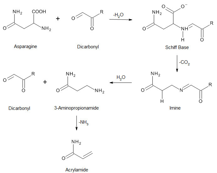
الأكريلاميد، أحد المسرطنات البشرية المحتملة،[8] قد يتكون كمنتج جانبي لتفاعل مايار بين السكريات المختزلة والأحماض الأمينية، وخاصة الأسپاراجين، وكلاهما موجودان في معظم المنتجات الغذائية.[9][10]
الفسيولوجيا
يحدث تفاعل مايار في جسم الإنسان. وهو خطوة أثناء تكوين advanced glycation endproducts (AGEs).[11]ويمكن تعقبه عن طريق قياس الپنتوسيدين.
على الرغم من دراسة تفاعل مايار بشكل معمق في الأغذية، إلا أنه قد اتضح أيضاً وجود علاقة متبادلة في العديد من الأمراض المختلفة في جسم الإنسان. بصفة عامة، تحدث هذه الأمراض بسبب تراكم AGEs في الأحماض النووية، الپروتينات، والدهون. ولأن AGEs قد تتكون من أصول مختلفة، فقد تتكون من أكسدة وهدرجة المنتجات الإضافية في تفاعل أمادوري، وهي بدورها منتجات تفاعلات مايار الغير إنزيمية. وبصرف النظر عن الأمراض العينية، التي تمت دراستها مؤخراً مع كيمياء مايار، فقد ثبت أيضاً أن AGEs تساهم في إصابة الإنسان بمجموعة كبيرة من الأمراض ومنها مضاعفات السكري، التليف الرئوي، وneurodegeneration.[12] التصوير المقطعي بالإصدار البوزيتروني لتصوير عامل الفلوروديوكسي گلوكوز أظهرت أنها تخضع لتفاعل مايار لتكوين fluorodeoxyglycosylamine.
انظر أيضاً
المصادر
- ^ أ ب Maillard, L. C. (1912). "Action des acides amines sur les sucres; formation de melanoidines par voie méthodique (Action of Amino Acids on Sugars. Formation of Melanoidins in a Methodical Way)". Compt. Rend. 154: 66.
- ^ Chichester, C. O., ed. (1986). Advances in Food Research. Advances in Food and Nutrition Research. Vol. 30. Boston: Academic Press. p. 79. ISBN 0-12-016430-2.
- ^ Bui, Andrew. "Why So Many Recipes Call for a 350-Degree Oven". Tasting Table. Retrieved 6 November 2017.
- ^ أ ب Tareke, E.; Rydberg, P.; Karlsson, Patrik; Eriksson, Sune; Törnqvist, Margareta (2002). "Analysis of acrylamide, a carcinogen formed in heated foodstuffs". J. Agric. Food Chem. 50 (17): 4998–5006. doi:10.1021/jf020302f. PMID 12166997.
- ^ Hodge, J. E. (1953). "Dehydrated Foods, Chemistry of Browning Reactions in Model Systems". Journal of Agricultural and Food Chemistry. 1 (15): 928–43. doi:10.1021/jf60015a004.
- ^ Everts, Sarah (October 1, 2012). "The Maillard Reaction Turns 100". Chemical & Engineering News. 90 (40): 58–60.
- ^ "The Chemical Reactions That Make Food Taste Awesome". مجلة ديسكڤري. 2018-06-03. Retrieved 2018-07-16.
- ^ Acrylamide. Cancer.org. Retrieved on 2016-07-24.
- ^ Virk-Baker MK, Nagy TR, Barnes S, Groopman J (2014). "Dietary Acrylamide and Human Cancer: A Systematic Review of Literature". Nutrition and Cancer. 66 (5): 774–90. doi:10.1080/01635581.2014.916323. PMC 4164905. PMID 24875401.
- ^ Mottram DS, Wedzicha BL, Dodson AT (2002). "Acrylamide is formed in the Maillard reaction". Nature. 419 (6906): 448–9. Bibcode:2002Natur.419..448M. doi:10.1038/419448a. PMID 12368844.
- ^ Grandhee, SK; Monnier, VM (June 25, 1991). "Mechanism of formation of the Maillard protein cross-link pentosidine. Glucose, fructose, and ascorbate as pentosidine precursors". J. Biol. Chem. 266 (18): 11649–53. PMID 1904866.
- ^ "Advanced Glycation End Products (AGEs): A Complete Overview". healthline.com.
قراءات إضافية
- Van Soest, Peter J. (1982). Nutritional Ecology of the Ruminant (2nd ed.). Ithaca, NY: Cornell University Press. ISBN 9780801427725. OCLC 29909839.

