مطيافية الكتلة

مطياف الكتلة إنگليزية: Mass spectrometry هو تقنية تحليلية لتحديد العناصر المكونة لمادة أو جزيء ما. ويستخدم أيضا لتوضيح البنى الكيميائية للجزيئات، مثل الببتيدات والمركبات الكيميائية الأخرى.
يعتمد مبدأ عمل مطياف الكتلة على تشريد المركبات الكيميائية لتوليد جزيئات مشحونة وقياس نسبة كتلتها إلى شحنتها[1]. تجرى العملية في مطياف الكتلة بوضع العينة في الجهاز، حيث تأين المركبات بطرق مختلفة (مثلا بنسفها بحزمة إلكترونية)، مما يشكل الأيونات المشحونة. تحسب نسبة الكتلة للشحنة لهذه الجزيئات من حركة هذه الأيونات ضمن حقول كهرومغناطيسية.
يتكون جهاز مطياف الكتلة من ثلاث وحدات: منبع للأيونات يشطر جزيئات العينة إلى أيونات. وجهاز تحليل يفرز الأيونات بحسب كتلتها عن طريق تطبيق حقول كهرومغناطيسية. ومكشاف لقياس قيمة مؤشر الكمية وبذلك تعطي بيانات لحساب وفرة الأيونات الملتقطة.
ولمطياف الكتلة استخدامات كمية ونوعية، تشمل تحديد هوية المركبات المجهولة، وتحديد التركيب النظائري للعناصر في الجزيء، وتحديد بنية المركب بمراقبة شظاياه. كما يستخدم في تحديد كمية مركب ما في العينة أو لدراسة كيمياء الأيونات في الطور الغازي (كيمياء الأيونات والجسيمات الحيادية في الفراغ). يستخدم مطياف الكتلة حاليا في مخابر التحليل التي تدرس الخصائص الفيزيائية والكيميائية والبيولوجية لطيف واسع من المركبات.
مطياف الكتلة هو جهاز اخترعه فرانسيس أستون وهو جهاز اخترعه فرانسيس أستون ويعتمد مبدأ عمله على أن الجسيمات المشحونة عندما تدخل مجالا مغناطيسيا منتظما، بحيث يعامد اتجاهه اتجاه حركتها، فإنها تأخذ مسارات دائرية تتناسب أنصاف أقطارها مع كتلة الجسيم المشحون. ويمكن بواسطة هذا الجهاز قياس نسبة الكتلة للشحنة وفصل الجسيمات المختلفة بهذا المقدار عن بعضها سواء كانت ذرات أو أيونات أو جزيئات. و هو يسمح بقياس q/m لذرة متأينة (حيث m كتلة الايون و q شحنته) وبتحديد كتلة الذرة، وقد لعبت المطيافية دورا كبيرا في دراسة النظائر. يتكون المطياف من :
- منبع أيونات Ion source
- محلل الكتلة Mass Analyzer
- كاشف Detector
تعريف
يسمح المطياف الكتلوي mass spectrograph أو راسم الطيف الكتلي بفصل الذرات بحسب كتلها، شأنه في ذلك شـأن المطياف الضوئي الذي يسمح بفصل الضوء بحسب الأطوال الموجية التي يتركب منها. فمن المعلوم أن بالإمكان استخدام المطياف الضوئي لقياس الأطوال الموجية الصادرة عن منبع ضوئي، إضافة إلى قياس الشدات النسبية للأضواء وحيدة اللون التي يتركَّب منها. وبالمثل يمكن استخدام المطياف الكتلوي جهاز تحليل للكشف عن الكتل الذرية المختلفة التي تتألف منها عيِّنة ما، وكذلك تقدير الوفرة النسبية لكل منها. كما يمكن استخدامه وسيلة لفصل الذرات المتماثلة في الكتلة.
مثال توضيحي

المثال التالي يوضح مبدأ عمل مطياف الكتلة. لنضع عينة من كلوريد الصوديوم (ملح الطعام) في منبع الأيونات، فتتبخر (تتحول إلى غاز) وتتأين (تتحول إلى جزئيات مشحونة كهربائيا) فتتحول إلى أيونات الصوديوم (Na+) والكلور (Cl-). ذرات وأيونات الصوديوم هي نظائر أحادية، بكتلة مساوية 23 amu. لذرات وأيونات الكلور نظيرين بكتل مساوية تقريبا لـ 35 amu (بتوافر طبيعي حوال 25 %). يحتوي محلل الكتلة في المطياف على حقول كهربائية ومغناطيسية تؤثر بقوى على الأيونات المارة خلال هذه الحقول. يمكن زيادة أو إنقاص سرعة الجزيء المشحون خلال مروره ضمن الحقل الكهربائي، بينما يمكن تعديل الاتجاه بتعديل الحقل المغناطيسي. يتعلق مقدار الانعطاف في مسار الأيون بنسبة كتلته إلى شحنته. ووفق قانون نيوتن الثاني للحركة، فإن الأيونات الأخف تنحرف أكثر من الأيونات الأثقل نتيجة تأثير القوى المغناطيسية. تمر تيارات الأيونات المتولدة من محلل الكتلة إلى الكاشف، الذي يسجل التوافر الطبيعي النسبي لكل نوع من الأيونات. تستخدم هذه المعلومات لتحديد التركيب الكيميائي للعناصر المكونة للعينة المدرسة، والتركيب النظائري لمكوناتها (نسبة 35Cl إلى 37Cl)
مبدا عمل المطياف الكتلوي
يعتمد مبدأ عمل المطياف الكتلوي على توليد أيونات للمادة المدروسة في حيّز خالٍ من الهواء، وإخضاعها لحقول كهربائية ومغنطيسية حتى ترسم في نهاية المطاف الجسيمات المختلفة في الكتلة مسارات متباينة.
وقد تختلف الترتيبات المستخدمة لهذا الغرض من جهاز لآخر، ويظهر في الشكل (1) أحدها وهو الأكثر استخداماً، وهو يتألف من أربعة أجزاء هي:

1- حجرة التأين ionization chamber
وهنا تُنتزع الإلكترونات من ذرات العيِّنة موضوع الدراسة، فتتحول إلى أيونات موجبة تمتلك جميعها كتلة متقاربة m، وهي تحمل شحنات كهربائية موجبة q = ne مساوية شحنة الإلكترون e أو مضاعفاتها n بالقيمة المطلقة. ويمكن الحصول على هذه الأيونات على سبيل المثال بإخضاع ذرات المادة وهي في حالة بخار تحت ضغط منخفض لسيل من الإلكترونات صادر عن فتيل ساخن.
ويبين الشكل (2) وسيلة تحقيق ذلك. إذ تُدخَل العيّنة وهي بحالة بخار إلى حجرة صغيرة فيها فتيل يمر فيه تيار كهربائي، توضع مقابله صفيحة موجبة A1 فتنجذب الإلكترونات إليها. وباصطدام الإلكترونات المسرَّعة هذه مع ذرات البخار تغدو الذرات متأينة مرة أو أكثر، وتقوم الصفيحة A2 التي يطبق عليها جهد (كمون) كهربائي موجب بطرد الأيونات بعيداً عنها فتخرج الأيونات من فتحة في حجرة التأين.

2- مساري التسريع acceleration electrodes
يطبق على حجرة التأين جهد كهربائي موجب من رتبة 10000 ڤولط volt، وتمر الأيونات الخارجة من فتحة حجرة التأين فتَرِدُ على مجموعة مسارٍ كهربائية تطبق عليها جهود كهربائية متناقصة حتى الصفر ڤولط، كما هو ظاهر في الشكل (3)، فتكتسب الأيونات سرعة عاليــة.

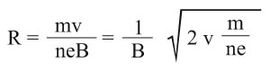
ويمكن التعبير عن طاقتها الحركية بدلالة الجهد الكهربائي المسرِّع V بالعلاقة:(شكل A)

وذلك بفرض m كتلة الأيون وv سرعته وne الشحنة الكهربائية التي يحملها. ومنها يكون:(شكل (B))

3- حجرة الانحراف deflection chamber
تخضع الأيونات ذات السرعة v المعطاة بالعلاقة (1) لدى دخولها منطقة الحقل المغنطيسي B العمودي على مسارها لقوة تجعلها ترسم مساراً بشكل قوس دائرة نصف قطرهاR يعطى بالعلاقة:(شكل (D))

فالأيونات ذات الكتلة الصغيرة ترسم أقواساً (A) أنصاف أقطارها صغيرة، في حين ترسم الأيونات ذات الكتلة الكبيرة أقواساً (C) أنصاف أقطارها كبيرة كما يظهر في الشكل (4). كما تقوم الشحنة التي يحملها الأيون بدور في تحديد نصف قطر الدائرة التي يرسمها وهذا واضح من العلاقة (2).

4- حجرة الكشف detection chamber
تَرِد الأيونات بعد خروجها من منطقة الحقل المغنطيسي إلى حجرة الكشف التي تعلوها فتحة. فإذا تمكَّن أيون من دخول الحجرة والارتطام بقعرها فإنه يكتسب من جدارها الإلكترون اللازم لاعتداله، فإذا وُصِلت الحجرة بمقياس يسجل شدة التيار عن طريق مضخم أمكن مراقبة عدد الأيونات الأخف أو الأثقل. يجري التحكم بشدة الحقل المغنطيسي B، لكشف كل أنواع الأيونات الموجودة في العيِّنة المدروسة.

يبين الشكل (6) نتائج نموذجية عائدة لبخار المولبدن تظهر فيها خطوط شاقولية متفاوتة في الطول تعبِّر عن شدة التيار المسجل، يعود كل منها إلى نوع محدد من نظائر المولبدن، وهي سبعة كما يبين الشكل، هي:
92Mo,94Mo,95Mo,96Mo,97Mo,98Mo,100Mo

ويظهر من الشكل كذلك أن أكثر الأنواع وفرة هو m98Mo، حيث إن طول الخط المقابل له أطول الخطوط.
يتطلب عمل المطياف الكتلوي جعل المنطقة التي تتحرك فيها الأيونات خالية عملياً من الهواء، ويتم تأمين ذلك عن طريق مخلِّيات مناسبة. ولكن كيف تم التعرف على أن الخط الأول من الطيف الكتلوي مثلاً عائد للمولبدن 92 وما ومعنى ذلك؟
تعطي المعادلة (2) نصف قطر الدائرة التي يرسمها الأيون في الحقل المغنطيسي ذي الشدة B، وهو يقاس بالمتر في الجملة الدولية، وتقاس B بالتسلا وV بالڤولط، وe بالكولون وm بالكيلو غرام. فبقياس كل من B وV وR ومعرفة شحنة الإلكترون e وهي تساوي 1.6×10-19، يمكن استنتاج m بالكيلوغرام. لقد جرت العادة على استخدام واحدة لقياس الكتل على السلم الذري تسمى واحدة الكتلة الذرية ويرمز لها بـ «و. ك. ذ» amu (atomic mass unit) وقيمتها:
1 و.ك. ذ= 1.66× 10-27 كغ
فإذا قسمت m المقدرة بالكيلوغرام على واحدة الكتلة الذرية التي تمثل عملياً 1/12
من كتلة ذرة الكربون c12C فإن أقرب عدد صحيح للعدد الناتج سيكون 92، وهو يمثل عملياً مجموع عدد البروتونات والنترونات في نواة النظير الناتج، ويسمى العدد الكتلي atomic number له. وهكذا بالنسبة لباقي الخطوط الناجمة عن المطياف الكتلوي.
تاريخ
يعود الفضل إلى ف. و. آستون F.W.Aston في ابتكار أول مطياف كتلوي عام 1920، الذي عمل على تطوير جهاز ابتكره ج.ج. طومسون J.J.Thomson لفصل النظائر isotopes لأول مرة، وهي عناصر لا يمكن تمييزها بعضها عن بعض كيمياوياً، إلا أنها تختلف في الكتلة، وباستطاعة المطياف الكتلوي تمييزها بسهولة.
المصادر
المراجع
- ^ Sparkman, O. David (2000). Mass spectrometry desk reference. Pittsburgh: Global View Pub. ISBN 0-9660813-2-3.
وصلات خارجية
- ASMS American Society for Mass Spectrometry
- Interactive tutorial on mass spectra National High Magnetic Field Laboratory
- Mass spectrometer simulation An interactive application simulating the console of a mass spectrometer
- MassBank.jp An free mass spectral database