مغناطيسية مسايرة
المغناطيسية المسايرة أو البارامغناطيسية إنگليزية: Paramagnetism شكل من المغناطيسية، تظهر فقط بوجود مجال مغناطيسي خارجي وتزول بزواله. من المواد التي تتصف بالمغناطيسية المسايرة الألومنيوم والمنگنيز والبلاتين .
وتتسم المواد ذات المغناطيسية المسايرة بأنها إذا وقعت في مجال مغناطيسي خارجي فإنها تقوّي المجال المغناطيسي بداخلها. وتكون مغناطيسيتها متناسبة طرديا معا شدة المجال المغناطيسي الخارجي. وتحدد الخاصية المغناطيسية لمادة ما بما يسمى قابلية مغناطيسية.
وتظهر المغناطيسية المسايرة في المواد التي تحتوي ذراتها على إلكترونات غير مزدوجة مثل أيونات الفلزات الانتقالية (مثل العناصر ذات عدد ذري بين 21 - 30 و 39 - 48 وغيرها) و أيونات اللانثانيدات (العناصر ذات عدد ذري بين 57 - 71) و ذراتها و الجزيئات ذات عزم مغناطيسي . وترجع تلك الخاصية إلى العزم مغزلي للإلكترونات وإلى الزخم الزاوي للإكترونات (حيث تدور الإلكترونات في مدارات حول نواة الذرة) .
وبمقارنة المغناطيسية المسايرة بالمغناطيسية المعاكسة :
- تظهر المغناطيسية المسايرة تقريبا في جميع المواد،
- يرجع سببها إلى تغير اتجاه زخم المدار الذري بسبب المجال المغناطيسي الخارجي،
- تتنافر المواد المعاكسة المغناطيسية من مجال مغناطيسي خارجي.
وتصنف الفيزياء المواد بحسب قابليتها المغناطيسية فإذا كانت قابليتها المغناطيسية موجبة ولا تتسم بوجود ترتيب مغناطيسي فيها فتسمى مواد ذات مغناطيسية مسايرة.
أصلحها
يمكن تصور مادة ذات مغناطيسية مسايرة بكونها تتكون من قضبان مغناطيسية صغيرة يمكنها الدوران في مواقعها. فإذا وضعنا تلك المادة في مجال مغناطيسي فإن المغناطيسات الصغيرة فيها تترتب في اتجاه خطوط المجال المغناطيسي. ومن أهم الظواهر هنا أن المغناطيسات الصغيرة لا يؤثر الواحد على جيرانه. كما يعمل الاهتزاز الحراري على أن اتجاه المغناطسي لكل واحد منهم تتغير بسبب الاهتزاز. ونتيجة ذلك أن معظم المعناطيسات الدقيقة في المادة تتجه اتجاها عشوائيا بالنسبة للمجال الخارجي ولا يتبقي سوى عدد قليل من تلك المغناطيسات الدقيقة يأخذ اتجاه المجال المغناطيسي الخارجي، وتلك هي التي تنتج المحصلة المغناطيسية للمادة. لذلك يحتاج المرء إلى مجال مغناطيسي قوي لكي يزيد عدد المغناطيسات الدقيقة في المادة التي تترتب في اتجاه المجال المغناطيسي الخارجي.
الصيغة الفيزيائية
يكمن وجود المغناطيسية المسايرة في المادة في العزم المغناطيسي لذراته أو جزيئاته وترتيب اتجاهها في اتجاه مجال مغناطيسي خارجي. وفي تلك الحالة تتصرف كل مغناطيسس دقيق في المادة على حده بدون التأثير على جيرانه. والاختلاف بين تلك الظاهرة والمغناطيسية الحديدية هو أن المغناطيسية المسايرة تختفي تماما بعد إزالة المجال المغناطيسي الخارجي بسبب الاهتزاز الحراري للذرات. ولهذا تكون المغناطيسية لمادة متناسبة مع شدة المجال المغناطيسي الخارجي ، وتنطبق المعادلة :
- ، حيث
وكلما زادت القابلية المغناطيسية للمادة كلما كان من السهل على المغناطيسات الدقيقة في المادة لأن تأخذ اتجاه المجال المغناطيسي الخارجي. وتكون بذلك القابلية المغناطيسية للمادة مقياساً لشدة المغناطيسية المسايرة. ونظرا للعلاقة البسيطة بين القابلية المغناطيسية والنفاذية المغناطيسية النسبية: لمادة فقد تستخدم الأخيرة أيضا كمقياس للمغناطيسية المسايرة (حيث النفاذية المغناطيسية).
المواد المغنطيسية وأنواعها
يمكن تقسيم المواد المغنطيسية إلى مواد ذات مغناطيسية معاكسة وذات مغناطيسية حديدية وذات مغناطيسية مسايرة، ويعتمد هذا التقسيم على الكيفية التي تستجيب بها المواد للحقل المغنطيسي الخارجي. فعندما توضع المواد ذات المغنطيسية المعاكسة تحت تأثير حقل مغنطيسي يتولد فيها من جرّاء ذلك عزم مغناطيسي يعاكس جهة الحقل المغنطيسي المؤثِّر. يمكن فهم هذه الظاهرة بأنها نتيجة لوجود تيارات كهربائية محرَّضة في ذرات المادة وجزيئاتها. وطبقاً لقانون أمبير تعمل هذه التيارات على توليد عزوم مغنطيسية بشكل معاكس للحقل المطبَّق. تتصف غالبية المواد بخاصة المغنطيسية المعاكسة، لكنّ أشدّها إظهاراً لهذه الخاصة البزموت المعدني والجزيئات العضوية - مثل البنزين - التي لها بنية حلقية حيث تُفضي إلى سهولة في تشكيل التيارات الكهربائية فيها. في حين تحافظ المادة ذات المغنطيسية الحديدية مثل الحديد على العزم المغنطيسي فيها حتى وإن تم تخفيض الحقل الخارجي إلى قيمة مساوية للصفر، وذلك بسبب التآثُر الشديد بين بعض العزوم المغنطيسية للذرات أو الإلكترونات وبعضها الآخر بطريقة تصطف فيها هذه العزوم بشكل متوازٍ فيما بينها. لكنّ السلوك المغنطيسي المساير ينشأ خلافاً لما سبق، إذ يعمل الحقل المغنطيسي المطبَّق على جعل العزوم المغنطيسية العائدة إلى الإلكترونات الفردية (غير المتزاوجة) في المادة تنتظم وتأخذ نسقاً ذا وجهة محددة بعد أن كانت عشوائية التوجّه في غياب الحقل، وتكون النتيجة الحصول على عزم مغنطيسي متوسط يُضاف إلى الحقل المغنطيسي. تشمل المواد المغنطيسية المسايرة المعادن الانتقالية أو عناصر الأتربة النادرةالتي فيها إلكترونات غير متزاوجة ، وتتصف بهذه الظاهرة المواد غير المعدنية غالباً باعتمادها على درجة الحرارة. بتعبير أدق يتناسب قياس العزم المغنطيسي المحرَّض عكساً مع درجة الحرارة، ويتأتى ذلك بسبب الصعوبة المتزايدة في ترتيب العزوم المغنطيسية للإلكترونات الفردية وفقاً لاتجاه الحقل المغنطيسي كلما ارتفعت درجة الحرارة. [1]
Relation to electron spins
Constituent atoms or molecules of paramagnetic materials have permanent magnetic moments (dipoles), even in the absence of an applied field. The permanent moment generally is due to the spin of unpaired electrons in atomic or molecular electron orbitals (see Magnetic moment). In pure paramagnetism, the dipoles do not interact with one another and are randomly oriented in the absence of an external field due to thermal agitation, resulting in zero net magnetic moment. When a magnetic field is applied, the dipoles will tend to align with the applied field, resulting in a net magnetic moment in the direction of the applied field. In the classical description, this alignment can be understood to occur due to a torque being provided on the magnetic moments by an applied field, which tries to align the dipoles parallel to the applied field. However, the true origins of the alignment can only be understood via the quantum-mechanical properties of spin and angular momentum.
If there is sufficient energy exchange between neighbouring dipoles, they will interact, and may spontaneously align or anti-align and form magnetic domains, resulting in ferromagnetism (permanent magnets) or antiferromagnetism, respectively. Paramagnetic behavior can also be observed in ferromagnetic materials that are above their Curie temperature, and in antiferromagnets above their Néel temperature. At these temperatures, the available thermal energy simply overcomes the interaction energy between the spins.
In general, paramagnetic effects are quite small: the magnetic susceptibility is of the order of 10−3 to 10−5 for most paramagnets, but may be as high as 10−1 for synthetic paramagnets such as ferrofluids.
Delocalization
| المادة | Magnetic susceptibility, [10−5]
(SI units) |
|---|---|
| Tungsten | 6.8 |
| Caesium | 5.1 |
| Aluminium | 2.2 |
| Lithium | 1.4 |
| Magnesium | 1.2 |
| Sodium | 0.72 |
In conductive materials, the electrons are delocalized, that is, they travel through the solid more or less as free electrons. Conductivity can be understood in a band structure picture as arising from the incomplete filling of energy bands. In an ordinary nonmagnetic conductor the conduction band is identical for both spin-up and spin-down electrons. When a magnetic field is applied, the conduction band splits apart into a spin-up and a spin-down band due to the difference in magnetic potential energy for spin-up and spin-down electrons. Since the Fermi level must be identical for both bands, this means that there will be a small surplus of the type of spin in the band that moved downwards. This effect is a weak form of paramagnetism known as Pauli paramagnetism.
The effect always competes with a diamagnetic response of opposite sign due to all the core electrons of the atoms. Stronger forms of magnetism usually require localized rather than itinerant electrons. However, in some cases a band structure can result in which there are two delocalized sub-bands with states of opposite spins that have different energies. If one subband is preferentially filled over the other, one can have itinerant ferromagnetic order. This situation usually only occurs in relatively narrow (d-)bands, which are poorly delocalized.
إلكترونات s و p
Generally, strong delocalization in a solid due to large overlap with neighboring wave functions means that there will be a large Fermi velocity; this means that the number of electrons in a band is less sensitive to shifts in that band's energy, implying a weak magnetism. This is why s- and p-type metals are typically either Pauli-paramagnetic or as in the case of gold even diamagnetic. In the latter case the diamagnetic contribution from the closed shell inner electrons simply wins over the weak paramagnetic term of the almost free electrons.
إلكترونات d و f
Stronger magnetic effects are typically only observed when d or f electrons are involved. Particularly the latter are usually strongly localized. Moreover, the size of the magnetic moment on a lanthanide atom can be quite large as it can carry up to 7 unpaired electrons in the case of gadolinium(III) (hence its use in MRI). The high magnetic moments associated with lanthanides is one reason why superstrong magnets are typically based on elements like neodymium or samarium.
Molecular localization
The above picture is a generalization as it pertains to materials with an extended lattice rather than a molecular structure. Molecular structure can also lead to localization of electrons. Although there are usually energetic reasons why a molecular structure results such that it does not exhibit partly filled orbitals (i.e. unpaired spins), some non-closed shell moieties do occur in nature. Molecular oxygen is a good example. Even in the frozen solid it contains di-radical molecules resulting in paramagnetic behavior. The unpaired spins reside in orbitals derived from oxygen p wave functions, but the overlap is limited to the one neighbor in the O2 molecules. The distances to other oxygen atoms in the lattice remain too large to lead to delocalization and the magnetic moments remain unpaired.
نظرية كوري - لانگجڤين
قدّم الفيزيائي الفرنسي پول لانگجڤين Paul Langevin عام 1905 نظرية تتعلق بعلاقة الخواص المغنطيسية للمغانط المسايرة بدرجة الحرارة، أسّسها على البنية الذرية للمادة وذلك قبل ظهور التفسير الكمومي quantum للمغنطيسية عن طريق السپين spin من قبل الأمريكيين أوهلينبيك Uhlenbeck وگودشميت Goudsmit عام 1925. عُدّت نظرية لانجفان التقليدية بمنزلة الوصف الأولي للخصائص المغنطيسية على النطاق الواسع large-scale بدلالة الخواص المجهرية للإلكترونات والذرات. وجرى فيما بعد توسيع هذه النظرية من قبل الفرنسي ويس Weiss الذي اقترح وجود حقل جزيئي molecular داخلي في المواد الحديدية وما شابهها. عندما تم دمج هذه الخاصة في نظرية لانجفان أمكن تفسير المواد ذات المغنطيسية القوية كالحجر المغنطيسي lodestone مثلاً. تمت الإشارة في الفقرة السابقة إلى أن الأوساط التي تتصف بخصائص المغنطيسية المسايرة هي المواد التي تحتوي في تركيبها ذرات مرتبة أو جزيئات يكون فيها عدد الإلكترونات فردياً بحيث لا يمكن أن يكون العزم المغنطيسي الكلي معدوماً. ومن الأمثلة على ذلك الجذور العضوية الحرة مثل جذر ثلاثي فينيل ميتيل وجذر البنزول وذرات المعادن الحرة مثل الليثيوم وغيره، إضافة إلى المواد التي تكون فيها الطبقات الإلكترونية الداخلية غير مكتملة، كالعناصر الانتقالية والعناصر الترابية النادرة والأكتينيدات.
قانون كوري
من الشائع جداً في المغنطيسية أن توصف خصائص المواد بدلالة الطواعية susceptibility المغنطيسية التي تُعرَّف ضمن التقريب الخطي لعلاقة متجه التمغنط magnetisation بمتجه الحقل المغنطيسي لمادة متناحية isotropic بأنها حاصل نسبة المقدارين السابقين:
إذن تمثل عدداً بلا أبعاد بسبب كون M وH لها الأبعاد ذاتها، وتكون موجبة وأصغر بكثير من الواحد في الأوساط المغنطيسية المسايرة، في حين تكون في المواد المغنطيسية المعاكسة سالبة وصغيرة بالنسبة إلى الواحد. تأخذ X قيمة موجبة وكبيرة جداً في المواد المغنطيسية الحديدية، إضافة إلى أنها يمكن أن تكون ذات قيمة غير ثابتة فيها بسبب عدم وجود علاقة خطية دقيقة للتمغنط بدلالة الحقل إلا ضمن مجال صغير لهذا الأخير. إذن يمكن أن تُكتب علاقة التمغنط لوسط مغنطيسي مساير يحوي N ذرة في واحدة الحجوم باستخدام المعادلة السابقة التي تعرِّف عزم ثنائي القطب المتوسط وفقاً للعلاقة:
ومن ثم يكون للطواعية المغنطيسية القيمة الآتية:
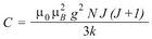
وذلك بعد استخدام علاقة ماكسويل B = μ0H التي تربط بين التحريض والحقل المغنطيسيين B وH على الترتيب بحسبان μ0 النفوذية permeability المغنطيسية للفضاء الحر. تُدعى العلاقة الأخيرة قانون كوري[ر] Curie law الذي يبيّن اعتماد الطواعية على مقلوب درجة الحرارة التي كلما ازدادت انخفضت قيمة الطواعية بسبب ارتفاع معدل الاهتزازات الحرارية، حيث تؤثر الحرارة بدورها سلباً على سهولة توجّه ثنائيات القطب طبقاً لاتجاه الحقل الخارجي. تُسمى الطواعية المغنطيسية الأخيرة أيضاً الطواعية المغنطيسية المسايرة للانجفان. تخضع معظم المواد الصلبة ذات المغنطيسية المسايرة لقانون كوري في حين يشذّ بعضها في درجات الحرارة المنخفضة. وهذا متوقع إذا ما أُخِذ بالحسبان الآلية المعقدة لتكميم توجه ثنائيات القطب التي تمليها قواعد ميكانيك الكم باعتبار التأثير السبيني المداري للإلكترون أو الأيون، ومن ثم فإن ذلك يقتضي إدخال وسطاء إضافية على علاقة الطواعية المغنطيسية التقليدية بحيث تغدو بالشكل:
هو ثابت كوري وμB وg هما مغنطون بور Bohr magneton وعامل لانده Landé factor على الترتيب وJ هو الاندفاع الزاوي angular momentum الكلي (المتعلق بالأعداد الكمومية السبينية والمدارية) ويأخذ قيماً متقطعة.
المغنطيسية المسايرة لباولي في المواد المرتبة
خلافاً للإحصاء التقليدي يستطيع مثيله الكمومي أن يقدّم تفسيراً للشذوذات anomalies التي تظهر في النماذج التقليدية. لذلك يمكن للمعالجة الكمومية أن تبيّن مثلاً سبب كون الطواعية المغنطيسية لمنظومة من الإلكترونات، صغيرة نوعاً ما ومستقلة عن درجة الحرارة. بما أن المغنطيسية المسايرة تنشأ نتيجة لاصطفاف العزوم المغنطيسية للإلكترونات الفائضة وباعتبار وجود سبين يميزها إذاً يكون لكل إلكترون منها عزم مغنطيسي مساوٍ لمغنطون بور واحد؛ أي μB = e h/2m حيث e وm هما شحنة الإلكترون وكتلته على الترتيب، وh هو ثابت بلانك. يتجه هذا العزم بشكل معاكس antiparallel لاندفاعه الزاوي (السبين)، وتقوم الإلكترونات المقترنة في الطبقات الداخلية inner shells بإلغاء هذا الأثر نتيجة ازدواجها، في حين يحدث الاصطفاف المغنطيسي المساير لإلكترونات الطبقات الداخلية غير المقترنة في طائفة من المعادن ومواد العناصر الانتقالية والترابية النادرة. ربما يتوقع المرء أن تكون الإلكترونات الخارجية لغاز إلكتروني حر في المعدن قادرة على الاصطفاف وتوليد متجه مغنطة * يعتمد على الحقل المطبق. فمن أجل غاز إلكتروني غير متردٍ non-degenerate تُحَدد هذه المغنطة وفقاً لدالة لانجفان، ومن خلال قانون كوري L (μBμ0H/kT) بالعلاقة:
وذلك من أجل حقل مغنطيسي أصغر بشكل كافٍ من الحقل اللازم للإشباع saturation حيث يمكن اعتبار
إذن تكون الطواعية المغنطيسية مقداراً مستقلاً عن الحقل المغنطيسي إلا أنها تعتمد على درجة الحرارة كما هو ملاحظ. لكن الأمر ليس كذلك بالنسبة إلى المعادن الحقيقية التي تملك بنية مرتبة حيث لا تخضع إلكتروناتها لقانون كوري بهذه الصيغة، وتبدي مغنطيسية مسايرة مختلفة عما يُمليه هذا القانون. لقد أشار باولي[ر] Pauli عام 1927 إلى هذا الانحراف عن قانون كوري وأوضح اعتماداً على مبدأ الاستبعاد Exclusion Principle الذي كان قد اقترحه، أنه يمكن لإلكترونين لهما سبينان متعاكسان أن يشغلا السوية الكمومية ذاتها ومن ثم يمكن دراسة متجه المغنطة المسايرة بعد اعتبار كثافة سويات الطاقة التي تربط بين طاقة الإلكترون وكثافة السويات الإلكترونية:
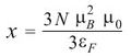
حيث m وε كتلة الإلكترون وطاقته على الترتيب. إذن بوجود حقل مغنطيسي يعد أحد توجهي السبين موافقاً لاتجاه الحقل والتوجه الثاني معاكساً له، ويحدث عندئذ انزياح لكل مجموعة من السويات مقداره ± μB μ0 H بدءاً من قيمة الطاقة عند حقل يساوي الصفر. ومن ثم سيزداد انشغال occupancy السويات ذات الطاقة المنخفضة ذات السبين المعاكس (أي التي لها عزم مغنطيسي موازٍ) على حساب انخفاض انشغال المجموعة ذات السبين الموازي وذلك بسبب مصونية الطاقة. ويؤدي ذلك بالنتيجة إلى نشوء عزم مغنطيسي موجب أو ما يُدعى المغنطيسية المسايرة. عندما يكون μB μ 0H << εF، حيث εF طاقة سوية فيرمي level Fermi، تُعطى قيمة متجه المغنطة المسايرة بالعلاقة: ومن ثم تُعطى الطواعية المغنطيسية بالعلاقة التي تبين بوضوح أن قيمتها تساوي القيمة الناتجة من الأثر المغنطيسي للإلكترونات ضمن مجال الطاقة μB μ0 H حول طاقة فيرمي. وبما أن هذا يمثّل جزءاً صغيراً جداً من إسكان population الإلكترونات الكلي فإن نموذج باولي يتنبّأ جيداً بانحراف الطواعية المغنطيسية عن قيمتها التقليدية. يمكن ملاحظة درجة هذا الانحراف في الطواعية من خلال استبدال g (εF) بقيمة مساوية لـ (m3N/2eεF ) حيث تغدو طواعية باولي المغنطيسية مساوية للمقدار:
وتنحرف بالمقارنة مع طواعية دالة لانگجڤين التقليدية:
أمثلة على المغناطيسية المسايرة
Materials that are called "paramagnets" are most often those that exhibit, at least over an appreciable temperature range, magnetic susceptibilities that adhere to the Curie or Curie–Weiss laws. In principle any system that contains atoms, ions, or molecules with unpaired spins can be called a paramagnet, but the interactions between them need to be carefully considered.
أنظمة ذات تفاعلات دنيا
The narrowest definition would be: a system with unpaired spins that do not interact with each other. In this narrowest sense, the only pure paramagnet is a dilute gas of monatomic hydrogen atoms. Each atom has one non-interacting unpaired electron.
A gas of lithium atoms already possess two paired core electrons that produce a diamagnetic response of opposite sign. Strictly speaking Li is a mixed system therefore, although admittedly the diamagnetic component is weak and often neglected. In the case of heavier elements the diamagnetic contribution becomes more important and in the case of metallic gold it dominates the properties. The element hydrogen is virtually never called 'paramagnetic' because the monatomic gas is stable only at extremely high temperature; H atoms combine to form molecular H2 and in so doing, the magnetic moments are lost (quenched), because of the spins pair. Hydrogen is therefore diamagnetic and the same holds true for many other elements. Although the electronic configuration of the individual atoms (and ions) of most elements contain unpaired spins, they are not necessarily paramagnetic, because at ambient temperature quenching is very much the rule rather than the exception. The quenching tendency is weakest for f-electrons because f (especially 4f) orbitals are radially contracted and they overlap only weakly with orbitals on adjacent atoms. Consequently, the lanthanide elements with incompletely filled 4f-orbitals are paramagnetic or magnetically ordered.[3]
| Material | μeff/μB |
|---|---|
| [Cr(NH3)6]Br3 | 3.77 |
| K3[Cr(CN)6] | 3.87 |
| K3[MoCl6] | 3.79 |
| K4[V(CN)6] | 3.78 |
| [Mn(NH3)6]Cl2 | 5.92 |
| (NH4)2[Mn(SO4)2]·6H2O | 5.92 |
| NH4[Fe(SO4)2]·12H2O | 5.89 |
Thus, condensed phase paramagnets are only possible if the interactions of the spins that lead either to quenching or to ordering are kept at bay by structural isolation of the magnetic centers. There are two classes of materials for which this holds:
- Molecular materials with a (isolated) paramagnetic center.
- Good examples are coordination complexes of d- or f-metals or proteins with such centers, e.g. myoglobin. In such materials the organic part of the molecule acts as an envelope shielding the spins from their neighbors.
- Small molecules can be stable in radical form, oxygen O2 is a good example. Such systems are quite rare because they tend to be rather reactive.
- Dilute systems.
- Dissolving a paramagnetic species in a diamagnetic lattice at small concentrations, e.g. Nd3+ in CaCl2 will separate the neodymium ions at large enough distances that they do not interact. Such systems are of prime importance for what can be considered the most sensitive method to study paramagnetic systems: EPR.
أنظمة ذات تفاعلات
As stated above, many materials that contain d- or f-elements do retain unquenched spins. Salts of such elements often show paramagnetic behavior but at low enough temperatures the magnetic moments may order. It is not uncommon to call such materials 'paramagnets', when referring to their paramagnetic behavior above their Curie or Néel-points, particularly if such temperatures are very low or have never been properly measured. Even for iron it is not uncommon to say that iron becomes a paramagnet above its relatively high Curie-point. In that case the Curie-point is seen as a phase transition between a ferromagnet and a 'paramagnet'. The word paramagnet now merely refers to the linear response of the system to an applied field, the temperature dependence of which requires an amended version of Curie's law, known as the Curie–Weiss law:
This amended law includes a term θ that describes the exchange interaction that is present albeit overcome by thermal motion. The sign of θ depends on whether ferro- or antiferromagnetic interactions dominate and it is seldom exactly zero, except in the dilute, isolated cases mentioned above.
Obviously, the paramagnetic Curie–Weiss description above TN or TC is a rather different interpretation of the word "paramagnet" as it does not imply the absence of interactions, but rather that the magnetic structure is random in the absence of an external field at these sufficiently high temperatures. Even if θ is close to zero this does not mean that there are no interactions, just that the aligning ferro- and the anti-aligning antiferromagnetic ones cancel. An additional complication is that the interactions are often different in different directions of the crystalline lattice (anisotropy), leading to complicated magnetic structures once ordered.
Randomness of the structure also applies to the many metals that show a net paramagnetic response over a broad temperature range. They do not follow a Curie type law as function of temperature however; often they are more or less temperature independent. This type of behavior is of an itinerant nature and better called Pauli-paramagnetism, but it is not unusual to see, for example, the metal aluminium called a "paramagnet", even though interactions are strong enough to give this element very good electrical conductivity.
المغناطيسات الفائقة
Some materials show induced magnetic behavior that follows a Curie type law but with exceptionally large values for the Curie constants. These materials are known as superparamagnets. They are characterized by a strong ferromagnetic or ferrimagnetic type of coupling into domains of a limited size that behave independently from one another. The bulk properties of such a system resembles that of a paramagnet, but on a microscopic level they are ordered. The materials do show an ordering temperature above which the behavior reverts to ordinary paramagnetism (with interaction). Ferrofluids are a good example, but the phenomenon can also occur inside solids, e.g., when dilute paramagnetic centers are introduced in a strong itinerant medium of ferromagnetic coupling such as when Fe is substituted in TlCu2Se2 or the alloy AuFe. Such systems contain ferromagnetically coupled clusters that freeze out at lower temperatures. They are also called mictomagnets.
علاقتها بالمغناطيسية الحديدية
كثيرا ما يخلط الناس بين قابلية مغناطيسية عالية ويعتقد أن المادة لها مغناطيسية حديدية . ولكن هذا ليس بصحيح. فإن المواد ذات المغناطيسية الحديدية لها بالفعل قابلية مغناطيسية عالية جداً ولكن السبب يرجع إلى الترابط القوي بين المغناطيسات الدقيقة في المادة ذات المغناطيسية الحديدية. وتبين المواد ذات خاصية المغناطيسية الحديدية وجود مغناطيسيتها أيضاً بعد زوال المجال المغناطيسي الخارجي. وهي ظاهرة تعرف باسم . أما المواد ذات الخاصية المغناطيسية المسايرة فهي كما سبق القول تفقد معناطيسيتها بعد زوال المجال المغناطيسي الخارجي.
ويعمل التآثر القوي بين الذرات المغناطيسية في المواد المغناطيسية الحديدية على تكون حبيبات مغناطيسية تشمل ملايين الذرات تكون مغناطيسيتها في اتجاه واحد . ولكن توجد في المادة المغناطيسية الحديدية آلاف أو ملايين من تلك الحبيبات المغناطيسية موزعة توزيعا عشوائيا بحيث لا تظهر محصلتهم ظاهرة المغناطيسية . أما المواد ذات المغناطيسية المسايرة فتكون الذرات أو الجزيئات المنفردة هي مصدر المغناطيسية ، وليست حبيبات تشتمل على ملايين الذرات المترابطة المغناطيسية.
ماگنتيت
يُظهر الماگنتيت (Fe3O4) عادة خاصية الفريمغناطيسية Ferrimagnetism. ولكن عندما تكون الحبيبات فيه أصغر من 20 - 30 نانومتر تظهر فيه خاصية المغناطيسية المسايرة الفائقة عن درجة حرارة الغرفة . وعند تسليط مجال مغناطيسي عليه من الخارج تترتب الحبيبات المغناطيسية جميعا في اتجاه المجال المغناطيسي. وبعد زوال المجال المغناطيسي الخارجي ينفك الترتيب وتعود عشوائية اتجاه مغناطيسية الحبيبات بفعل الحرارة، وتعود محصلة المجال المغناطيسي للعينة ثانيا إلى الصفر.
انظر أيضاً
- مغناطيسية حديدية
- مغناطيسية معاكسة
- مغناطيس
- عزم مغناطيسي
- عزم مغزلي
- قابلية مغناطيسية
- ماگنتون بور
- درجة حرارة كوري
- مغناطيسية معاكسة
- مغناطيسية حديدية
- كيمياء مغناطيسية
- پيير كوري
المصادر
- ^ سمير الخواجة. "المغنطيسية المسايرة". الموسوعة العربية. Retrieved 2012-04-27.
- ^ Nave, Carl L. "Magnetic Properties of Solids". HyperPhysics. Retrieved 2008-11-09.
- ^ Jensen, J. & MacKintosh, A. R. (1991). Rare Earth Magnetism. Oxford: Clarendon Press. Archived from the original on 2010-12-12. Retrieved 2009-07-12.
- ^ Orchard, A. F. (2003) Magnetochemistry. Oxford University Press.
نصوص مرجعية عامة
- Charles Kittel, Introduction to Solid State Physics (Wiley: New York, 1996).
- Neil W. Ashcroft and N. David Mermin, Solid State Physics (Harcourt: Orlando, 1976).
- John David Jackson, Classical Electrodynamics (Wiley: New York, 1999).
وصلات خارجية
http://www.ndt-ed.org/EducationResources/CommunityCollege/MagParticle/Physics/MagneticMatls.htm
