معادلة تفاضلية جزئية
![]() | |||||||||||
|
في الرياضيات، المعادلة التفاضلية الجزئية بالإنجليزية: Partial differential equation هي نوع من المعادلات التفاضلية، أو علاقة تتضمن تابعا أو توابع مجهولة لها عدة متحولات مستقلة بالإضافة إلى المشتقات الجزئية لهذه المتحولات.
تستخدم المعادلات التفاضلية الجزئية لصياغة وحل المسائل التي تتعلق بتوابع ذات عدة متحولات مثل تلك الموجودة في الصوت والحرارة والكهرباء الساكنة وتدفق الموائع والمرونة وغيرها, حيث أنه من الممكن التعبير عن ظواهر فيزيائية مختلفة باستخدام معادلات رياضية متشابهة الصيغة.
مقدمة
المعادلة التفاضلية الجزئية هي المعادلة التي تحوي مشتقاً جزئياً واحداً أو أكثر لتابع (دالة) مجهول يتعلق بمتغيرين مستقلين أو أكثر، فإذا كان التابع المجهول هو z مثلاً وكانت المتغيرات المستقلة هي x1, x2, …, xn فالمعادلة التفاضلية الجزئية تأخذ الشكل الآتي[1]:
وتعد مرتبةُ المعادلة هي مرتبةَ أعلى مشتق يرد فيها. وكما في المعادلات التفاضلية العادية يقال إنها خطية إذا كانت من الدرجة الأولى في التابع المجهول ومشتقاته الجزئية. ومن أبرز الأمثلة عملياً على معادلات تفاضلية جزئية وخطية من المرتبة الثانية المعادلات الآتية:
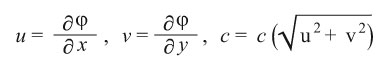
حيث c ثابت يأخذ معنى فيزيائياً يختلف من معادلة لأخرى وt هو الزمن وx, y, z الإحداثيات الديكارتية. إذا كان f(x, y)≠0 في معادلة بواسون ثنائية البعد سميت غير متجانسة، أما إذا كان f(x, y) = 0 فإنها تدعى معادلة متجانسة.
إن حل معادلة تفاضلية جزئية في ساحة ما G من فضاء المتغيرات المستقلة هو تابع z له تلك المشتقات الجزئية التي تظهر في المعادلة، وذلك في الساحة G نفسها ويحقق المعادلة التفاضلية الجزئية في كل نقطة من G.
ولسوء الحظ لا توجد طريقة عامة لإيجاد حلول للمعادلات التفاضلية الجزئية، فالتوابع الآتية على سبيل المثال:
u = x2 - y2 , u = ex cos y , u = In (x2 + y2 ) x
تمثل كلها حلولاً لمعادلة لابلاس ثنائية البعد على الرغم من الاختلاف الكبير فيما بينها. ولإيجاد حل وحيد خاص لمعادلة تفاضلية جزئية تستخدم شروط البدء (أي قيم الحلول عندما تكون t = 0) كما تستخدم ما يسمى شروط الحدود (الشروط الحدَّية) Boundary conditions وهي قيم الحلول في نقاط معينة على حدود الساحة G.
الشيوع والتفرد
الصيغة
تعطى أحد أبسط المعادلات التفاضلية الجزئية بالشكل:
حيث توضح العلاقة أن ( u(x,y هو تابع مستقل بالنسبة لـx. ويكون الحل العام لهذه المعادلة على الشكل:
حيث f هو تابع ما للمتحول y. والمعادلة التفاضلية العادية التالية :
لها الحل بالشكل
حيث c هو ثابت مستقل عن x.
أمثلة
وفيما يلي بعض الأمثلة التي تبين طرائق مكاملة بعض المعادلات التفاضلية الجزئية البسيطة:
مثال (1):
حيث ϕ (y) تابع كيفي لـ y، وهو يقوم بدور الثابت الكيفي عند مكاملة معادلة تفاضلية عادية.
وهكذا يلاحظ أن الحل العام للمعادلة التفاضلية الجزئية من المرتبة الأولى يتعلق بتابع كيفي واحد، أما الحل العام للمعادلة التفاضلية الجزئية من المرتبة الثانية فيتعلق بتابعين كيفيين... وهكذا.
المعادلة التفاضلية الجزئية الخطية من المرتبة الأولى
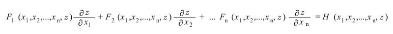
تأخذ المعادلة التفاضلية الجزئية الخطية من المرتبة الأولى الشكل الآتي:
يتضح هنا أن التابع المجهول هو z، فإذا كان H (x1, x2, …, xn, z) = 0
وكانت التوابع F1. F2, …, Fn غير تابعة لـ z يقال عن المعادلة إنها خطية متجانسة.
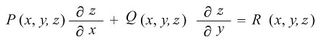
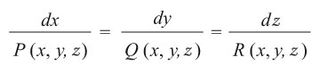
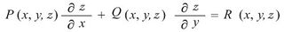
لتكن لدينا المعادلة:
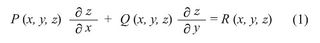
حيث P, Q, R هي توابع مستمرة بالنسبة للمتغيرات ولا تنعدم جميعها في وقت واحد. لا بد لحل هذه المعادلة من الاستعانة بالمفاهيم الهندسية حيث يعتبر حقل المتجهات المستمر F المعرف بالعلاقة:
حيث متجهات الواحدة، وهكذا فإن هذه العلاقة تعرِّف متجهاً في كل نقطة من الفضاء.
والمطلوب إيجاد المنحنيات التي تمس في كل نقطة منها المتجه المعرف في تلك النقطة بالعلاقة السابقة.
تتعين هذه المنحنيات من شرط الارتباط الخطي بين المتجه حيث:
المحمول على المماس في نقطة ما من المنحني المطلوب إيجاده وبين المتجه من الحقل F الفضاء المتجهي الموافق لتلك النقطة، ويأخذ الشرط الشكل الآتي:
وتشكل جملة المنحنيات المحققة لهذا الشرط سطوحاً تحوي هذه المنحنيات.
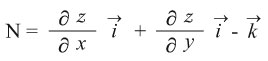
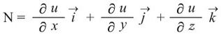
وطريقة تشكيل هذه السطوح توضح أن العمود N في كل نقطة من السطح يتعامد مع متجه الحقل F في تلك النقطة أي N. F = 0[ر. الفضاء المتجهي]. وهذا يعني أن معادلات هذه السطوح هي في الواقع حلول المعادلة (1).
فإذا كانت معادلة السطح هي z = f (x, y) فإن المتجه N يأخذ الشكل:
وبالتالي فإن الشرط N. F = 0 يكتب بالشكل:
وهذه ليست إلا المعادلة التفاضلية الجزئية الأصلية (1).
أما إذا كانت معادلة السطح u (x, y, z) = 0 فإن N يعطى بالعلاقة:
كما أن الشرط N. F = 0 يصبح:
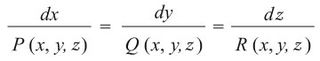
وهكذا فلإيجاد السطوح المحققة للخاصة أي لإيجاد حلول المعادلة التفاضلية الجزئية المعطاة تتبع الخطوات الآتية:
(1) تُؤخذ جملة المعادلات التفاضلية المساعدة
(2) إيجاد تكاملين أوليين مستقلين لهذه الجملة
y1 (x, y, z) = c1, y2 (x, y, z) = c2
فيكون الحل العام للمعادلة التفاضلية الجزئية
هو السطح التكاملي Φ [y1(x, y, z) , y2(x, y, z)] حيث Φ هو تابع اختياري. أما إيجاد قيمتي الثابتين c1, c2 فيعني إيجاد ذلك السطح التكاملي المار من منحنٍ ما بالذات Γ مثلاً.
فإذا فرض أن معادلات المنحني معطاة بدلالة تقاطع السطحين يكون:
f (x, y, z) = 0, g (x, y, z) = 0
فإنه يتم إيجاد معادلة السطح التكاملي بإيجاد علاقة بين c1, c2 من المعادلات:
f (x, y, z) = 0, g (x, y, z) = 0
y1(x, y, z) = c1, y2(x, y, z) = c2
فإذا كانت هذه العلاقة هي S (c1, c2) = 0 فإن معادلة السطح التكاملي المار من المنحني Γ تأخذ الشكل
S [y1(x, y, z), y2(x, y, z)] = 0
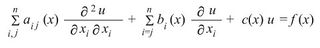
المعادلة التفاضلية الجزئية الخطية من المرتبة الثانية
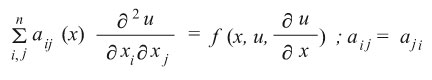
تعد المعادلة التفاضلية الجزئية الخطية من المرتبة الثانية من أهم المعادلات التفاضلية الجزئية في المسائل التطبيقية (الفيزيائية مثلاً). يتم تصنيف المعادلات التفاضلية الجزئية الخطية من المرتبة الثانية في أربعة أنواع رئيسية:
أ - المعادلة التفاضلية الجزئية من النوع الناقصي، وتكتب بالشكل:
بفرض x = (x1, x2, …, xn) ; aij = aji، وأن G هي المنطقة التي تقع فيها المتغيرات المستقلة، وبحيث يتحقق الشرط:
فمن أجل n = 2 مثلاً، فإن:
إذا كان:
(2a12)2 - 4 a11a12 < 0 ; a11 > 0
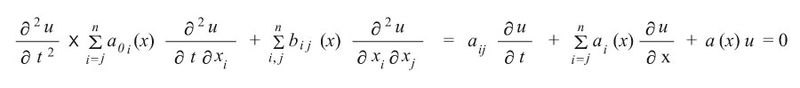
ب - المعادلة التفاضلية الجزئية من النوع الزائد:
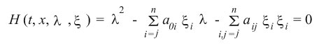
تسمى المعادلة الخطية في المتغيرات t , x1 , x2 , …, xn والمعطاة بالشكل:
حيث a0i , …, aij هي توابع (دوال) في t وx، بمعادلة من النوع المكافئ بالاتجاه t في الفضاء tx إذا كان للمعادلة المميزة
جذران حقيقيان l1 ( t, x, x ) , l2 (t, x , x) من أجل أي مرتّب من n
x = (x1, …, xn ) ≠ ( 0, …, 0).
ج ـ المعادلة التفاضلية الجزئية من النوع المكافىء:
تسمى المعادلة معادلة من النوع المكافئ إذا وفقط إذا كان det (aij) = 0 في كل نقطة من نقط الساحة المطروحة للدراسة.
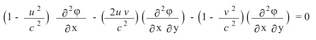
د ـ المعادلة التفاضلية الجزئية من النوع المختلط
وهي معادلة تفاضلية جزئية لا تنتمي إلى أي من الأنواع السابقة ومن أشهر هذه المعادلات هي:
حيث:
التصنيف
الطرق التحليلية لحل المعادلات التفاضلية الجزئية
عزل المتغيرات
مقالة مفصلة: معادلة تفاضلية جزئية قابلة للعزل
تغيير المتغيرات
انظر بلاك-شولز مثالا.
طريقة زمر لي
مقالة مفصلة: زمرة لي
طرق عددية من أجل حل المعادلات التفاضلية الجزئية
طريقة العناصر المنتهية
مقالة مفصلة: طريقة العناصر المنتهية
هي تقنية عددية تمكن من ايجاد حلول تقريبية لمعادلات تفاضلية جزئية, وأيضا المعادلات التكاملية.
طريقة الفروق المنتهية
مقالة مفصلة: طريقة الفروق المنتهية
طريقة الأحجام المنتهية
مقالة مفصلة: طريقة الأحجام المنتهية
انظر أيضاً
- مسألة القيمة الحدية
- Difference equation
- Dirichlet boundary condition
- Jet bundle
- Laplace transform applied to differential equations
- List of dynamical systems and differential equations topics
- Matrix differential equation
- Neumann boundary condition
- Numerical partial differential equations
- Ordinary differential equation
- Partial differential algebraic equation
- Robin boundary condition
- Separation of variables
- Stochastic partial differential equations
- Stochastic processes and boundary value problems
- Waves
المصادر
- Adomian, G. (1994). Solving Frontier problems of Physics: The decomposition method. Kluwer Academic Publishers.
- Courant, R. & Hilbert, D. (1962), Methods of Mathematical Physics, II, New York: Wiley-Interscience.
- Evans, L. C. (1998), Partial Differential Equations, Providence: American Mathematical Society, ISBN 0-8218-0772-2.
- Ibragimov, Nail H (1993), CRC Handbook of Lie Group Analysis of Differential Equations Vol. 1-3, Providence: CRC-Press, ISBN 0-8493-4488-3.
- John, F. (1982), Partial Differential Equations (4th ed.), New York: Springer-Verlag, ISBN 0-387-90609-6.
- Jost, J. (2002), Partial Differential Equations, New York: Springer-Verlag, ISBN 0-387-95428-7.
- Lewy, Hans (1957), "An example of a smooth linear partial differential equation without solution", Annals of Mathematics. Second Series 66 (1): 155–158, doi:.
- Liao, S.J. (2003), Beyond Perturbation: Introduction to the Homotopy Analysis Method, Boca Raton: Chapman & Hall/ CRC Press, ISBN 1-58488-407-X
- Olver, P.J. (1995), Equivalence, Invariants and Symmetry, Cambridge Press.
- Petrovskii, I. G. (1967), Partial Differential Equations, Philadelphia: W. B. Saunders Co..
- Pinchover, Y. & Rubinstein, J. (2005), An Introduction to Partial Differential Equations, New York: Cambridge University Press, ISBN 0-521-84886-5.
- Polyanin, A. D. (2002), Handbook of Linear Partial Differential Equations for Engineers and Scientists, Boca Raton: Chapman & Hall/CRC Press, ISBN 1-58488-299-9.
- Polyanin, A. D. & Zaitsev, V. F. (2004), Handbook of Nonlinear Partial Differential Equations, Boca Raton: Chapman & Hall/CRC Press, ISBN 1-58488-355-3.
- Polyanin, A. D.; Zaitsev, V. F. & Moussiaux, A. (2002), Handbook of First Order Partial Differential Equations, London: Taylor & Francis, ISBN 0-415-27267-X.
- Roubíček, T. (2013), Nonlinear Partial Differential Equations with Applications (2nd ed.), Basel, Boston, Berlin: Birkhäuser, ISBN 978-3-0348-0512-4
- Solin, P. (2005), Partial Differential Equations and the Finite Element Method, Hoboken, NJ: J. Wiley & Sons, ISBN 0-471-72070-4.
- Solin, P.; Segeth, K. & Dolezel, I. (2003), Higher-Order Finite Element Methods, Boca Raton: Chapman & Hall/CRC Press, ISBN 1-58488-438-X.
- Stephani, H. (1989), Differential Equations: Their Solution Using Symmetries. Edited by M. MacCallum, Cambridge University Press.
- Wazwaz, Abdul-Majid (2009). Partial Differential Equations and Solitary Waves Theory. Higher Education Press. ISBN 90-5809-369-7.
- Zwillinger, D. (1997), Handbook of Differential Equations (3rd ed.), Boston: Academic Press, ISBN 0-12-784395-7.
- Gershenfeld, N. (1999), The Nature of Mathematical Modeling (1st ed.), New York: Cambridge University Press, New York, NY, USA, ISBN 0-521-57095-6.
- Krasil'shchik, I.S. & Vinogradov, A.M., Eds. (1999), Symmetries and Conserwation Laws for Differential Equations of Mathematical Physics, American Mathematical Society, Providence, Rhode Island,USA, ISBN 0-8218-0958-X.
- Krasil'shchik, I.S.; Lychagin, V.V. & Vinogradov, A.M. (1986), Geometry of Jet Spaces and Nonlinear Partial Differential Equations, Gordon and Breach Science Publishers, Newe York, London, Paris, Montreux, Tokyo, ISBN 2-88124-051-8.
- Vinogradov, A.M. (2001), Cohomological Analysis of Partial Differential Equations and Secondary Calculus, American Mathematical Society, Providence, Rhode Island,USA, ISBN 0-8218-2922-X.
وصلات خارجية
- Partial Differential Equations: Exact Solutions at EqWorld: The World of Mathematical Equations.
- Partial Differential Equations: Index at EqWorld: The World of Mathematical Equations.
- Partial Differential Equations: Methods at EqWorld: The World of Mathematical Equations.
- Partial Differential Equations in Cleve Moler: Numerical Computing with MATLAB
- Example problems with solutions at exampleproblems.com
- Partial Differential Equations at mathworld.wolfram.com
- Partial Differential Equations at nag.com
- Dispersive PDE Wiki
- NEQwiki, the nonlinear equations encyclopedia
- ^ فوزي دنان. "المعادلات التفاضلية الجزئية". الموسوعة العربية. Retrieved 2015-03-26.







