متغير عشوائي
المتغير العشوائي Random variable هو مصطلح يستخدم في الرياضيات التصادفية. المتغير العشوائي يرمز إلى دالة رياضية و التي تظهر نتائج تجربة عشوائية معينة. و المتغير العشوائي هو متغير يمكن له أن يأخذ أي قيمة عشوائية غير محددة سلفا بالتالي يمكن اعتباره النتيجة العددية لإجراء تجربة غير حتمية النتيجة. فعملية دحرجة النرد للحصول على رقم من ضمن المجموعة {1, 2, 3, 4, 5, 6} هي عملية توليد لمتغير عشوائي هو ناتج عملية الدحرجة.
المتغير العشوائي يختلف عن غيره من المتغيرات العشوائية بأنه لا يأخذ النتيجة الفعلية المحتمة للتجربة بل يأخذ احدى احتمالات التجربة العشوائية .
تعرَّف التجربة بأنها أي عملية تؤدي إلى قياس أو ملاحظة. فعدد الخريجين من كلية العلوم مثلاً هو قياس كمي، ومن سيفوز بسباق جري هو قياس وصفي، ويمكن دوماً، ردُّ المشاهدات الوصفية إلى مشاهدات كمية بتخصيص عدد لكل نتيجة وصفية وفق نظام معين سابقاً؛ فيسجل مثلاً الرقم (1) إذا فاز أحمد بالسباق والرقم (0) إذا لم يفز أحمد بالسباق. فإذا رمز لعدد الخريجين بـ X ولنتيجة أحمد بسباق الجري بـ Y، فمع نهاية كل عام، نحصل على قيمة للمتغير X، ومع ختام كل سباق يشارك فيه أحمد، نحصل على قيمة للمتغير Y. ومن الطبيعي أن يقال عن متغير مثل X أو Y إنه متغير عشوائي random variable لأن القيم التي يفترضها كل منهما مرتبطة بتجارب عشوائية random experiments.
تعريف المتغير العشوائي وأنواعه
1ـ تعريف المتغير العشوائي: إذا كان Ω الفضاء عيِّنة لتجربة عشوائية ما، فإن أي دالَّة X تخصص عدداً حقيقياً X(ω) لكل عنصر ω ∈ Ω تدعى متغيراً عشوائياً. فإذا كانت ω عنصراً من Ω وكان X هو المتغير العشوائي، فإن X(ω) هي قيمة X عند ω، أي:
X(ω) هي القيمة التي يأخذها المتغير العشوائي X عند العنصر ω، وبمعنى آخر فإن X(ω) هو العدد الحقيقي الذي خصصته الدالة X ليرافق العنصر ω.
وعلى ذلك فإن المتغير العشوائي X على فضاء العيِّنة Ω هو عبارة عن دالة من Ω في مجموعة الأعداد الحقيقية R بحيث أن الصورة العكسية لكل مجال في R هي حادثة في Ω. وبمعنى آخر إذا كانت A حادثة في Ω، وكانت T هي مجموعة الأعداد الحقيقية التي خصصتها الدالَّة X كصورة للحادثة A، فيقال إن A هي الصورة العكسية للمجموعة T أي
X-1 (T) = A وفي هذه الحالة يقال إن: T R ⇔ A Ω وإن P (T) = P (A).
2ـ أنواع المتغيرات العشوائية: تنقسم المتغيرات العشوائية إلى نوعين
أ) المتغير العشوائي المنفصل discrete random variable
يقال إن المتغير العشوائي منفصل إذا كان يأخذ قيماً تنتمي إلى مجموعة منتهية، أو غير منتهية ولكنها قابلة للعد، أي أنه يأخذ قيماً منفصلة عن بعضها البعض (أي يوجد بينها ثغرات). ويرمز لمجموعة قيم المتغير العشوائي X بالرمز Rx ، وبالتالي تكون Rx من الشكل: Rx = {X1, X2, ..., Xn} أو من الشكل Rx = {X1, X2, ..., Xi}.
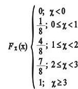
مثال (1): لدى أسرة ثلاثة أطفال، وليكن X المتغير الدال على عدد الذكور لدى هذه الأسرة.
عندئذ تكون عِدَّة فضاء العيِّنة (أي عدد نتائج هذه التجربة) هو: |Ω| = 23= 8
ويكون فضاء العينة (أي مجموعة نتائج هذه التجربة):
Ω = {GGG,GGB,GBG,BGG,GBB,BGB,BBG,BBB}
حيث رُمِزَ للأنثى بـ G وللذكر بـ B كما يلي:
وتكون مجموعة قيم المتغير العشوائي X من الشكل: RX={0.1,2,3}
وإذا كانت الحادثة [X=2] مثلاً، فإن الصورة العكسية لـ X=2 أي X-1 (2) هي:
X=2] = X-1 (2) = {GBB,BGB,BBG}]
ونلاحظ أن المتغير يأخذ، عند كل نقطة عينة من النقاط الثماني التي يتضمنها فضاء العينة لهذه التجربة، قيمة واحدة فقط من هذه القيم الممكنة والجدول التالي يبين ذلك:
ونلاحظ أن X يمثل دالة عددية معرَّفة على فضاء العينة Ω
حيث X: Ω →{0,1,2,3}
X(GGG) = 0 ; X(GGB) = 1; .... ; X(BBG) = 2 ; X(BBB) = 3
مثال (2): إذا كان X متغيراً عشوائياً يدل على الوجه الحاصل من تجربة إلقاء حجر نَرْد متوازن مرة واحدة ، تكون Rx من الشكل: Rx ={1,2,3,4,5,6}
ب) المتغير العشوائي المتصل continuous random variable
يقال إن المتغير العشوائي متصل إذا كان يأخذ قيماً تنتمي إلى مجموعة غير منتهية وغير قابلة للعد، بمعنى أن المتغير يأخذ جميع القيم التي تقع في نطاق تغيُّره، أي Rx تكون من الشكل: Rx ={x:a ≤ x ≤ b; a, b ∈ R}
مثال (3): تجربة اختيار نقطة من قرص دائري مركزه مبدأ الإحداثيات ونصف قطره r.
ليكن X المتغير الدال على المسافة بين النقطة المختارة ومبدأ القرص الدائري.
عندئذ تكون RX من الشكل: Rx ={x : 0 ≤ x ≤ r} وهذه مجموعة غير منتهية وغير قابلة للعد.
التوزيع الاحتمالي probability distribution
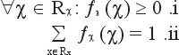
في حالة المتغير العشوائي المنفصل X: يكون التوزيع الاحتمالي عبارة عن دالة احتمالية probability function fx (•) تعطي احتمالات قيم X المختلفة وتعرَّف كالآتي:
f x(x) = f (x) = P[X=x] = P[ω: x(ω) = x]
أي أن احتمال المتغير العشوائي X عند القيمة x هو احتمال الحادثة التي هي الصورة العكسية للقيمة x. وهذه الدالة تحقق الشرطين الآتيين: (الشكل 1)

وأي دالة تحقق الشرطين السابقين تعتبر دالة احتمالية لمتغير عشوائي.
وتوصف الدالة الاحتمالية بجدول من الشكل التالي:
مثال (4): بالعودة للمثال (1) تكون الدالة الاحتمالية من الشكل:
ويلاحظ أيضاً تحقق الشرطين (ii) و (i) أعلاه.
ويمكن تمثيل الدالة الاحتمالية للمتغير X بالعلاقة:(الشكل2)

حيث تمثل عدد توافيق ثلاثة أشياء مأخوذة x معاً.
مثال (5): بالعودة للمثال (2) تكون الدالة الاحتمالية من الشكل:
وفي حالة المتغير المتصل (المستمر): فإن المتغير X يأخذ عدداً لا نهائياً من القيم، لذلك فإنه لا يمكن أن يكون هناك احتمال موجب مرافق لكل قيمة من قيم المتغير العشوائي بمعنى أن: p :"cÎRcc:p[X=x]=0. ولكن يمكن أن يكون هناك احتمال مرافق لكل مجال من مجالات المتغير. ويوضح ذلك من خلال دراسة دالة التوزيع التراكمية للمتغير X أو اختصاراً (دالة التوزيع).
دالة التوزيع التراكمية cummulative distribution function
يمكن تحديد التوزيع الاحتمالي لأي متغير عشوائي X بدلالة دالة تسمى دالة التوزيع
التراكمية ويرمز لها بـ (·(Fx أو (·(F وتعرَّف كالآتي: Fx (x) = P[X £ x]n وبالتالي في حالة المتغير العشوائي المنفصل فإنه يكون:(الشكل3)

أي تساوي مجموع احتمالات قيم X التي هي أقل من أو تساوي القيمة x. ومنحني هذه الدالة يأخذ صورة منحني الدالة الدَّرَجية، ويتكوَّن من قفزات عند قيم المتغير. ومقدار القفزة عند القيمة u، يساوي احتمال u ، أي أن القفزة عند u هي f (u) = P[X = u].
مثال (6): بالعودة للمثال (1) وللمثال (4) تكون دالة التوزيع من الشكل:(الشكل3)

مثال (7): بالعودة للمثال (2) وللمثال (5) تكون دالة التوزيع للمتغير X من الشكل:

مثال (8) : بالعودة للأمثلة (1ـ 4 ـ 6) فإن احتمال الحصول على ذكرين على الأكثر هو p [X £ 2]n فيمكن بالاستفادة من دالة التوزيع والدالة
الاحتمالية حساب ذلك وفق مايلي:(الشكل6)

أما في حالة المتغير المتصل، فإذا كان هناك دالة رياضية (·(Fx فإن:(الشكل7)

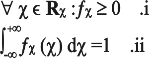
إن الدالة f(x) التي يمكن تمثيلها عند القيمة x بمشتق الدالة F(x) أي: تسمى دالة الكثافة الاحتمالية probability density function للمتغير X. ويسمى F(x) دالة التوزيع الاحتمالي للمتغير X. وتحقق دالة الكثافة الاحتمالية الشرطين التاليين:(الشكل8)

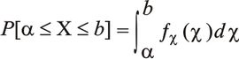
وبالتالي فإن لكل مجال من مجالات X تكون المساحة بين المحور الأفقي ومنحني الدالة فوق هذا المجال مساوية لاحتمال أن يقع X في هذا المجال أي أن:(الشكل9)

ويكون منحني الدالة Fx (X)n مستمراً بالإطلاق وله أيضاً بعض الخواص يذكر منها:
أ) دالة التوزيع F(x) دالة غير متناقصة أي :(الشكل10)

ب) F (-¥)=0 ; F (+¥) = 1
ج ) F(x) دالة مستمرة من اليمين أي:(الشكل11)

د) دالة التوزيع F(x) وحيدة لكل متغير عشوائي X.
هـ) إذا كان X متغيراً عشوائياً متصلاً وكانت a < b فإن:
p[α ≤ × ≤b] = F (b) - F (α)n.
و) إذا كان X متغيراً عشوائياً منفصلاً فإن:
p[α ≤ × ≤b] = F (b) - F (α)n
p[α < × ≤b] = F (b) - F (α) + ƒ(α)n
p[α < × <b] = F (b) - F (α) + ƒ(α) + ƒ(b)n
p[α ≤ × <b] = F (b) - F (α) - ƒ(b)n
وبناءً على ما سبق يمكن القول إن أي ظاهرة عشوائية (أي متغير عشوائي) لها توزيع احتمالي يصفها، وهذا التوزيع الاحتمالي يعرَّف بدلالة دالة التوزيع التراكمية (•) F، كما أنه يعرَّف بدلالة الدالة الاحتمالية إذا كان المتغير منفصلاً، أو بدلالة دالة الكثافة الاحتمالية (•) f إذا كان المتغير متصلاً.
خواص المتغيرات العشوائية characteristics of random variables
هناك العديد من المزايا والخواص تميِّز التوزيعات الاحتمالية، وقد لا تكون المعلومات عن التوزيع الاحتمالي مهمة، إلا أنه قد يكون المطلوب معرفة خواصه وهي مقادير إحصائية تصف وتمثل التوزيع محل الدراسة، فمثلاً لا تكون معرفة كل تفاصيل التوزيع الاحتمالي لأعمار الصمامات الكهربائية التي ينتجها أحد المصانع أمراً مهماً ولكن يكتفى ببعض الخواص التي تميز هذا التوزيع مثل متوسط عمر الصمام.
1) التوقُّع الرياضي أو القيمة المتوقعة mathematical expectation or the expected value
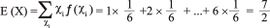
القيمة المتوقعة للمتغير العشوائي هي مقدار يقيس متوسط القيم المختلفة التي يأخذها المتغير العشوائي وتعرَّف كالآتي: من أجل X كمتغير عشوائي منفصل يأخذ القيم (x1,x2), x3,...n) باحتمالات n(f (x1),f (x2), f(x3)...)n على الترتيب، فإن القيمة المتوقعة للمتغير أو للتوزيع ويرمز لها بالرمز E(X) أو μ تعطى بالعلاقة:

بشرط أن يتقارب هذا المجموع تقارباً مطلقاً أي أن:(الشكل13)

ومن أجل X كمتغيرٍ عشوائي متصلٍ كثافته الاحتمالية f (x) يكون:(الشكل14)

بشرط أن يتقارب التكامل تقارباً مطلقاً أي أن يكون:(الشكل15)

وإذا لم يتقارب المجموع أو التكامل تقارباً مطلقاً فإنه لا يوجد للمتغير قيمة متوقعة أو متوسط.
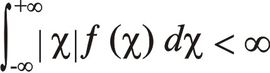
مثال (9): بالعودة للمثال (1) والمثال (4) يكون توقع X:(الشكل16)

وهذا يعني أن القيمة 1.5 هي القيمة المتوقعة رياضياً لعدد الذكور لدى الأسرة ، فهي متوسط التوزيع الاحتمالي، والتفسير العلمي للقيمة 1.5 هي أنها تمثل القيمة المتوسطة لعدد الذكور لدى الأسر التي تمتلك ثلاثة أطفال على المدى الطويل (أي متوسط مجتمع القياسات).
بمعنى آخر لو كُررت التجربة عدداً كبيراً جداً من المرات للأسر التي تمتلك ثلاثة أطفال وسُجلت في كل مرة عدد الذكور لديها ثم حُسب متوسط هذه الأعداد لكانت النتيجة 1.5.
مثال (10): بالعودة للمثال (2) والمثال (5) يكون توقع X:(الشكل 17)

ملاحظة: يلاحظ أن التقارب المطلق محقق في الأمثلة الثلاثة أعلاه.
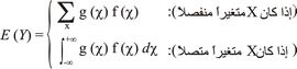
2) القيمة المتوقعة لأي دالة في المتغير العشوائي X “expected value of a function in the random variable X”
إذا كان X متغيراً عشوائياً توزيعه الاحتمالي f(x) وكان Y = g(x) دالة في X فإن Y يكون هو الآخر متغيراً عشوائياً وتكون قيمته المتوقعة من الشكل:(الشكل 18)

بشرط أن يتقارب المجموع والتكامل تقارباً مطلقاً.
مثال (11): بالعودة للمثال (1) وللمثال (4) يكون:(الشكل19)

مثال (12): بالعودة للمثال (2) وللمثال (5) يكون:(الشكل20)

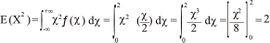
مثال (13): بالعودة للمثال (10) يكون:(الشكل21)

تجدر الملاحظة إلى أن التوقع الرياضي يتمتع بالخواص الآتية:
أ) إذا كان C مقداراً ثابتاً فإن: E (C) = C
ب) من أجل a,b أعداداً ثابتة فإن: E (aX + b) = aE (X) +b
ج) من أجل ثوابت عددية C1, C2, C3, ...n وX1, X2, X3, ...n متغيرات عشوائية فإن:(الشكل22)

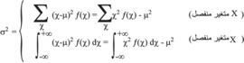
) التباين (التشتت) variance: وهو من أهم صفات التوزيعات الاحتمالية ويرمز لها بالرمز V(X) أو sx2 أو s2 ويعرَّف على أنه:(الشكل23)

وهو يمثل متوسط مربع انحرافات قيم المتغير العشوائي X عن قيمته المتوقعة وبالتالي:(الشكل24)

) الانحراف المعياري standard deviation
الانحراف المعياري للمتغير العشوائي هو الجذر التربيعي الموجب للتباين ويرمز له بالرمز أو σ أي أن: وهو يقيس مقدار تباين أو تشتت أو اختلاف قيم المتغير العشوائي بعضها عن بعض.
مثال (14): بالعودة للأمثلة (1 ـ 4 ـ 9 ـ 11) يكون تباين X:(الشكل25)

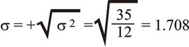
مثال (15): بالعودة للأمثلة (2 ـ 5 ـ 10 ـ 12) يكون تباين X:(الشكل26)

ويكون الانحراف المعياري للمتغير X:(الشكل27)

مثال (16): بالعودة للمثال (13) يكون تباين X:(الشكل28)

ويكون الانحراف المعياري للمتغير X:(الشكل29)

تجدر الإشارة هنا إلى أنه إذا كان الانحراف المعياري صغيراً فهذا يعني أن القراءات قريبة من بعضها أي متجانسة ، أما إذا كان كبيراً فهذا يعني أن قيم المتغير مشتتة أو مبعثرة وغير متجانسة.
كما أن التباين يتمتع بالخواص التالية :
أ) إذا كان C ثابتاً عددياً فإن V(C) = 0
ب) إذا كانت a,b ثوابت عددية فإن: V(aX + b) = aV(X)
ج ) إذا كان Y,X متغيرين عشوائيين مستقلين فإن: V(X+Y)=V(X) +V(Y)
ويمكن تعميم ذلك لأكثر من متغيرين مستقلين.
5) التغاير covariance
يعرَّف التغاير لمتغيرين عشوائيين X,Y بالعلاقة:
COV (X,Y) = E (X- E (X)) (Y- E (Y)) = E (XY) - E (X) . E (Y)
وإذا كان المتغيران Y,X مستقلين عشوائياً فإن COV(X ,Y) = 0
وإذا لم يكن المتغيران Y,X مستقلين فإن:
V(X + Y) = V(X) + V(Y) + 2COV (X,Y)
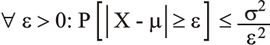
6) متباينة تشيبشف inequality of Tchebycheff
إذا كان X متغيراً عشوائياً له التوقع μ والانحراف المعياري σ فإن المتباينة تنص على أنه:(الشكل30)

أي أن المتباينة تعطي حداً راجحاً للاحتمال بغض النظر عن نوع توزيع المتغير X.
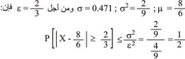
مثال (17): بالعودة للأمثلة (2 ـ 5 ـ10 ـ 12 ـ 15) حيث كان:(الشكل31)


فإن متباينة تشيبشف تكون من الشكل:(الشكل33)

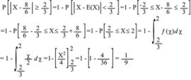
مثال (18): بالعودة للأمثلة (13 ـ 16) حيث وجد:(الشكل34)

وإذا حُسبت القيمة الفعلية للاحتمال:(الشكل35)

انظر أيضاً
المصادر
أدب
- Fristedt, Bert; Gray, Lawrence (1996). A modern approach to probability theory. Boston: Birkhäuser. ISBN 3-7643-3807-5.
{{cite book}}: Invalid|ref=harv(help) - Kallenberg, O., Random Measures, 4th edition. Academic Press, New York, London; Akademie-Verlag, Berlin (1986). MR0854102 ISBN 0-12-394960-2
- Kallenberg, O., Foundations of Modern Probability, 2nd edition. Springer-Verlag, New York, Berlin, Heidelberg (2001). ISBN 0-387-95313-2
- Papoulis, Athanasios 1965 Probability, Random Variables, and Stochastic Processes. McGraw–Hill Kogakusha, Tokyo, 9th edition, ISBN 0-07-119981-0.
- Anderson, Sweeney, Williams, Freeman, Shoesmith. Statistics for Business and Economics - 2nd Edition. Cengage Learning (2010). ISBN 978-1-4080-1810-1
This article incorporates material from Random variable on PlanetMath, which is licensed under the GFDL.