قائد الموجة
| كهرومغناطيسية | ||||||||||
كهرباء • مغناطيسية
| ||||||||||
في الفيزياء ، البصريات ، الإتصالات اللاسلكية ، قائد الموجة أو موجه الموجه أو دليل الموجة waveguide هو وسط مادي غير متجانس هو الذي يحدد و يقود انتشار الموجة. يستعمل قائد الموجة في نقل الطاقة أو إشارات الإتصالات علي حد السواء.
فهو قضيب معدني مجوّف ذو مقطع محدد وثابت على كامل الطول. ويوصف دليل الموجة وفق شكل مقطع تفريغه، ويمكن أن يتخذ أي شكل، إلا أن أكثر المقاطع المستخدمة عملياً هي المقاطع المستطيلة والدائرية القياسية، ويدعى دليل الموجة عندها المستطيل أو الدائري، وتستخدم في حالات خاصة المقاطع غير القياسية كالمربعة والقطوع الناقصة والأخدودية المبينة، وتمثل أبعاد الدليل أبعاد مقطع التجويف. وتنتشر الموجات الكهرمغنطيسية دون تخامد يذكر ضمن هذا التجويف، إذا كانت تردداتها أعلى من حد معين يدعى تردد القطع، وهو يتعلق بشكل وأبعاد الدليل. يستعمل الدليل لنقل الترددات التي تتجاوز c1GHz، لأن استخدامه لترددات أقل يتطلب أن تكون مقاطعه كبيرة، كما هي الحال عند استخدامه لنقل ترددات البث الإذاعي والتلفزيوني، فتكون أبعاده من رتبة المتر، إذ يبلغ بعدا المستعمل لنقل التردد c320 MHz. مقاطع مختلفة من دليل الموجة
التاريخ
تحليل
-
TE1,0 mode of a rectangular hollow metallic waveguide.
-
TE1,1 mode of a circular hollow metallic waveguide.
Hollow metallic waveguides


تطبيقات الدليل الموجي
This article lacks conversions for SI units. |
| Waveguide name | Frequency Band Name | Recommended Frequency Band of operation (GHz) | Cutoff frequency of lowest order mode (GHz) | Cutoff frequency of next mode (GHz) | Inner dimensions of waveguide opening (inch) | ||
|---|---|---|---|---|---|---|---|
| EIA | RCSC | IEC | |||||
| WR650 | WG6 | R14 | L band (part) | 1.15 — 1.72 | 0.908 | 1.816 | 6.500 × 3.250 |
| WR510 | WG7 | R18 | 1.45 — 2.20 | 1.157 | 2.314 | 5.100 × 2.550 | |
| WR430 | WG8 | R22 | 1.72 — 2.60 | 1.372 | 2.745 | 4.300 × 2.150 | |
| WR340 | WG9A | R26 | S band (part) | 2.20 — 3.30 | 1.736 | 3.471 | 3.400 × 1.700 |
| WR284 | WG10 | R32 | S band (part) | 2.60 — 3.95 | 2.078 | 4.156 | 2.840 × 1.340 † |
| WR229 | WG11A | R40 | C band (part) | 3.30 — 4.90 | 2.577 | 5.154 | 2.290 × 1.145 |
| WR187 | WG12 | R48 | C band (part) | 3.95 — 5.85 | 3.153 | 6.305 | 1.872 × 0.872 † |
| WR159 | WG13 | R58 | C band (part) | 4.90 — 7.05 | 3.712 | 7.423 | 1.590 × 0.795 |
| WR137 | WG14 | R70 | C band (part) | 5.85 — 8.20 | 4.301 | 8.603 | 1.372 × 0.622 † |
| WR112 | WG15 | R84 | — | 7.05 — 10.00 | 5.260 | 10.520 | 1.122 × 0.497 † |
| WR90 | WG16 | R100 | X band | 8.20 — 12.40 | 6.557 | 13.114 | 0.900 × 0.400 † |
| WR75 | WG17 | R120 | — | 10.00 — 15.00 | 7.869 | 15.737 | 0.750 × 0.375 |
| WR62 | WG18 | R140 | Ku band | 12.40 — 18.00 | 9.488 | 18.976 | 0.622 × 0.311 |
| WR51 | WG19 | R180 | — | 15.00 — 22.00 | 11.572 | 23.143 | 0.510 × 0.255 |
| WR42 | WG20 | R220 | K band | 18.00 — 26.50 | 14.051 | 28.102 | 0.420 × 0.170 † |
| WR34 | WG21 | R260 | — | 22.00 — 33.00 | 17.357 | 34.715 | 0.340 × 0.170 |
| WR28 | WG22 | R320 | Ka band | 26.50 — 40.00 | 21.077 | 42.154 | 0.280 × 0.140 |
| WR22 | WG23 | R400 | Q band | 33.00 — 50.00 | 26.346 | 52.692 | 0.224 × 0.112 |
| WR19 | WG24 | R500 | U band | 40.00 — 60.00 | 31.391 | 62.782 | 0.188 × 0.094 |
| WR15 | WG25 | R620 | V band | 50.00 — 75.00 | 39.875 | 79.750 | 0.148 × 0.074 |
| WR12 | WG26 | R740 | E band | 60.00 — 90.00 | 48.373 | 96.746 | 0.122 × 0.061 |
| WR10 | WG27 | R900 | W band | 75.00 — 110.00 | 59.015 | 118.030 | 0.100 × 0.050 |
| WR8 | WG28 | R1200 | F band | 90.00 — 140.00 | 73.768 | 147.536 | 0.080 × 0.040 |
| WR7 | WG29 | R1400 | D band | 112.00 — 172.00 | 90.791 | 181.583 | 0.0650 × 0.0325 |
| WR5 | WG30 | R1800 | 140.00 — 220.00 | 115.714 | 231.429 | 0.0510 × 0.0255 | |
| WR4 | WG31 | R2200 | 172.00 — 260.00 | 137.243 | 274.485 | 0.0430 × 0.0215 | |
| WR3 | WG32 | R2600 | 220.00 — 330.00 | 173.571 | 347.143 | 0.0340 × 0.0170 | |
قضبان عازل للميكروويف
مبدأ العمل
عند تهييج موجات كهرمغنطيسية ضمن الدليل فإن خواص النقل له هي خواص مرشح تمرير عال، أي إن الموجات ذات الترددات الأدنى من تردد القطع تتخامد بسرعة، بينما تنتشر الموجات ذات الترددات الأعلى من تردد القطع باتجاه محور الدليل دون تخامد يذكر. يعبر عن ذلك بعلاقة ثابت الانتشار γ الآتية:

حيث α هي المركبة الحقيقية لثابت الانتشار، β: هي المركبة العقدية لثابت الانتشار. fc، λc هما تردد المقطع وطول موجته، f هو تردد الموجة، و λ0 طول موجة الفراغ الحر، c هي سرعة الضوء. يستنتج من العلاقة السابقة الموضحة في (الشكل- 2) أن لثابت الانتشار قيمة حقيقية γ = α عند الترددات f < fc وتتخامد الموجة المنتشرة بسرعة، وتنتهي إلى الصفر عند f = fc، وهذا يعني أن الحقل يبدأ بالانتشار، بينما يأخذ قيمة وهمية عند الترددات f > fc أي أن الموجة تنتشر بطور ثابت β.
لكل نمط موجة تردد قطع معين، ويؤدي التخامد للترددات المنخفضة إلى التخلص من هذه الأنماط غير المرغوب فيها التي تتهيج في مناطق عدم الاستمرارية في مقطع الدليل. وبالتالي لا ينتشر في الدليل سوى موجة النمط الأساسي المرغوبة. ويدعى المجال الترددي الذي يمكن أن تنتشر فيه الموجة الأساسية فقط مجال التمرير الأساسي للدليل، ويحدد من الأسفل بتردد القطع للموجة الأساسية ومن الأعلى بأصغر تردد قطع للأنماط العليا.
يتم وصف الحقول الكهرمغنطيسية المنتشرة بمعادلات مكسويل التفاضلية. وعند الأخذ بالحسبان الشروط الواجب أن تحققها مركبات الحقول الكهربائية والمغنطيسية عند السطوح الفاصلة بين العازل (الهواء الموجود في التجويف) والناقل المصنّع منه الدليل (التي تعطى بقانون التحريض والتدفق المغنطيسي والشروط الحدية وشروط الاستمرارية لهذه المركبات). يتم إيجاد مركبات هذه الحقول لأي دليل موجة، وهي مركبات تتغير سعاتها وفق توابع جيبية. علاقة ثابت الانتشار بالتردد
الاستخدامات
يستخدم دليل الموجة كخط نقل قليل الفقد لنقل الطاقة الكهرمغنطيسية العالية من مكبر مرحلة الخرج إلى الهوائي. كما يستعمل الدليل القياسي (المستطيل والدائري) في تشكيل دارات الأمواج المكروية لوصل مكوّنات هذه الدارات (رابط اتجاهي - الدوّار -ناقل اتجاهي - منزلقة القصر - وصلة دوارة ... ) المصنعة بالتقنية نفسها مع بعضها بعضاً باستخدام وصلات مناسبة (فلنجات). ولكن الاستخدام الأساسي له هو في تشكيل مكوّنات دارات الأمواج المكروية المختلفة من مرشحات ومخمّدات وإعاقات ومزيحات طور ودارات تجاوب إضافة إلى العناصر المذكورة سابقاً.
القيم الكهرمغنطيسية المميزة لدليل الموجة:
1 - أنماط الموجات لدليل الموجة:
أ ـ النمط E أو TM: يمتلك هذا النمط مركّبة حقل كهربائية E باتجاه الانتشار (محور الدليل) إضافة إلى المركّبة الأساسية المتعامدة معه، أو بتعبير آخر لا يملك سوى مركبة حقل مغنطيسية متعامدة مع محور الدليل TM.
ب ـ النمط H أو TE: يمتلك هذا النمط مركّبة حقل مغنطيسية H باتجاه الانتشار إضافة إلى المركّبة الأساسية المتعامدة معه، أو بتعبير آخر لا يملك سوى مركّبة حقل كهربائية متعامدة مع محور الدليل TE.
2 ـ أنماط الموجات العالية: تتهيج أنماط موجات أعلى ضمن الدليل من الشكل E أو H وللتمييز بينها وبين الأنماط السابقة تدعى الأنماط Emn أو Hmn؛ حيث يعبر الدليلان m, n عن عدد خطوط العقد لمركّبات الحقول لنمط الموجة وتتعلق قيمتهما بمقطع الدليل وبالإحداثيات المستعملة لوصف مركّبات الحقول هذه.
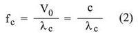
3 ـ تردد القطع وطول موجة القطع: يحسب طول موجة القطع λc من شكل الدليل وأبعاده، ويحسب تردد القطع من العلاقة:

حيث V0 سرعة انتشار الموجة في الوسط المملوء به الدليل وهو الهواء وتساوي سرعة الضوء فيه c.
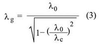
4 ـ طول موجة الدليل λg: يحسب طول موجة الدليل من العلاقة:

يستنتج من المعادلة (3) أن طول موجة الدليل أكبر من طول موجة الفراغ الحر الذي له التردد نفسه، وطولها عند تردد القطع لا نهائي. ويبدأ الطول بالتناقص مع زيادة التردد حتى يصل إلى طول موجة الفراغ الحر عند زيادة التردد بشكل كبير.
5 ـ سرعة الطور وسرعة المجموعة: تحدد سرعة الطور بالعلاقة:

ويستنتج أن سرعة الطور متعلقة بالتردد وهي أعلى من سرعة الضوء.
وتحسب سرعة المجموعة بالعلاقة:

أي إن: Vph.Vgr = c2، وعند انتشار النبضات (المكونة من عدة ترددات) في الدليل تتعرض للتشويه بسبب تابعية Vgr للتردد.
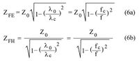
6 ـ الممانعة الموجية للحقل: تعرّف الممانعة الموجية للحقل بأنها النسبة بين مركبتي شدة الحقل الكهربائي وشدة الحقل المغنطيسي المتعامدتين مع محور الانتشار، ولها قيمتان مختلفتان حسب النمط المنتشر وتتعلقان بالتردد وبمقطع الدليل:

حيث Z0=120 πΩ الممانعة الموجية للفراغ الحر.
7 ـ الضياع في جدران الدليل: إن الضياع الناتج من خشونة السطح الداخلي للدليل يمكن إهماله عند الترددات الأدنى من تردد القطع مقارنة مع التخامد الناتج عن الانتشار، بينما يجب أخذه بالحسبان في الترددات العالية للدليل الطويل.
8 ـ الطاقة الممكن نقلها: تحدد هذه الطاقة بالجهد الأعظم الذي تتحمله المادة المملوء بها الدليل قبل أن تنهار عازليتها (للهواء c30KV/cm)، وبالتالي فإن هذه الطاقة متعلقة بأبعاد الدليل وبنمط الموجة والتردد.
تطور دليل الموجة
إن الحجم الكبير لدليل الموجة حد من انتشار استخدامه في الأجهزة المحمولة، التي تتطلب التوفير في الحجم، ولتصغير أبعاد الدليل مع المحافظة على تردد القطع يتم إملاء الدليل كلياً بمادة عازلة قليلة الضياع متجانسة لها ثابت عازلية نسبي e r، فيتضاعف طول موجة القطع بالمقدار

ويقل طول الموجة المنتشرة في الدليل ويحسب من العلاقة:

كما يتم ملء الدليل بمادة الفيرايت ذات المواصفات er, mr لتقليل أبعاد الدليل ولإنتاج مواصفات نقل مختلفة في الاتجاهين]]....[1].
==انظر أيضاً
المصادر
This article is based in part on material from Federal Standard 1037C and from MIL-STD-188, and ATIS
- ^ "دليل الموجة". الموسوعة العربية. 2007.
- J. J. Thomson, Recent Researches (1893).
- O. J. Lodge, Proc. Roy. Inst. 14, p. 321 (1894).
- Lord Rayleigh, Phil. Mag. 43, p. 125 (1897).
- N. W. McLachlan, Theory and Applications of Mathieu Functions, p. 8 (1947) (reprinted by Dover: New York, 1964).
- [1]
قراءات أخرى
- George Clark Southworth, "Principles and applications of wave-guide transmission". New York, Van Nostrand [1950], xi, 689 p. illus. 24 cm. Bell Telephone Laboratories series. LCCN 50009834
وصلات خارجية
- Patents
- Southworth, U.S. Patent 2٬407٬690, "Wave guide electrotherapeutic system"
- Hopper, U.S. Patent 2٬806٬138, "Wave guide frequency converter", September 10, 1957
- Websites
- Transverse Electric and Magnetic Fields in a Waveguide
- Waveguide Dimensions
- Derivation of Fields Within a Rectangular Waveguide antenna-theory.com
- Waveguides in particle accelerators incorporating Klystons
