أغوال (كيمياء عضوية)

Disambig RTL.svg هذه المقالة عن الأغوال أو الكحول كمواد كيميائية. لرؤية صفحة توضيحية بمقالات ذات عناوين مشابهة، انظر كحول (توضيح).


الغول (بفتح الغين) في العربية هو كل ما يغول العقل أي يذهبه، يقال غاله و اغتاله إذا أخذه من حيث لم يدر، فكان أن أطلقه الكيميائيين العرب على منتجات التخمر المسكرة ثم انتقل إلى أوروبا ليصبح كلمة الكحول Alcohol وهو ما يعرف عند العامة ب"السبرتو".

أمثلة عن الأغوال

التعريف

مركبات عضوية (تتكون أساسا من ذرات كربون وهيدروجين)، تحتوي على مجموعة هيدروكسيل أو أكثر، وتعتبر من مشتقات الألكينات. كما يمكن إعتبارها من مشتقات الماء بسبب إستبدال ذرة هيدروجين واحدة بمجموعة ألكيل.

التصنيف

  1. تبعا لعدد مجموعات الهيدروكسيل:
  • أحادية الهيدروكسيل، الصيغة العامة: CnH2n+2O

مثاله: الكحول الميثيلي

  • ثنائية الهيدروكسيل،الصيغة العامة: CnH2n+2O2

مثاله: الجليكول

  • ثلاثية الهيدروكسيل،الصيغة العامة: CnH2n+2O3

مثاله: الجلسرين أو الجلسرول

  • عديدة الهيدروكسيل،الصيغة العامة: CnH2n+2OX

مثاله: الجلوكوز

  1. تبعا لطبيعة ذرة الكربون المرتبطة مباشرة بمجموعة الهيدروكسيل :
  • أولية:الكحولات التي ترتبط فيها مجموعة الهيدروكسيل بذرة كربون ترتبط مباشرة بذرة كربون واحدة، الصيغة العامة: R-CH2-OH
  • ثانوية:الكحولات التي ترتبط فيها مجموعة الهيدروكسيل بذرة كربون ترتبط مباشرة بذرتي كربون، الصيغة العامة: R2-CH-OH
  • ثالثية:الكحولات التي ترتبط فيها مجموعة الهيدروكسيل بذرة كربون ترتبط مباشرة بثلاث ذرات كربون، الصيغة العامة: R3-C-OH

تسمية الأغوال

  • التسمية الشائعة: كحول + ألكيلي، مثال: كحول ميثيلي
  • التسمية النظامية: يتم إختيار أطول سلسلة كربونية مستمرة تحتوي على مجموعة الهيدروكسيل كمركب ألكاني أساسي ويضاف إليها المقطع "ول". ترقم السلسلة بحيث تعطى ذرة الكربون الحاملة لمجموعة لبهيدروكسيل أصغر رقم ممكن بغض النظر عن موقع المجموعات الفرعية الأخرى.

الاستخدامات

Total recorded alcohol per capita consumption (15+), in litres of pure alcohol[1]

الخواص الفيزيائية

  1. إرتفاع ذائبية (ذوبانية) الأغوال في الماء.
  2. إرتفاع درجة غليانها.
  3. لا تغير لون ورقتي تباع الشمس الحمراء أو الزرقاء، وبالتالي فإنها متعادلة الأس الهيدروجيني، أي ليست حامضية أو قاعدية.
  4. الحالة الفيزيائية: غالبيتها سائلة، كما أنها متميعة حيث تمتص الماء والرطوبة.
  5. اللون والرائحة متنوعة.

السمية Toxicity

كيمياء الأغوال

طرق التحضير Preparation

طرق مخبرية Laboratory

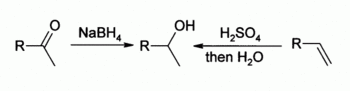
هناك ثلاث طرق عامة لتحضير الأغوال :

R-Br + KOH → R-OH + KBr
R-CHO - [O] → R-OH
C2H4 + H2SO4 (l) → C2H5-HSO4
C2H5-HSO4 + H2O → C2H5OH + H2SO4


يمكن تحضير الأغوال الثانوية باستخدام الطريقتين الأخيرتين كما يلي :

تحضير الأغوال الثانوية

طرق صناعية Industrial

  • التخمر : تستخدم هذه الطريقة لتحويل سكر الگلوكوز إلى إيتانول بدرجة حرارة 37°C و وجود خميرة .


C12H22O11 → C6H12O6 + C6H12O6
Invertase → glucose + fructose
C6H12O6 + H2O → C2H5OH + CO2
Glucose → zymase + ethanol
  • إماهة hydration : باستخدام الايتن أو ألكينات اخرى مأخوذة من اجزاء من الزيت المقطر . و باستعمال محفز من حمض الفوسفور تحت ضغط و درجة حرارة عالية .
  • ميتانول من بخار الماء : عملية اصطناع غازية يحدث فيها دمج لجزيء CO مع جزيئين H2 لإنتاج الميتانول باستخدام النحاس كمحفز ، ZnO و Al2O3 كمحفزات عند درجة حرارة 250°C و ضغط 50يساوي -100 ضغط جوي .


[CO + H2] + H2O (g) → CH3OH

التفاعلات

نزع البروتون Deprotonation

يمكن للأغوال أن تسلك سلوك الحموض الضعيفة فتخضع لتفاعل نزع البروتون منتجة ملح الكوكسيد و ذلك إما باستخدام هيدريد صوديوم أو ن-بوتيل الليتيوم أو باستخدام أحد معدنين : الصوديوم أو البوتاسيوم .


2 R-OH + 2 NaH → 2 R-O-Na+ + H2
2 R-OH + 2Na → 2R-ONa+
مثلا 2 CH3CH2-OH + 2 Na → 2 CH3-CH2-ONa+

الماء مشابه للعديد من الأغوال في درجة pKa لهم ، لذلك فإن التوازن الكيميائي في تفاعل الأغوال مع القلويات مثل هيدروكسيد الصوديوم ييل دوما نحو اليسار :

R-OH + NaOH <=> R-O-Na+ + H2O (equilibrium to the left)

تفاعلات التبادل المحبة للنواة

لا تعتبر مجموعة الهيدروكسيل مجموعة مغادرة جيدة في تفاعلات التبادل المحبة للنواة ، لذا فإن الأغوال المعتدلة لا تشارك في هذه التفاعلات . لكن اذا حصلت برتنة للأكسجين الغولي أولا لنحصل على R−OH2+, ، عندئذ يكون لدينا مجموعة مغادرة ممتازة هي جزيئة الماء لكونها أكثر ثباتا ترموديناميا عندما تكون مستقلة و يحدث عندئذ تقاعل التبادل المحب للنواة .

الأغوال الثالثية تتفاعل مباشرة مع حمض كلور الماء لإنتاج هاليدات ألكيل ثالثية ، حيث يتم استبدال زمرة الهيدروكسيل بذرة كلور .

أما الأغوال الثنائية و الأولية فهي بحاجة لمنشط عند تفاعلها مع حمض كلور الماء ، أهم هذه المنشطات التفاعلية هي كلوريد الزنك أو يمكن احداث التحول مباشرة باستخدام كلوريد التيونيل

Alcohol reaction examples.gif

يمكن أيضا تحويل الأغوال إلى بروميدات اللكيل باستخدام حمض بروم الماء أو ثلاثي بروميد الفوسفور .

3 R-OH + PBr3 → 3 RBr + H3PO3

تفاعلات نزع الماء

الأغوال بحد ذاتها محبة للنواة ، لذا فإن R−OH2+ يمكن ان يتفاعل مع ROH لإنتاج ايترات و ماء . التفاعل يخضع بشكل عام لقاعدة زايتسيف ، التي تقول أن الألكين الأكثر ثباتا ( و هو عادة الألكين الأكثر تبادلية ) هو الذي يتشكل . تختلف درجة سهولة هذا التفاعل حسب رتبة الغوال فالأغوال الثالثية تخسر الماء في درجات حرارة أعلى من درجة حرارة الغرفة بقليل ، في حين تحتاج الغوال الولية درجات حرارة أعلى بكثير .

المخطط التالي يبين تفاعل نزع الماء من ايتانول متحولا إلى ايتن :

DehydrationOfAlcoholWithH-.png

الأسترة

R-OH + R'-COOH <=> R'-COOR + H2O

الأكسدة

3 CH3-CH(-OH)-CH3 + K2Cr2O7 + 4 H2SO4 → 3 CH3-C(=O)-CH3 + Cr2(SO4)3 + K2SO4 + 7 H2O


Mechanism of oxidation of primary alcohols to carboxylic acids via aldehydes and aldehyde hydrates


Oxidation of alcohols to aldehydes and ketones


The direct oxidation of primary alcohols to carboxylic acids can be carried out using:

Oxidation of primary alcohols to carboxylic acids

Alcohols possessing two hydroxy groups located on adjacent carbons —that is, 1,2-diols— suffer oxidative breakage at a carbon-carbon bond with some oxidants such as sodium periodate (NaIO4) or lead tetraacetate (Pb(OAc)4), resulting in generation of two carbonyl groups.

Oxidative breakage of carbon-carbon bond in 1,2-diols

السمية

Most significant of the possible long-term effects of ethanol. Additionally, in pregnant women, it causes fetal alcohol syndrome.


التواجد في الطبيعة

وجدت الأغوال خارج النظام الشمسي، ويمكن أن توجد بكثافة منخفضة في النجوم وأنظمة الكواكب مكونة تجمعات في الفضاء.

أنظر

انظر أيضاً

Wikiquote-logo.svg اقرأ اقتباسات ذات علاقة بأغوال (كيمياء عضوية)، في معرفة الاقتباس.
شعار قاموس المعرفة.png

المصادر

  1. العلاج من إدمان الكحول

المراجع

  • Metcalf, Allan A. (1999), The World in So Many Words, Houghton Mifflin, ISBN 0395959209 
الكلمات الدالة: