تحليل الأبعاد
تحليل الأبعاد dimensional analysis هي علاقة رمزية تدل على كيفية ارتباط نسب واحدات جملتي واحدات تكون فيهما المقادير الأساسية من النوع نفسه، وتكون الصيغ التي تعرّف الواحدات المشتقة هي ذاتها في كلتيهما.
تدعى نسبة العددين اللذين يقيسان مقدارين في جملتي واحدات مختلفتين، إنما مبنيتين بصورة متماثلة، بُعد dimension هذا المقدار.
فالضغط p، مثلاً، يساوي نسبة العدد f الذي يقيس القوة إلى العدد a الذي يقيس السطح الذي تُطبّق عليه هذه القوة في جملة واحدات معينة . وفي جملة واحدات أخرى، مبنية بصورة مماثلة، يكون العدد الذي يقيس الضغط p/ هو نسبة العدد الذي يقيس القوة f/ إلى العدد الذي يقيس السطح a/ في هذه الجملة، وتكون العلاقة بين هذه الأعداد الثلاثة:
وتكون العلاقة بين نسبة العددين اللذين يقيسان الضغط بواحدتين مختلفتين (بُعد الضغط)
وبما أن الرموز التي تُكتب في مثل هذه المعادلة تمثل أعدادا فيمكن تطبيق قواعد الحساب الجبري عليها.
يمكن التعبير عن معظم المقادير الفيزيائية بدلالة خمسة أبعاد أساسية هي: الكتلة (M) والطول (L) والزمن (T) وشدة التيار الكهربائي (I) ودرجة الحرارة (θ). وتضاف إلى ذلك الشدة الضوئية في المجال الخاص بواحدات القياسات الضوئية. أما واحدات بعض المقادير الأخرى (كالزاوية المستوية والزاوية المجسمة) فهي مستقلة عن الواحدات الأساسية، وقد اصطُلح على عدم إدخالها في معادلات الأبعاد، ويُقال عن هذه المقادير إنها «بلا أبعاد». ومن المقادير التي لا أبعاد لها التوابع المثلثاتية (الجيب والتجيب والظل لأن كلاً منها هو نسبة طول إلى طول) والتوابع الأُسَّية واللوغاريتمات والمقادير التي تُعدّ عدّاً (مثل عدد الأشخاص في غرفة أو عدد الذرات في حجم معين). والأبعاد ليست هي الواحدات نفسها إذ يمكن، مثلا، قياس السرعة بواحدات المتر في الثانية أو الكيلومتر في الساعة. ولكن بغض النظر عن الواحدات المستخدمة فالسرعة هي دوماً المسافة مقسومة على الزمن، ولذلك فإن أبعاد السرعة هي بُعد الطول مقسوم على بُعد الزمن، أو L / T. وبصورة مماثلة فإن أبعاد المساحة هي L2 لأن المساحة تحسب دوماً بضرب طول في طول. وعلى الرغم من أن مساحة الدائرة تُكتب عادة π r2، حيث r هو نصف القطر، إلا أنه يمكن كتابتها بالشكل r x π r: أي طول × طول. ولبعض المقادير التي «لا أبعاد لها» واحدات تقاس بها، فالزوايا، على سبيل المثال، تقاس بالراديان أو بالدرجات والثواني، لكن الزوايا بلا أبعاد.
وهناك اصطلاح شائع هو أن يُرمز إلى «أبعاد مقدار ما» بكتابة المقدار بين قوسين من الشكل [ ] فُيكتب مثلاً [المساحة] = L2، و[القوة] = MLT2، و[الضغط] = ML1 T2.
ويبين الجدول (1) بعض المقادير الفيزيائية «المشتقة» من المقادير الأساسية وأبعادها، كما يبين التعبير عنها بدلالة واحدات المقادير الأساسية في جملة الواحدات الدولية SI.
المقدار
الأبعاد
اسم الواحدة في الجملة الدولية SI
الواحدة بدلالة الواحدات الأساسية في الجملة الدولية SI
القوة
MLT-2
نيوتن (N)
kg.m.s-2
الطاقة
ML2T2
جول (J)
kg.m2.s-2
الاستطاعة
ML2T -3
واط (W)
J/s = kg.m2.s-3
الشحنة الكهربائية
IT
كولون (C)
A.s
التواتر
T-1
هرتز (Hz)
s-1
حيث يرمز kg إلى الكيلوغرام وm إلى المتر و s إلى الثانية و A إلى الأمبير.
تجانس الصيغ
إن صيغة ما هي علاقة عددية بين الأعداد التي تقيس مختلف المقادير. وينبغي أن تكون هذه العلاقة محفوظة (أي تبقى نفسها) إذا تغيرت الواحدات الأساسية مع الاحتفاظ بعلاقات تعريف الواحدات المشتقة. وهذا يتطلب أن تُضرب الحدود الموجودة في كلا طرفي الصيغة بالنسبة ذاتها، أي أن تكون لها الأبعاد نفسها. فهناك إذن طريقة لرفض نتيجة مسألة فيزيائية، إذ إن هذه الطريقة لا تتيح سوى بيان فيما إذا كانت النتيجة غير صحيحة.
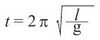
لتكن العلاقة التي تعطي دور النواس البسيط
حيث l طول النواس وg ثابت التسارع الأرضي الذي أبعاده LT-2. بما أن العامل m2π بلا أبعاد فيمكن التأكد بسهولة أن أبعاد كل من طرفي هذه العلاقة هي:
ويُقال عن مثل هذه العلاقة: إنها صحيحة بُعدياً.
ويمكن الاستفادة أحياناً من كون أُسّ التابع الأسي بلا أبعاد من استنتاج أبعاد مقدار معين: ليكن y = ekt حيث t هو الزمن، فلا بد من أن تكون أبعاد k هي مقلوب الزمن لكي يكون الأُسّ kt بلا أبعاد.
وفي المثال الآتي يُطلب تعيين أبعاد المقدار الفيزيائي η الذي يرمز إلى لزوجة السائل والذي يدخل في العلاقة:
حيث F القوة وr نصف القطر وl الطول وv السرعة وR المسافة. تُكتب أولاً العلاقة التي تعطي المقدار المطلوب: ثم تُحوّل إلى معادلة أبعاد:
أو
وهذه تقاس في جملة الواحدات الدولية بـ kg.m-1. s-1
يمكن تطبيق هذه الطريقة بنجاح لتعيين شكل حل مسألة ما، أو حتى لتعيين الحل نفسه بتقريب معامل ثابت وذلك في أبسط الحالات. كمثال على ذلك، ليكن المطلوب إيجاد الدور t لاهتزاز قطرة كروية من سائل تحت تأثير توترها السطحي σ، وليكن معلوماً أن الدور t يتناسب مع القطر d والكثافة ρ والتوتر السطحي σ وفق العلاقة t = kd`ρ`σ`، حيث k ثابت التناسب وx وy وz أعداد ينبغي تعيينها. بما أن أبعاد القطر والكثافة والتوتر السطحي هي على الترتيب L وML-3 وMT-2 فلكي تكون العلاقة متجانسة بُعدياً يلزم أن يكون * وتؤدي المساواة بين قوتي كل من M وT وL في الطرفين إلى أن يكون وهذا يعني أن عبارة الدور المطلوبة هي: ، أما قيمة k فتتعلق بنمط الاهتزاز.
الخصائص الرياضية
مقالة مفصلة: نظرية باكنگهام 2
ميكانيكا
غيرها من مجالات الفيزياء والكيمياء
التناسب
Polynomials and transcendental functions
دمج الوحدات
Position vs displacement
مقالة مفصلة: Affine space
Orientation and frame of reference
استخدامات أخرى
أمثلة
A simple example: period of a harmonic oscillator
A more complex example: energy of a vibrating wire
ملحقات
Huntley's extension: directed dimensions
Siano's extension: orientational analysis
Percentages and derivatives
مفاهيم الأبعاد
الثوابت
مقالة مفصلة: عدد أبعاد
الشكلية
تطبيقات
الرياضيات
المالية والاقتصاد والمحاسبة
معادلات الأبعاد
وحدات SI
Energy E [M][L]2[T]−2 |
Expression | Nomenclature |
---|---|---|
Mechanical | F = force, d = distance | |
S = action, t = time, P = power | ||
m = mass, v = velocity, p = momentum | ||
L = angular momentum, I = moment of inertia, ω = angular velocity | ||
Thermal | p = pressure, T = temperature, S = entropy, kB = boltzmann constant, R = gas constant | |
Waves | I = wave intensity, S = Poynting vector | |
Electromagnetic | q = electric charge, ϕ = electric potential (for changes this is voltage) | |
E = electric field, B = magnetic field, ε= permittivity, μ = permeability, V = 3d volume | ||
p = electric dipole moment, m = magnetic moment, A = area (bounded by a current loop), I = electric current in loop |
Momentum p [M][L][T]−1 |
Expression | Nomenclature |
---|---|---|
Mechanical | m = mass, v = velocity, F = force, t = time | |
S = action, L = angular momentum, r = displacement | ||
Thermal | = root mean square velocity, m = mass (of a molecule) | |
Waves | ρ = mass density, V = 3d volume, v phase velocity, | |
Electromagnetic | A = magnetic vector potential |
Force F
[M][L][T]−2 |
Expression | Nomenclature |
---|---|---|
Mechanical | m = mass, a = acceleration | |
Thermal | S entropy, T = temperature, r = displacement (see entropic force) | |
Waves | ρ = mass density, V = 3d volume, v phase velocity, | |
Electromagnetic | E = electric field, B = magnetic field, v = velocity, q = charge |
الوحدات الطبيعية
مقالة مفصلة: وحدات الطبيعية
Quantity | p,q,r powers of energy | n power of energy | ||
---|---|---|---|---|
p | q | r | n | |
Action S | 1 | 2 | –1 | 0 |
Speed v | 0 | 1 | –1 | 0 |
Mass M | 1 | 0 | 0 | 1 |
Length L | 0 | 1 | 0 | –1 |
Time t | 0 | 0 | 1 | –1 |
Momentum p | 1 | 1 | –1 | 1 |
Energy E | 1 | 2 | –2 | 1 |
انظر أيضاً
الهوامش
المصادر
- Barenblatt, G. I. (1996), Scaling, Self-Similarity, and Intermediate Asymptotics, Cambridge, UK: Cambridge University Press, ISBN 0-521-43522-6
- Barnett (2007), "Dimensions and Economics: Some Problems", Quarterly Journal of Austrian Economics 7 (1), http://mises.org/journals/qjae/pdf/qjae7_1_10.pdf
- Bhaskar, R.; Nigam, Anil (1990), "Qualitative Physics Using Dimensional Analysis", Artificial Intelligence 45: 73–111, doi:
- Bhaskar, R.; Nigam, Anil (1991), "Qualitative Explanations of Red Giant Formation", The Astrophysical Journal 372: 592–6, doi: , Bibcode: 1991ApJ...372..592B
- Boucher; Alves (1960), "Dimensionless Numbers", Chem. Eng. Progress 55: 55–64
- Bridgman, P. W. (1922), Dimensional Analysis, Yale University Press, ISBN 0-548-91029-4
- Buckingham, Edgar (1914), "On Physically Similar Systems: Illustrations of the Use of Dimensional Analysis", Phys. Rev. 4 (4): 345, doi: , Bibcode: 1914PhRv....4..345B
- Gibbings, J.C. (2011), Dimensional Analysis, Springer, ISBN 1-84996-316-9
- Hart, George W. (March 1 1995), Multidimensional Analysis: Algebras and Systems for Science and Engineering, Springer-Verlag, ISBN 0-387-94417-6, http://www.georgehart.com/research/multanal.html
- Huntley, H. E. (1967), Dimensional Analysis, Dover, LOC 67-17978
- Klinkenberg, A. (1955), " ", Chem. Eng. Science 4 (3): 130–140, 167–177, doi:
- Langhaar, H. L. (1951), Dimensional Analysis and Theory of Models, Wiley, ISBN 0-88275-682-6
- Moody, L. F. (1944), "Friction Factors for Pipe Flow", Trans. Am. Soc. Mech. Engrs. 66 (671)
- Murphy, N. F. (1949), "Dimensional Analysis", Bull. V.P.I. 42 (6)
- Perry, J. H.; et al. (1944), "Standard System of Nomenclature for Chemical Engineering Unit Operations", Trans. Am. Inst. Chem. Engrs. 40 (251)
- Pesic, Peter (2005), Sky in a Bottle, Cambridge, Mass: MIT Press, pp. 227–8, ISBN 0-262-16234-2
- Petty, G. W. (2001), "Automated computation and consistency checking of physical dimensions and units in scientific programs", Software — Practice and Experience 31 (11): 1067–76, doi:
- Porter, Alfred W. (1933), The Method of Dimensions, Methuen
- Lord Rayleigh (1915), "The Principle of Similitude", Nature 95 (2368): 66–8, doi: , Bibcode: 1915Natur..95...66R
- Siano, Donald (1985), "Orientational Analysis — A Supplement to Dimensional Analysis — I", J. Franklin Institute 320 (320): 267, doi:
- Siano, Donald (1985), "Orientational Analysis, Tensor Analysis and The Group Properties of the SI Supplementary Units — II", J. Franklin Institute 320 (320): 285, doi:
- Silberberg, I. H.; McKetta J. J. Jr. (1953), "Learning How to Use Dimensional Analysis", Petrol. Refiner 32 (4): 5, (5): 147, (6): 101, (7): 129
- Taylor, M.; Diaz A.I., Jodar-Sanchez L.A., Villanueva-Mico R.F. (2008), "A matrix generalisation of dimensional analysis using new similarity transforms to address the problem of uniqueness", Adv. Studies Theor. Phys. 2 (20): 979–995, http://www.m-hikari.com/astp/astp2008/astp17-20-2008/taylorASTP17-20-2008.pdf
- Van Driest, E. R. (March 1946), "On Dimensional Analysis and the Presentation of Data in Fluid Flow Problems", J. App. Mech 68 (A–34)
- Whitney, H. (1968), "The Mathematics of Physical Quantities, Parts I and II", Am. Math. Mo. (Mathematical Association of America) 75 (2): 115–138, 227–256, doi:
- GA Vignaux (1992), Erickson, Gary J.; Neudorfer, Paul O., ed., Dimensional Analysis in Data Modelling, Kluwer Academic, ISBN 0-7923-2031-X
- Wacław Kasprzak, Bertold Lysik, Marek Rybaczuk (1990), Dimensional Analysis in the Identification of Mathematical Models, World Scientific, ISBN 978-981-02-0304-7
- PF Mendez, F Ordóñez (September 2005), "Scaling Laws From Statistical Data and Dimensional Analysis", Journal of Applied Mechanics 72 (5): 648–657, doi: , Bibcode: 2005JAM....72..648M
- George W. Hart (1994), "The theory of dimensioned matrices", Proceedings of the 5th Society for Industrial and Applied Mathematics Conference on Applied Linear Algebra
- S. Drobo (1954), "On the foundations of dimensional analysis", Studia Mathematica
وصلات خارجية
- List of dimensions for variety of physical quantities
- Unicalc Live web calculator doing units conversion by dimensional analysis
- A C++ implementation of compile-time dimensional analysis in the Boost open-source libraries
- http://www.math.ntnu.no/~hanche/notes/buckingham/buckingham-a4.pdf
- Quantity System calculator for units conversion based on dimensional approach
- Units, quantities, and fundamental constants project dimensional analysis maps
- An exploration of physics by dimensional analysis