تزامر هندسي
فى الكيمياء التزامر الهندسي هو نوع من أنواع التزامر الفراغي ويصف إتجاه المجموعات الفعالة الموجودة في نهايات الروابط الكيميائية التى يمكن أن تدور.ومثل هذه الروابط غالبا ما تكون روابط ثنائية، ولكن يمكن أن تكون أيضا ضمن بناء حلقي يمنع عمليات الدوران.
وطبقا لتعريفات IUPAC فإن المصطلح "تزامر هندسي" هو المرادف " للتزامر سيس-ترانس" الذى يفضل إستخدامه. وأحيانا المصطلح "تزامر هندسي" يستخدم كمرادف للتزامر الفراغي، أى التزامر الضوئي والذى يعتبر كتزامر هندسي. وهذا لا يتوافق مع النظام القياسي لتسمية المركبات الكيميائية. والمصطلح الدقيق للمتزامرات الفراغية التى ليست متزامرات ضوئية هى دياستريومر.
وهناك شكلان للتزامر الهندسي، سيس ، ترانس. الشكل الذى يكون فيه المجموعات المستبدلة في نفس الإتجاه من الرابطة ولا يسمح فيه بعملية دوران يسمى سيس، والشكل الذى تكون المجموعات المستبدلة فيه في ناحيتين متعاكستين من الرابطة يسمى ترانس.
المتزامرات السيس والمتزلمرات الترانس لمادة يكون لهما خواص فيزيائية مختلفة. وبصفة عامة يكون للمتزامرات "ترانس" نقطة غليان أعلى، وكثافة أقل. وهذا لأن المتزامرات "ترانس" يمكن أن يحدث لهم تراص بصورة أفضل من المتزامرات "سيس".
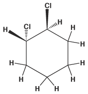
مثال للتزامر الهندسي نتيجة للبناء الحلقي، 2،1-دايسيكلو هكسان:
وتوجد ملحوظة اخرى تتعلق بالشكلين "سيس" و"ترانس" ، وهى زد (Z) من الكلمة الألمانية " Zusammen" والتى تعنى "معا" وبالتالى فإنها يمكن أن تحل محل "سيس". كما أن إي (E) من الكلمة الألمانية " Entgegen" والتى تعنى "معاكس" ويمكن أن تستبدل "ترانس". ويمكن عمل تفريق في الألكينات بين كل من زد ألكين ، إي ألكين، بملاحظة (زد)-1-برومو-2،1-دايكلورو إيثان والذى يختلف عن المتزامر "إي". ويتم إستخدام هذا النظام للتفريق عندما يوجد أكثر من مجموعتي مستبدلات عند الرابطة المزدوجة. وإذا ما كان التكوين العام للجزيء في الشكل "زد" أو "إي" فيتم تحديد ذلك طبقا لقاعدة أولويات كان إنجولد بريلوج للمستبدلات. وفى هذه القاعدة يتم ملاحظة كل ذرة من الذرتين الموجدتين في الرابطة المزدوجة، ويتم تحديد أى منهما له الأولوية. ولو أن كلا المستبدلين لهما أولوية عالية وفى نفس الإتجله فيكون الشكل "زد"، ولو كانا في ناحيتين متعاكستين يكون الشكل "إي".
وصلات خارجية
- The IUPAC "تعريف التزامر الفراغي"
- "تعريف IUPAC للتزامر الهندسي"
- The IUPAC تعريف "المتزامرات سيس-ترانس"
المصادر
- ويكيبيديا الإنجليزية.