جهاز فيزو-فوكو

شكل 1: مخطط لجهاز فوكو. اللوحة اليسرى: انعكاس الضوء بواسطة مرآة دوارة (يسار) على مرآة ثابتة (أعلى). اللوحة اليمنى: The reflected light from the stationary mirror bounces from the rotating mirror that has advanced an angle θ during the transit of the light. The telescope at an angle 2θ from the source picks up the reflected beam from the rotating mirror.
شكل 2: مخطط لجهاز فيزو. The light passes on one side of a tooth on the way out, and the other side on the way back, assuming the cog rotates one tooth during transit of the light.

جهاز فيزو-فوكو Fizeau–Foucault apparatus، (1850) (شكل 1) صممه الفيزيائي الفرنسي هيپوليت فيزو وليون فوكو لقياس سرعة الضوء.[1]

شكل 3: Fizeau interferometer for measuring the effect of water movement upon the speed of light. Light reflected from the tilted beam splitter is made parallel using a lens and split by slits into two beams, which traverse a tube carrying water moving with velocity v. Each beam travels a different leg of the tube, is reflected at the mirror at left, and returns through the opposite leg of the tube. Thus, both beams travel the same path, but one in the direction of flow of the water, and the other opposing the flow. The two beams are recombined at the detector, forming an interference pattern that depends upon any difference in time traveling the two paths.[2]
شكل 4: Schematic of the Fizeau–Foucault apparatus and the improvement by Michelson. The original setup used a less brilliant light source, so that a clear scale had to be used so that one could stare into the beam.


لما طرح أراگو إجراء تجربة تتعلق بقياس سرعة الضوء في أوساط شفافة مختلفة بهدف البت في طبيعة الضوء، وبيان إذا ما كانت هذه الطبيعة موجية أو جسيمية، تصدّى كل من فيزو وفوكو لهذه المسألة، وبدأ بينهما سباق، وكان أن فاز فيزو بهذا السباق، إذ تمكّّن عام 1849 من قياس سرعة الضوء في الهواء وذلك باستخدامه دولاباً مسنناً (T) وترتيباً تجريبياً.

جهاز فيزو لقياس سرعة الضوء في الهواء.

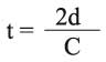
واختار لإجراء تجربته مسافة تساوي 8 كيلومتر بين المنبع الضوئي (S) والمرآة العاكسة (M). تقوم تجربة فيزو على مراقبة الضوء المنعكس على اللوح الزجاجي G والذي تمكَّن من المرور من فتحات الدولاب المسنَّن وانعكس على المرآة النائية M، فإذا دار الدولاب المسنن بسرعة متزايدة أمكن الحصول على وضع لا يرى فيه الراصد (E) ضوء المنبع البتة. ويحدث هذا إذا عاد الضوء الذي مر من فتحة من فتحات الدولاب المسنن (T) بعد انعكاسه عن المرآة النائية (M) فوجد في طريقه نتوءاً من نتوءات الدولاب المسنن، وعندها لا يصل إلى عين الراصد أي ضوء. [3] فبافتراض C سرعة الضوء وd المسافة بين الدولاب المسنن والمرآة يكون هذا الزمن معطى بالعلاقة:

تجربة فيزو1.jpg

وإذا كان n عدد أسنان الدولاب وN عدد دوراته في الثانية الذي حقق انعدام الرؤية عند الراصد؛ فإن الزمن t اللازم عندها كي يحل نتوء تالٍ مباشرة محل فتحة في الدولاب المسنن يُعطى بالعلاقة:

ومنه يكون:

C = 4dNn

وقد عبّر فيزو عن نتيجته تجريبياً بالشكل:

C = 315 300 = ± 500 km/s

وهي بالتأكيد تمثل سرعة الضوء في الهواء.

لقد أجريت تجارب لاحقة لقياس سرعة الضوء في الهواء، قادت إلى نتائج أكثر دقة باستخدام طرائق التداخل، إذ وُجِدَ عام 1973 أن:

C = 299 792 500 ±100 m/s

في عام 1851 أجرى فيزو قياساً على سرعة الضوء في أوساط متحركة، وحاز عام 1858 جائزةً خصِّصت لهذه الغاية. يُشار إلى أن كريستيان دوپلر Christian Doppler علَّل عام 1842 ظاهرة دوبلر المعروفة في الصوت والتي ينشأ منها اختلاف في تواتر الصوت الذي يسمعه راصد من منبع صوتي عندما يكون الراصد أو المنبع أو كلاهما متحركين. وفي عام 1848 قدم فيزو تفسيراً لانزياح طول موجة الضوء الصادر عن نجم، وبيَّن إمكانية استخدام ذلك لقياس السرعات النسبية للنجوم الواقعة على امتداد خط النظر ذاته، وقد عُرفت هذه الظاهرة بظاهرة دوبلر - فيزو، وهي مستخدمة على نطاق واسع في الفلك وتسمح بالكشف عن ما يُعرف باسم توسُّع الكون. كما أوصى فيزو في ضوء تجارب التداخل التي تمت عام 1864 باستخدام ضوء لهب الصوديوم كضوء مرجعي لقياس القطر الظاهري للنجوم والكواكب، إلا أن أعمال فيزو وبحوثه لم تقتصر على الضوء، فقد بيّن عام 1850 أن انتشار الكهرباء لا يتم آنيّاً. وهو أول من ضمَّ عام 1853 مكثِّفة إلى دارة تحتوي على ملفّ أو وشيعة تحريض، إضافة إلى أعماله في تمدُّد البلورات.


مقياس تداخل فيزو


قياس سرعة الضوء على جسم متحرك





المصادر

  1. ^ Ralph Baierlein (2001). Newton to Einstein: the trail of light : an excursion to the wave-particle duality and the special theory of relativity. Cambridge University Press. p. 44; Figure 2.6 and discussion. ISBN 0-521-42323-6.
  2. ^ خطأ استشهاد: وسم <ref> غير صحيح؛ لا نص تم توفيره للمراجع المسماة Wood
  3. ^ أحمد حصري. "فيزو (أرماند هيبوليت لويس -)". الموسوعة العربية. Retrieved 2012-03-28.

وصلات خارجية

الكلمات الدالة: