فوبس لڤين

فوبس لڤين
Phoebus Levene
Phoebus Levene.jpg
فوبس لڤين
وُلِدَ25 فبراير 1869 (العمر 156 سنة)
القوميةأمريكي, روسي
عـُرِف بـتركيب الدنا, ريبوز, ديوكسيريبور
السيرة العلمية
المجالاتكيمياء حيوية
الهيئاتمعهد روكفلر للأبحاث الطبية
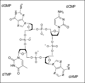
مخطط جزيئي لنيوكليوتيد رباعي افتراضي، كما اقترحه (وكان مخطئاً) فوبس لڤين، حوالي 1910.
فوبس لڤين
البنية الجزيئية للأحماض النووية
Phoebus Levene1.jpg
James فوبس لڤين 1900.
وليام أستبري اوزوالد أڤري
فرانسيس كريك إروين تشارگاف
جري دنهيو روزالند فرانكلن
فوبس لڤين لاينس پولنگ
إرڤين شرودنگر ألكس ستوكس
جيمس واطسون موريس ولكنز
ماكس دلبروك ريموند گوسلنگ
سير جون راندل هربرت ولسون

فوبس لڤين (25 فبراير, 1869 - 6 سبتمبر 1940) هو كيميائي حيوي روسي أمريكي والذي درس بنية ووظيفة الأحماض النووية. وقد وضح لڤين الفرق في الشكل بين الحامض النووي, الدنا و الرنا, واكتشف مكونات الدنا المتمثلة في الأسس الآزوتية البورينية مثل أدينين, گوانين, والأسس الآزوتية البيريميدينية ثايمين, سيتوزين, وجزء السكر الخماسي منزوع الأوكسجين ديوكسيريبوز ومجموعة الفوسفات.

النشأة

ولد فوس لڤين لعائلة يهودية في ساجر، لتوانيا، روسيا لكنه نشأ في سانت پطرسبرگ (پتروگراد). حيث درس هناك الطب في الأكاديمية الطبية العسكرية الملكية وزاد إهتمامه بالكيمياء الحيوية. في عام 1893, وبسبب الاضطرابات المعادية للسامية، هاجر هو وعائلته للولايات المتحدة الأمريكية ودرس الطب في نيويورك.

الحياة العملية

سجل لڤين في جامعة كلومبيا و كان يقضي وقت فراغه في عمل الأبحاث على الكيمياء الحيوية, ونشر أوراق عن البناء الكيميائي للسكريات. في عام 1896 تم تعيينه في كمنتسب في معهد الباثولجي التابع لمستشفيات ولاية نيويورك, ولكنه أخذ فترة للنقاهة من مرض السل, خلال تلك الفترةو عمل مع كيميائيين عديدين, من ضمنهم Albrecht Kossel و اميل فيشر, وهم خبراء في البروتينات.

في عام 1905, تم تعيينه كرئيس لمعمل الكيمياء الحيوية في معهد روكفلر للأبحاث الطبية, وقضى باقي حياته المهنية في هذا المعهد, وهناك حيث قام بتعريف مكونات الدنا. (وإكتشف هناك أيضا الريبوز والديوكسيريبوز عام 1929). ولڤين لم يقوم فقط بتعريف مكونات الدنا, ولكنه أيضا في عام 1909 بين أنه المكونات التي ترتبط ببعضها في قاعدة سكر-فوسفات تكون وحدات. وقد سمى كل واحدة من تلك الوحدات بإسم نوكليوتيد, وذكر أن جزئ الدنا يتكون من وحدات من النوكليوتيدات مرتبطة ببعضها عن طريق مجموعات الفوسفات, والتي تكون بمثابة العمود الفقري للجزئ. كانت فكرته عن الدنا فكرة خاطئة, حيث اعتقد أنه يوجد فقط في كل جزئ أربع نوكليوتيدات. حتى أنه أعلن أنه لا يمكن لجزئ الدنا تخزين الشفرة الوراثية لأنه بسيط جدا من حيث التركيب الكيميائي, ومع ذلك, فإن عمله يعتبر مفتاح لما تم بعد ذلك لإكتشاف بنية الدنا. قام لڤين بنشر أكثر من 700 ورقة بحثية و مقال حول بُنَى الكيمياء الحيوية. تُوفي لڤين عام 1940, قبل أن تتضح الفكرة الحقيقية للدنا.

ملاحظات

المصادر

  • "Phoebus Aaron Theodor Levene, 1869-1940" by R. S. Tipson (1957) in Advances in Carbohydrate Chemistry Volume 12, pages 1-12. Entrez Pubmed 13617111.

وصلات خارجية