فوتون
| تركيب | جسيم أولي |
|---|---|
| الأسرة | بوزون |
| المجموعة | Gauge boson |
| التفاعل | كهرومغناطيسي |
| التنظير | ألبرت أينشتاين (1905–1917) |
| الرمز | or |
| الكتلة | 0[1] |
| متوسط العمر | مستقر[2] |
| الكتلة الكهربائية | 0 |
| سپين | 1[1] |
الفوتون (Photon) هو جسيم أولي متناهي الصغر (بالتحديد بوزون)، وهو المسئول عن الظاهرة الكهرومغناطيسية. وهو حامل الاشعاع الكهرومغناطيسي لكل أطوال الموجات، بما فيها آشعة گاما، الآشعة السينية، الضوء فوق البنفسجي، والضوء المنظور، الضوء تحت الأحمر، ميكرويف وموجات الراديو. ويختلف الفوتون عن الكثير من الجسيمات الأولية الأخرى، مثل الإلكترون والكوارك، في أن كتلة استقراره معدومة؛[3] ولذلك, فإنه يتحرك (في الفراغ) بسرعة الضوء, c. ومثل جميع quanta, الفوتون له في آن واحد كل من خواص موجية وخواص جسيمية (“ازدواجية الموجة–الجسيم”). والفوتونات يـُظهروا ظواهر شبيهة بالموجات, مثل الإنكسار خلال العدسات والتداخل (التشويش) المدمر عندما تلغي الموجات المنعكسة بعضها البعض; إلا أنه كجسيم, بإمكانه فقط أن يتفاعل مع المادة عبر نقل كم من الطاقة.
حيث هي ثابت پلانك, هي سرعة الضوء, and هي طول موجته. وهذا يختلف عن موجة تقليدية, قد تربح أو تخسر كميات اعتباطية من الطاقة. فللضوء المنظور الطاقة التي يحملها فوتون واحد هي حوالي 4×10–19 جول; هذه الطاقة هي كافية بالكاد لاستثارة جزيء مفرد في photoreceptor cell في العين, وبذلك يساهم في البصر.[4]
وهو أصغر قَدْر من الطاقة يمكن تبادله بين موجة كهرمغنطيسية وبين المادة. فالطاقة المتبادلة W في تجربة ما بين موجة كهرمغنطيسسية والمادة تساوي دوماً عدداً صحيحاً من الفوتونات. تعتمد طاقة كل منها على تواتر الموجة الكهرمغنطيسية ν وتتناسب معها طرداً. إن ثابت التناسب هو ثابت بلانك Planck، ورمزه h، وقيمته العددية هي h=6.6×10-34 J.s. وعليه يكون: W = hν. ويعطي الجدول (1) طاقات الفوتونات مقدرة بالإلكترون فولط eV من أمواج كهرمغنطيسية متنوعة.

كما يظهر في الشكل (1) طيف الأمواج الكهرمغنطيسية الكامل وأين نجدها بشكل رمزي.
الطاقة
W = hv
طول الموجة
l = c/v
التواتر
v
نوع الموجة
n4x10-7 eV
n3m
n108 Hzn
موجة إذاعية
n4x10-5 eV
n3cm
n1010 Hzn
موجة رادار
n0.4 eV
n3 mn
n1014 Hz
أشعة تحت حمراء
n2 eV
n6.6m
n5x1014 Hz
ضوء مرئي
n4 eV
n3000 A°
n1015 Hz
أشعة فوق بنفسجية
n4000 eV
n3 A°
n1018 Hz
أشعة سينية
n4x106 eV
n0.003 A°
n1021 Hz
أشعة غاما
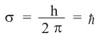
يمكن كذلك النظر إلى الفوتونات على أنها جسيمات حقيقية «أي حبيبات ضوئية» تمتلك طاقة hν واندفاعاً واندفاعاً زاوياً. وفي الحقيقة فإن النظريات التقليدية تعزو إلى قطار أمـواج يحمل طاقـة W اندفاعاً p يعطي بالعلاقـة: p = W/c. وإذا كـانت الموجـة مستقطبة استقطاباً دائرياً فإنه يُعزى لها عندئذ عزم اندفاع زاوي σ = W/ω (حيث ترمز c إلى سرعة الضوء في الخلاء، وω = 2 πν إلى السرعة الزاوية للحقل الدوّار أو نبضه الزاوي). وإذا استخدمت هذه العلاقة مع علاقة الطاقة W = hν يكون الاندفاع مساوياً:

ويكون الاندفاع الزاوي للفوتون

الخواص الطبيعية

في الفضاء الفارغ, يتحرك الفوتون بسرعة (سرعة الضوء) وطاقته وكم الحركة p تربطهم المعادلة , حيث هي مقدار الزخم. فللمقارنة, المعادلة المناظرة لجسيمات ذات كتلة هي , كما توضح النسبية الخاصة.
كل من طاقة وزخم فوتون يعتكدان فقط على تردده أو, بشكل مماثل, طول موجته
and consequently the magnitude of the momentum is
حيث (known as ثابت ديراك أو ثابت پلانك المخفـَّض); k هو متجه موجي (with the wave number as its magnitude) and is the angular frequency. Notice that k points in the direction of the photon's propagation. The photon also carries spin angular momentum that does not depend on its frequency. The magnitude of its spin is and the component measured along its direction of motion, its helicity, must be . These two possible helicities correspond to the two possible circular polarization states of the photon (right-handed and left-handed).
التطور التاريخي
مقالة مفصلة: ضوء

نشأت الفكرة القائلة بأن الضوء والطاقة بأنواعها المختلفة الأخرى يأتيان على شكل جسيمات، عام 1900م. ففي ذلك العام وصف الفيزيائي الألماني ماكس بلانك الضوء وغيره من أشكال الطاقة الإشعاعية بأنها تيارات من جسيمات تسمى كمات. وكل كم من الطاقة "حزمة" لايمكن تقسيمها، حيث لاتستطيع أن تحصل على نصف كم من الطاقة. لكن كمية الطاقة في كم يمكن أن تختلف، والفوتون كم من الطاقة الكهرومغنطيسية. وفي التأثير الكهروضوئي، ترتفع الطاقة التي يعطيها الفوتون إلى الإلكترون عندما يقذفه خارج الذرة، كلما ارتفعت طاقة الفوتون.
وفي عام 1902م لاحظ الفيزيائي الألماني فيليب فون لينارد أن كمية الطاقة المعطاة لإلكترون اعتمدت فقط على لون الضوء الذي سطع على القطب الكهربائي. وفي عام 1905م، استنبط العالم الألماني المولد، ألبرت أينشتاين أن طاقة الفوتون تعتمد على طولها الموجي أو ترددها. ففوتون الضوء البنفسجي له طاقة أعلى من فوتون الضوء الأحمر لأن الضوء البنفسجي له تردد أعلى (أو طول موجي أقصر) مما للضوء الأحمر.
وتأثير كمبتون الذي اكتشفه الفيزيائي الأمريكي أَرثر كمبتون عام 1922م أفضل دليل على أن الفوتونات هي في الواقع جسيمات. فعندما تصطدم فوتونات الأشعة السينية مع الإلكترونات، ينحرف كلا الجسيمين من ممرهما المبدئي. ويعطي فوتون الأشعة السينية بعض طاقته للإلكترون. ونتيجة لذلك يسقط فوتون الأشعة السينية إلى تردد أقل (أو لطول موجي أطول).
يعود الفضل إلى العالم الفرنسي لوي دوبروي Louis de Brolie في طرح القانون الأول الخاص بالاندفاع الذي شكَّل أساس الميكانيك الموجي mécanique ondulatoire، أما القانون الثاني والخاص بالاندفاع الزاوي فيحدِّد الواحدة الأساسية الطبيعية للاندفاع الزاوي في ميكانيك الكم.
لقد نشأت الحاجة إلى مفهوم الفوتون تاريخياً من دراسة الإشعاع الحراري لجسم يتم تسخينه حتى درجة الاحمرار. فمن الملاحظ أن لون سلك يمرر فيه تيار كهربائي يتغير من اللون الأحمر القاتم إلى البني فالبرتقالي.. ثم يغدو بلون أبيض بارتفاع درجة حرارة السلك، ويستفاد من خاصة تغير لون السلك هذه بتغير درجة الحرارة لقياس درجات حرارة الأفران الصناعية.
إن دارسة هذا الأمر دراسة مستفيضة قادت إلى التمييز بين تواترات الأمواج ν التي يتشكل منها الإشعاع الصادر عن المنبع الحار. ولما فُصِلت الأمواج باستخدام مرشِّحات مناسبة أو باستخدام مطياف، وقيست استطاعة الإشعاعات الصادرة (P) عن المنبع الحار بين (ν) و(ν+Δν) وجد أن هذه الاستطاعة متناسبة مع (Δν) أي أن:
Pν. Δν @ بين ν وP= (ν +Δν)
تسمى Pν الاستطاعة التفاضلية أو الاستطاعة الطيفية. ويمثل تغير هذه الاستطاعة بدلالة (ν) تقاسم الطاقة الإشعاعية على امتداد طيف الإشعاع بأكمله. وبمكاملة هذا التابع على جميع قيم (ν) يمكن الحصول على الاستطاعة الإشعاعية الكلية Ptotale الصادرة عن الجسم الحار ويكون:

كما وجد أن كثافة الطاقة الكلية (Utotale) ترتبط بكثافة الطاقة الطيفية (uν) بعلاقة مماثلة أي:


يبين تغير uν بدلالة ν العائدة لعدة أفران حرارية درجات حرارتها الداخلية t مختلفة. ولتفسير هذا المنحني نظرياً وجد ماكـس بلانك Max Planck أنه لابد من افتراض أن تبادل الطاقة بين الإشعاع والمادة لا يتم بشكل مستمر، وإنما بشكل كمَّات أو فوتونات. وسمحت له فرضية الفوتون عام 1900 باكتشاف المعادلة التالية الممثلة لكثافة الإشعاع (uν) والتي تُعرف باسمه:

(حيث يرمز k إلى ثابت بولتزمان Boltamann المعروف في الترموديناميك وT إلى درجة حرارة الفرن المطلقة). لقد سمح التحقق من هذا القانون في العام التالي باستنتاج قيمة (h)، كما تم التحقق منه بعشرات التجارب المستقلة.
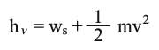
لقد استخدم آينشتاين مفهوم الفوتون عام 1905 لتفسير المفعول الكهرضوئي l’effet photo-electrique، الذي يحدث لدى تسليط شعاع ضوئي على سطح معدن. فقد توصل إلى أن طاقة الفوتون تنتقل إلى إلكترون وحيد فتزوِّده بطاقة (Ws) كافية لانتزاعه من سطح المعدن إضافة إلى أنها تكسبه طاقة حركية
أي أن:

وتسمح هذه العلاقة باستنتاج سرعة مغادرة الإلكترون لسطح المادة، كما تسمح بإيجاد تواتر العتبة νs التي لو انخفض تواتر حزمة الضوء الوارد دونها انعدم حدوث المفعول الكهرضوئي مهما بلغت شدة ذلك المنبع أي أن شرط حدوثه هو أن يكون:
ν > νs= Ws/h
وقد أجرى مليكان R.A.Milikan تجارب عديدة تحقق بها من صحة هذا القانون.
تسمح الفوتونات كذلك بتفسير ظهور الخطوط الطيفية في طيف أنابيب انفراغ الغازات وفي القوس الكهربائي. وقد قدم بور Bohr قانوناً لذلك أعلن عنه عام 1913 يُعدُّ أساساً للبنية الكمومية للذرة. وهي البنية التي تقضي بأن تكون للذرة حالات طاقية محدَّدة w1, w2, w3,. فعندما تعاني الذرة من تحوِّل من حالة طاقية (w1) إلى حالة طاقية (w2) فإن العملية يرافقها امتصاص أو إصدار لفوتون تواتره (ν) يعطى بالعلاقة:

ويبين الشكل (3) ذلك برسم رمزي يوضِّح ظروف امتصاص الفوتون absorption وإصداره emission.

كما قدّمت تجارب انتثار الأشعة السينية على المواد دليلاً إضافياً على وجود الفوتونات، وهو ما عرف باسم مفعول كومتون effet Compton، الذي قام بدراسته كومتون A.H.Compton عام 1923. فقد بيَّن كومتون أن فوتونات الأشعة السينية التي تصطدم تصادماً مرناً مع الإلكترونات الحرة في المادة تعاني من تغير في طول موجتها مقداره (Δν). ولتفسيره ما يحدث استخدم العلاقة p = h/λ واستنتج أن هذا التغير يعطى بالعلاقة:

(حيث ترمز m إلى كتلة الإلكترون، وθ إلى الزاوية بين اتجاه الفوتون الوارد على المادة والفوتون المنتثر عنها)،.

لقد بيَّنت التجارب المشار إليها أعلاه الخصائص الجسيمية للأمواج الكهرمغنطيسية إلا أنها لا تلغي خصائصها الموجية التي توضِّحها تجارب التداخل والانعراج للفوتونات. إن تفسير ما يحدث، والذي يعتمد الوصف المحتمل للظاهرة المدروسة، والذي هو القاعدة المعتمدة في الفيزياء الكمومية، يوفِّق بين الوصفين ويعدّهما وصفين متتامين للأمواج الكهرمغنطيسية. بمعنى أن الأمواج الكهرمغنطيسية تصف انتشار الفوتون، وتمثل مربعات سعاتها المواضع التي يحتمل وجود الفوتونات فيها.[5]
الاعتراضات المبكرة

ازدواجية الموجة-الجسيم ومبادئ uncertainty

Second quantization
مقالة مفصلة: Quantum field theory


انظر أيضاً
|
|
المصادر والهوامش
- ^ أ ب B.H. Bransden and C.J. Joachain. Quantum Mechanics (2e ed.). p. 545. ISBN 0-582-35691-1.
- ^ Official particle table for gauge and Higgs bosons Retrieved October 24, 2006
- ^ خطأ استشهاد: وسم
<ref>غير صحيح؛ لا نص تم توفيره للمراجع المسماةrel_mass - ^ Vimal, R. L. P., Pokorny, J., Smith, V. C., & Shevell, S. K. (1989). Foveal cone thresholds. Vision Res, 29(1), 61-78.http://www.geocities.com/vri98/Vimal-foveal-cone-ratio-VR-1989
- ^ أحمد حصري. "الفوتون". الموسوعة العربية.
مصادر اضافية
- Clauser, JF. (1974). "Experimental distinction between the quantum and classical field-theoretic predictions for the photoelectric effect". Phys. Rev. D. 9: 853–860.
- Kimble, HJ (1977). "Photon Anti-bunching in Resonance Fluorescence". Phys. Rev. Lett. 39: 691–695.
{{cite journal}}: Unknown parameter|coauthors=ignored (|author=suggested) (help) article web link - Grangier, P (1986). "Experimental Evidence for a Photon Anticorrelation Effect on a Beam Splitter: A New Light on Single-Photon Interferences". Europhysics Letters. 1: 501–504.
{{cite journal}}: Unknown parameter|coauthors=ignored (|author=suggested) (help) - Thorn, JJ (2004). "Observing the quantum behavior of light in an undergraduate laboratory". American Journal of Physics. 72: 1210–1219.
{{cite journal}}: Unknown parameter|coauthors=ignored (|author=suggested) (help) http://people.whitman.edu/~beckmk/QM/grangier/grangier.html - Pais, A. (1982). Subtle is the Lord: The Science and the Life of Albert Einstein. Oxford University Press. An excellent history of the photon's early development.
- "Roy Glauber's Nobel Lecture, "100 Years of Light Quanta"". Delivered 8 December 2005. Another history of the photon, summarized by a key physicist who developed the concepts of coherent states of photons.
- Lamb, WE (1995). "Anti-photon". Applied Physics B. 60: 77–84. Feisty, fun and sometimes snarky history of the photon, with a strong argument for allowing only its second-quantized definition, by Willis Lamb, the 1955 Nobel laureate in Physics.
- Special supplemental issue of Optics and Photonics News (vol. 14, October 2003)
- Roychoudhuri, C. "The nature of light: what is a photon?". Optics and Photonics News. 14: S1 (Supplement).
{{cite journal}}: Unknown parameter|coauthors=ignored (|author=suggested) (help) - Zajonc, A. "Light reconsidered". Optics and Photonics News. 14: S2–S5 (Supplement).
- Loudon, R. "What is a photon?". Optics and Photonics News. 14: S6–S11 (Supplement).
- Finkelstein, D. "What is a photon?". Optics and Photonics News. 14: S12–S17 (Supplement).
- Muthukrishnan, A. "The concept of the photon—revisited". Optics and Photonics News. 14: S18–S27 (Supplement).
{{cite journal}}: Unknown parameter|coauthors=ignored (|author=suggested) (help) - Mack, H. "A photon viewed from Wigner phase space". Optics and Photonics News. 14: S28–S35 (Supplement).
{{cite journal}}: Unknown parameter|coauthors=ignored (|author=suggested) (help)
- Roychoudhuri, C. "The nature of light: what is a photon?". Optics and Photonics News. 14: S1 (Supplement).