فوشين
| المُعرِّفات | |
|---|---|
| رقم CAS | |
| ECHA InfoCard | 100.010.173 |
| رقم RTECS |
|
CompTox Dashboard (EPA)
|
|
| الخصائص | |
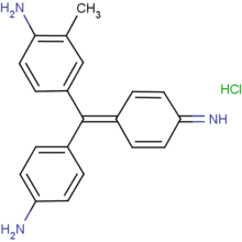
| الصيغة الجزيئية | C20H20N3·HCl |
| كتلة مولية | 337.86 g/mol (hydrochloride) |
| نقطة الانصهار | |
| قابلية الذوبان في الماء | 2650 mg/L (25°س) |
| log P | 2.920 |
| ضغط البخار | 7.49E-10 mm Hg (25°س) |
| kH | 2.28E-15 atm-m3/mole (25°س) |
| ثابت معدل OH الجوي | 4.75E-10 cm3/molecule-sec (25°س) |
| المخاطر | |
| خطر رئيسي | البلع والاستنشاق وملامسة الجلد أو العين، قابل للاحتراق عند درجات الحرارة العالية، وهو متفجر بدرجة قليلة حول الشعلات المفتوحة والشرارات. |
| NFPA 704 (معيـَّن النار) | |
ما لم يُذكر غير ذلك، البيانات المعطاة للمواد في حالاتهم العيارية (عند 25 °س [77 °ف]، 100 kPa). | |
| مراجع الجدول | |
فوشين Fuchsine أو هيدروكلوريد الروزانيلين rosaniline hydrochloride هو صبغ أرجواني وصيغته الكيميائية C20H19N3·HCl.[1][2] وهناك العديد من الصيغ الكيميائية المشابهة لمنتجات تباع مثل الفوشين، وعشرات المرادفات الأخرى لهذا الجزيء.[1]
ويصبح لونه أرجوانياً عندما يذاب في الماء؛ وكمادة صلبة، فإنه يشكل بلورات خضراء. As well as dying textiles, ويستعمل الفوشين أيضاً لصبغ الجراثيم وأحياناً كمطهر. In the literature of biological stains the name of this dye is frequently mis-spelled, with omission of the terminal e, which indicates an amine[3] القاموسان الأمريكي والإنجليزي (Webster's, Oxford, Chambers etc) يعطيا التهجي الصحيح، وهو أيضاً ما يستعمل في كتابات الصبغ الصناعي [4].
تاريخ
الفوشين، الذي أخذ اسمه من منتجه الأصلي الأخوة رنار وفرانك،[5] عادة ما يـُذكر مع أصل أو أصلين للكلمة: from the color of the flowers of the plant genus Fuchsia,[6] named in honor of botanist Leonhart Fuchs, or as the German translation Fuchs of the French name Renard, which means fox.[7] An 1861 article in Répertoire de Pharmacie said that the name was chosen for both reasons.[8]
الفوشين القاعدي
Basic fuchsine is a mixture of rosaniline, pararosaniline, new fuchsine and Magenta II [9]. Formulations usable for making of Schiff reagent must have high content of pararosanilin. The actual composition of basic fuchsine tends to somewhat vary by vendor and batch, making the batches differently suitable for different purposes.
In solution with phenol as an accentuator it is called carbol fuchsin and is used for the staining of the bacterium which causes tuberculosis.[10]
انظر أيضاً
- فوشين الجديد وحمض الفوشين هم صبغات ذات صلة
- الفوشين مكون في اختبار شيف
- كثيراً ما يستعمل الفوشين حالياً في عملية سبغة گرام في علم الأحياء الدقيقة.
الهامش
- ^ أ ب "Basic chemical data". Discovery Series online database, Developmental Therapeutics Program, U.S. National Institutes of Health. Retrieved on 2007-10-08.
- ^ Goyal, S.K. "Use of rosaniline hydrochloride dye for atmospheric SO2 determination and method sensitivity analysis". Journal of Environmental Monitoring, 3, 666-670, DOI: 10.1039/b106209n. Retrieved on 2007-10-08.
- ^ Baker JR (1958) Principles of Biological Microtechnique. London: Methuen.
- ^ Hunger K (2003) Industrial Dyes. Chemistry, Properties, Applications. Weinheim: wiley-VHC.
- ^ Béchamp, M. A. (January-June 1860.) "Comptes rendus hebdomadaires des séances de l'Académie des sciences. 1860. (T. 50)." أكاديمية العلوم الفرنسية, Mallet-Bachelier: Paris, tome 50, page 861. Retrieved on 2007-09-25.
- ^ (2004.) "Fuchsin" The American Heritage Dictionary of the English Language, Fourth Edition, Houghton Mifflin Company, via dictionary.com. Retrieved on 2007-09-20
- ^ "Fuchsine." (Website.) ARTFL Project: 1913 Webster's Revised Unabridged Dictionary. Retrieved on 2007-09-25
- ^ Chevreul, M. E. (July 1860). "Note sur les étoffes de soie teintes avec la fuchsine, et réflexions sur le commerce des étoffes de couleur." Répertoire de Pharmacie, tome XVII, p. 62. Retrieved on 2007-09-25.
- ^ Horobin RW & Kiernan JA 20002. Conn's Biological Stains, 10th ed. Oxford: BIOS, p.184-191
- ^ Clark G 1973 Staining Procedures Used by the Biological Stain Commission, 3rd ed. Baltimore: Williams & Wilkins, pp. 252-254
