قوس قزح

قوس قزح rainbow هو قوس ملوَّن يتشكل في السماء نتيجة انعكاس ضوء الشمس وانكساره على قطرات المطر أو الضباب، ويطلق هذا الاسم كذلك على أي قوس مماثل يتولد على رذاذ الماء أياً كان مصدره؛ نافورة ماء أو شلالاً.[1]
نظرة عامة
عدد الألوان في طيف قوس قزح
| Red | Orange | Yellow | Green | Blue | Indigo | Violet | |
| Newton's primary colours |

يظهر قوس قزح في جزء السماء المقابل لأشعة الشمس، وتتطابق ألوانه مع ألوان طيف الضوء الأبيض عندما يتحلل في موشور، ممتدة من الأحمر فالبرتقالي فالأصفر فالأخضر فالأزرق فالنيلي حتى البنفسجي.
يتكون قوس قزح غالباً من قوسين؛ قوس أولي ساطع يتوضَّع فيه اللون الأحمر خارج القوس والبنفسجي داخله، وقوس ثانوي أقل سطوعاً يتوضَّع فيه اللون الأحمر في الداخل والبنفسجي في الخارج.
شرح
قوس قزح الأولي

يتشكل قوس قزح الأولي بفعل الأشعة التي تبلغ عين المشاهد بعد انكسارين وانعكاس داخلي وحيد على قطرات المطر كما هو واضح في الجزء (أ) من الشكل (1). فالأشعة التي تدخل قطرة ماء في الجو من أعلاها تعاني انكساراً هناك، ثم انعكاساً على السطح الداخلي المقابل لوجه الدخول، يليه انكسار للمرة الثانية حيث تغادر الأشعة القطرة من سطحها السفلي كما هو واضح في الشكل. تجدر الإشارة إلى أن أشعة الشمس البيضاء تتحلل عند انكسارها داخل القطرة إلى ألوان الطيف المختلفة. وهكذا تعدُّ ظاهرة الانكسار مسؤولة عن ظهور ألوان قوس قزح.
تراوح الزاوية التي يصنعها شعاع شمسي يدخل قطرة ماء كروية والأشعة الملوَّنة التي تغادرها بين 42 ْ للشعاع الأحمر و40 ْ للشعاع البنفسجي، كما هو واضح في الشكل؛ ولذا فإن اللون الأحمر الذي يصل إلى عين المشاهد سيدخلها بزاوية تقارب 42 ْ مع الأفق في حين يدخل اللون البنفسجي إليه بزاوية تقارب 40 ْ، وتتوضَّع باقي الألوان بين هاتين الزاويتين.
يعتمد الانفراج الزاوي لقوس قزح على ارتفاع الشمس فوق الأفق. فإذا زاد ارتفاع الشمس فوق الأفق على 42 ْ فإن رؤية قوس قزح تغدو مستحيلة، وكلما انخفض ارتفاع الشمس فوق الأفق عن 42 ْ زاد اتساعه. وهو يأخذ شكل نصف دائرة عندما تكون الشمس عند الأفق، وإذا انخفضت الشمس تحت الأفق زاد انفراجه على نصف دائرة، بل إنه يبدو على هيئة دائرة كاملة أحياناً إذا نُظِر إليه من طائرة وكانت الظروف مواتية.
قوس قزح الثانوي

يتشكل قوس قزح ثانوي بفعل أشعة الشمس التي تدخل قطرات المطر من أسفلها حيث تعاني انعكاسين داخليين إضافة إلى انكسار وحيد، ثم تغادر القطرة قريباً من سطحها العلوي، كما يظهر في الجزء (ب) من الشكل (1). وتراوح الزاوية بين الشعاع الأبيض الوارد على القطرة والأشعة الملونة البارزة منها بين 51 ْ للشعاع الأحمر و54 ْ للشعاع البنفسجي. ولأن كل انعكاس يحدث على سطح القطرة يضيِّع جزءاً من طاقة الشعاع الضوئي الوارد، فإن حدوث انعكاسين داخل القطرة يجعل قوس قزح الثانوي أقل سطوعاً من القوس الأولي.
يُمكن تتبع مسار شعاع شمسي أحمر يرد على قطرة ماء عند النقطة A بزاوية i حتى يخرج بعد انكسارين وانعكاس داخلي حيث يصنع ممدد الشعاع البارز من القطرة عند النقطة C في الشكل (2) بزاوية مقدارها 42 ْ.
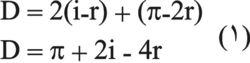
يعاني الشعاع الوارد عند A بزاوية i انحرافاً عن خط سيره بزاوية (i-r) وينعكس عند B فيعاني انحرافاً إضافياً هو (π−2r)، كما يعاني انحرافاً إضافياً عند C بمقدار (i-r) وبالتالي فإن الانحراف الكلي D بين ممدَّد الشعاع الوارد وممدَّد الشعاع البارز من القطرة بعد انعكاس وحيد وانكسارين هو:

إلا أن i ترتبط مع r بعلاقة سنل ـ ديكارت وهي:
Sin i = n sin r
حيث ترمز n إلى قرينة انكسار الضوء الأحمر في الماء وهي تساوي 1.329 ومنه:

وبالتالي تصبح D كما يأتي:

إن هذا التابع لـ i يبلغ نهاية صغرى عند الزاوية 60 ْ وتكون قيمة D عندها مساوية 138 ْ، وتكون الزاوية المتممة لها أي (π-D) مساوية 42 ْ وهي الزاوية التي يرى فيها راصد الضوء الأحمر فوق الأفق بعد خروجه من قطرات المطر.
وإذا افترض أن الشعاع الوارد على القطرة بلون بنفسجي حيث n = 1.343 فإن الزاوية المقابلة تكون 40 ْ. وهكذا يرى الراصد ضوء الشمس الأبيض في قوس قزح الأولي محصوراً بين الزاويتين 40 ْ و 42 ْ، وتتوضَّع باقي الألوان بين هاتين الزاويتين حيث يتركز الانحراف الأصغري للضوء.
الأشكال المختلفة
Twinned rainbow
أقواس قزح ثلاثية ورباعية
أقواس قزح عليا
أقواس قزح زائدة

انعكاس قوس قزح


أقواس قزح تحت ضوء القمر

Fogbow

Circumhorizontal arc
أقواس قزح على تيتان
التاريخ العلمي

ثقافة
انظر أيضا
- Atmospheric optics
- Circumzenithal arc
- Fog bow
- Glory
- Halo
- Iridescent colours in soap bubbles
- Moonbow
- Sun dog
الهوامش
- ^ أحمد حصري. "قوس قزح". الموسوعة العربية. Retrieved 2012-09-01.
المصادر
- Greenler, Robert (1980). Rainbows, Halos, and Glories. Cambridge University Press. ISBN 0-19-521833-7.
- Lee, Raymond L. and Alastair B. Fraser (2001). The Rainbow Bridge: Rainbows in Art, Myth and Science. New York: Pennsylvania State University Press and SPIE Press. ISBN 0-271-01977-8.
- Lynch, David K.; Livingston, William (2001). Color and Light in Nature (2nd ed.). Cambridge University Press. ISBN 0-521-77504-3.
{{cite book}}: CS1 maint: multiple names: authors list (link) - Minnaert, Marcel G.J. (1993). Light and Color in the Outdoors. Springer-Verlag. ISBN 0-387-97935-2.
{{cite book}}: Unknown parameter|coauthors=ignored (|author=suggested) (help) - Minnaert, Marcel G.J. (1973). The Nature of Light and Color in the Open Air. Dover Publications. ISBN 0-486-20196-1.
{{cite book}}: Unknown parameter|coauthors=ignored (|author=suggested) (help) - Naylor, John (2002). Out of the Blue: A 24-Hour Skywatcher's Guide. Cambridge University Press. ISBN 0-521-80925-8.
{{cite book}}: Unknown parameter|coauthors=ignored (|author=suggested) (help) - Boyer, Carl B. (1987). The Rainbow, From Myth to Mathematics. Princeton University Press. ISBN 0-691-08457-2.
- Graham, Lanier F., ed. (1976). The Rainbow Book. Berkeley, California: Shambhala Publications and The Fine Arts Museums of San Francisco. (Large format handbook for the Summer 1976 exhibition The Rainbow Art Show which took place primarily at the De Young Museum but also at other museums. The book is divided into seven sections, each coloured a different colour of the rainbow.)
- De Rico, Ul (1978). The Rainbow Goblins. Thames & Hudson. ISBN 0-500-27759-1.
مراجع للإستزادة
- The Book of Popular Science (Grolier 1974).
- P.A.TIPLER, Physics for Scientists & Engineers, 3rd. edition ( Worth Publishers 1991).
وصلات خارجية
- Images by Crayford Manor House Astronomical Society
- National Center for Atmospheric Research, About Rainbows
- Supernumerary and Multiple Rainbows
- Incredible Rainbows Worldwide - slideshow by Life magazine
- Interactive simulation of light refraction in a drop (java applet)
- Spectacular rainbow at Elam Bend (McFall, Missouri)
- Walter Lewin's Discussion on colours and rainbow physics
- Straight Dope on double rainbows
- Rare photo of the ‘end’ of the rainbow
- Rainbow seen through infrared filter and through ultraviolet filter
- Double Rainbow (viral video)
- Atmospheric Optics website by Les Cowley - Description of multiple types of bows, including: "bows that cross, red bows, twinned bows, coloured fringes, dark bands, spokes", etc.
