مزمار (آلة موسيقية)

مزمار
Mizmar
التصنيف Double reed
آلات ذات صلة

المزمار البلدى من الآلات الموسيقية المنشرة في أكثر من بلد عربي ، يقال انها كانت موجودة من عهد الفراعنة واستمرت إلى يومنا هذا في صعيد مصر وهى من أهم الموسيقات الشعبية التى تميز الصعيد ، وآلة المزمار هى من آلات النفخ الخشبية والتى تطورت على أيدى الغربيين لتصبح الأبوا المستخدمة في آلات الأوركسترا السيمفوني .

المزمار أو الأنبوب الصوتي ،آلة من أقدم آلات النفخ الموسيقية الأنبوبية العديدة يصدر عنها الصوت من جرَّاء اهتزاز عمود من الهواء كائن ضمن أنبوب مُجوَّف من الخشب أو المعدن. تنشأ الاهتزازات في عمود الهواء الكائن داخل الجوف عن طريق النفخ في قطعة تُركَّب في طرف الأنبوب تسمى الفوهة أو الفم mouthpiece. وكان تصنيف هذه الآلات موضعاً للجدل. فهناك من يصنّفها حسب المادة التي صنعت منها (خشبية أو نحاسية) أو حسب شكلها (أسطوانية أو مخروطية) أو حسب طبيعة الطرف الثاني للأنبوب (أنابيب مفتوحة أو مغلقة) أو حسب طبيعة الفم المزودة به والذي ينفخ فيه. لكن أفضل تصنيف لهذه الآلات جاء على يد كُرت ساكس Curt Sachs وإيرِك فون هورنبوستِل Erich von Hornbostel اللذين أقاماه على مبادئ صوتية لصوت الآلة بغض النظر عن شكلها أو مادتها أو أي شيء آخر.[1]

يمكن إذاً دراسة المزامير في مراحل عدة: تتضمن الأولى البحث في تشكل أنماط الاهتزازات الذاتية لعمود الهواء داخل المزمار بأشكاله المختلفة، والثانية صفات النغمة والعوامل المؤثرة فيها، وأخيراً الآلية التي تعمل بها هذه المؤثرات كي تثير عمود الهواء.

الاهتزازات الذاتية لأعمدة الهواء

يمكن تحليل بنية الأمواج المستقرة (الواقفة) standing waves في الأعمدة الهوائية بطريقة مشابهة لطريقة معالجتها في وتر مهتز. فإذا تحركت موجتان جيبيتان متماثلتان في اتجاهين متعاكسين في عمود من الهواء تشكلت موجة مستقرة لها تواتر الموجتين نفسه، كما في الوتر. وتتكون الموجة المستقرة من عقد وبطون تفصلها مسافات متساوية بحيث يكون طول المغزل (بين عقدتين متتاليتين) مساوياً نصف الطول الموجي في الهواء. وعليه فإن أنماط الاهتزاز الذاتية التي تنشأ في عمود الهواء هي المقابلة لتلك الأمواج المستقرة. وما يهم في هذا السياق هو معرفة أنماط الاهتزاز في آلات النفخ التي هي أعمدة من الهواء محدودة بأنابيب أسطوانية أو مخروطية مفتوحة الطرفين (الأنابيب المفتوحة) أو مغلقة من أحد طرفيها (أنابيب مغلقة). والفارق الأساسي بين هذين النوعين من الأنابيب هو أن طرف الأنبوب المفتوح يسمح بحركة الهواء، وهذا يؤدي إلى تشكل بطن موجة عند هذا الطرف وهو مشابه للنمط الأساسي لوتر مشدود حر من أحد طرفيه. ومن جهة ثانية فإن الهواء عند الطرف المغلق من الأنبوب لا يمكنه أن يتحرك، وعليه تتشكل عقدة عند الطرف المغلق للأنبوب مشابهة للنهايتين في وتر مشدود.

اهتزاز عمود الهواء في أنبوب أسطواني

الشكل (1)

يمثل الشكل (1) توزع العقد والبطون للأنماط الاهتزازية الثلاثة الأولى في أنبوب مفتوح (على اليسار) وأنبوب مغلق (على اليمين). وقد أشير إلى العقد بالحرف N وإلى البطون بالحرف A.

أنماط الاهتزاز في أنبوب أسطواني مفتوح

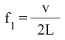
في النمط الأول لاهتزاز الهواء في الأنبوب المفتوح يكون للموجة بطن في كل طرف وعقدة في الوسط. وهذا يعني أن طول الأنبوب المفتوح يساوي نصف طول الموجة الصوتية، وبذلك يكون التواتر الأساسي f1 للصوت الصادر عن الأنبوب

9792-4.jpg


حيث:

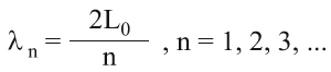
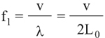
L0 هو طول الأنبوب المفتوح وv سرعة الصوت في الهواء وλ طول الموجة. يسمى هذا التواتر بالتواتر الأساسي كما يسمى هذا النمط من الاهتزاز بالنمط الأساسي fundamental mode. تنشأ التواترات الأخرى، وتسمى التوافقيات harmonics، بتشكل بطن إضافي للموجة المستقرة في كل توافقية متتالية، كما هو مبين في الشكل (1) حيث يمثل الحرف n عدد التوافقيات في كل موجة مستقرة، وتظهر التوافقيتان الثانية والثالثة من أجل ت n = 2 وتn = 3 على التوالي. تحسب الأطوال الموجية المتعاقبة λn لكل موجة مستقرة من العلاقة:

9792-1.jpg


ويحسب تواتر الاهتزاز fn من العلاقة:

تسمى النغمات الموافقة للتوافقياتت f2 وت f3 و.. التي تلي التواتر الأساسيت f1 بالنغمات الفوقية overtones ويسميها بعضهم بالمدروجات (المدروج الأولن n = 2 والمدروج الثانيوn = 3 ... وهكذا). ويلاحظ من المعادلة أن التوافقيات المتتالية هي مضاعفات صحيحة من التواتر الأساسي.

أنماط الاهتزاز في أنبوب أسطواني مغلق

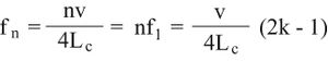
إن شروط الطرف المغلق في الأنبوب الصوتي تفرض تشكل عقدة عند الطرف المغلق وبطن عند الطرف المفتوح بحيث يكون طول الأنبوب المغلق مساوياً ربع الطول الموجي. ولهذا السبب جُعل طول كلِّ أنبوب من الأنابيب المغلقة الممثلة في الشكل (1) نصف طول الأنبوب المفتوح حتى يولِّد كلا الأنبوبين التواتر الأساسي نفسه. وإضافة إلى ذلك فإن الشروط الحدية لأنبوب مغلق لا تسمح إلا بتشكل عدد فردي من ربع طول الموجة ضمن الأنبوب بحيث يكون لدينا:

9792-9.jpg


حيث n عدد صحيح يأخذ الأعداد الفردية فقط، وk عدد صحيح يأخذ كل القيم الفردية والزوجية. والتواتر الأساسي من أجل ن k = 1 هو:

9792-7.jpg


حيث v، كما في السابق، سرعة الصوت وو L0 طول الأنبوب.

وعليه فإن تواترات الأمواج المستقرة في أنبوب مغلق لا تشمل سوى التوافقيات الفردية:

9792-2.jpg


التي هي المضاعفات الفردية فقط للتواتر الأساسي

9792-11.jpg


أنماط الاهتزاز في أنبوب مخروطي

الشكل (2)

يولد عمود الهواء المخروطي التواتر الأساسي نفسه الذي يولده أنبوب أسطواني مفتوح له الطول نفسه، كما أنه يولد كل التوافقيات. ويُعطَى التواتر الأساسي لأنبوب مخروطي طوله L بالعلاقة

9792-8.jpg


حيث v سرعة الصوت في الهواء. يبين الشكل (2) تشكل التوافقيات الثلاث الأولى في هذا الأنبوب المخروطي.

صفات النغمة والعوامل المؤثرة فيها

تتصف كل نغمة صادرة عن أنبوب صوتي بصفتين أساسيتين: الحدَّة pitch والطابع timbre.

إن الذي يحدد حدَة النغمة هو تواترها، الذي يتعلق بطول الأنبوب ونوعه (مفتوح أم مغلق، أسطواني أم مخروطي). كما أن شكل الجوف في الأنبوب له تأثير لا يمكن إغفاله.

أما الطابع فيتحدد بشكل الفم الذي ينفخ فيه فيثير عمود الهواء ويجعله يهتز، كما يتعلق بشكل الجوف الذي يملؤه عمود الهواء. فالأجواف الأسطوانية والمخروطية يمكنها أن تنتج تجاوبات هي توافقيات للتواترات الأساسية. أما الأجواف التي تتسع تدريجياً نحو الخارج أكثر من اتساع المخروط فتشكل مدروجات لاتوافقية؛ وبذلك تولد أنغاماً خشنة بدلاً من أصوات موسيقية جيدة.

وعليه فإن طابع الصوت يتأثر تأثراً ملحوظاً بطريقة إثارة عمود الهواء. ووفقاً للتصنيف الذي وضعه ساكس وهورنبوستل للأنابيب الصوتية، هناك أنابيب حرة، وآلات ذات حرف edge، ومزامير القصب reed pipes وآلات من نوع البوق trumpet وذلك وفقاً للطريقة التي تتشكل فيها النغمة.

إثارة عمود الهواء

الشكل (3)

يمكن جعل الهواء داخل الأنبوب يهتز بالنفخ في فتحة كائنة في قطعة الفم بوساطة فم العازف أو أحياناً بوساطة منفاخ يعمل على جهاز توليد الصوت. إن الضغط المطبق على جزيئات الهواء يجعلها تتحرك إلى الأمام على طول الأنبوب حتى تصطدم بأخرى فتدفعها إلى الحركة، في حين ترتد الأولى إلى الخلف فتأخذ مساراً متموجاً له حلقات مدوِّمة جانبية كما يتبيَّن من الشكل (3) في أجزائه المختلفة، وهذا يساعد على تشكيل دوامات عندما ترتطم بالحرف. تخلق هذه العملية نبضات منتظمة مولدة أمواجاً صوتية. وخلال الطول المصوت من الأنبوب تتحرك الموجة بأكملها بسرعة الصوت، لكن الهواء نفسه يتحرك ببطء (الشكل 3).

في الآلات ذات الحافة (كالفلوت) يوجه تيار من الهواء نحو حرف حاد فيثير في الجوار عموداً من الهواء داخل الأنبوب فيجعله يهتز بانتظام وينتج الصوت. في الفلوت البسيط ينشأ عمود من الهواء على هيئة شريط بين شفتي العازف ويتجه نحو الحرف من فتحة.

فتحة وحرف مقرونان

إن تواتر النغمة الناتجة بوجود الحرف الحر يتناسب طرداً مع سرعة تيار الهواء وعكساً مع قطر الحرف. وتعد نغمة الحرف edge tone هذه مصدر الاهتزاز وتساعد على بدء النغمة الناتجة من جريان الهواء فوق حرف منعزل واستمرارها. يمكن تغيير تواتر هذه النغمة بتغيير سرعة تيار الهواء أو تغيير المسافة بين الشق والحرف مما يجعل الحصول على نغمات ذات تواترات أعلى ممكناً.

بالنسبة إلى الآلات الموسيقية كالفلوت وأنبوب الأرغن، ينظر إلى دور الحرف بصورة مختلفة، فتواتر الحرف الحر، عملياً أعلى كثيراً من تواتر العزف، ويعدّ اهتزاز الأنبوب أحياناً بمنزلة «صمام محكوم بالجريان». أما عمود الهواء فله تواترات تجاوب طبيعية يحددها طوله، وهو الذي يقوم بالتحكم بتواتر النغمة التي نشأت عن اهتزازة الهواء عند الحرف ويعمل على تحديدها، وبذلك يصبح عمود الهواء المؤثرَ المهيمنَ على اهتزازات الهواء في الآلة، ويجبر اهتزاز الهواء عند الحرف على التوافق مع التواتر الطبيعي لعمود الهواء.

يمكن الحصول على النغمات الأخفض في الفلوت بفتح ثقوب في جانب الآلة لتقصير طول عمود الهواء فيرتفع التواتر الأساسي لعمود الهواء المفتوح. وللحصول على نغمات أعلى يمكن إجبار عمود الهواء على الاهتزاز في توافقيته الثانية التي هي أعلى من الأساس بمقدار أوكتاف (ثمانية)، ويتم ذلك بعملية تدعى النفخ المفرط overblowing. ويتحقق هذا بزيادة ضغط الاهتزاز بما فيه الكفاية حتى تنقسم الموجة الصوتية إلى نصفين، فتنتج التوافقية التالية. ومع زيادة أكبر للقوة المولِّدة يمكن أن ينقسم عمود الهواء إلى ثلاثيات ورباعيات وخماسيات وهكذا. تؤدي عملية النفخ المفرط إلى مدروجات تزداد تواتراتها بصورة متناسبة مع تقسيم عمود الهواء، أي كالنسب 1:2 ،1 :3 ،1 :4، وهلم جراً. فإذا كان الصوت الأساسي هو C عند تواتر 128 اهتزازة في الثانية فستكون النغمة التالية أعلى بثمانية (أوكتاف)، أي 256 والثالثة g عند 384 والرابعة C' عند 512.

يتميز صنف المزامير الحرة بأن الهواء المهتز غير موجود ضمن أنبوب، بل فيها لسان يهتز فوق شق أو من خلاله فيجعل الهواء يندفع بصورة متقطعة على شكل نبضات، وتكون النتيجة نغمة صوتية يحدد حدتها طول اللسان المهتز وثخنه.

أما مزامير القصب reed pipes فيثار عمود الهواء فيها بوساطة اهتزازات تحدث بين جزأي لسان مزدوج أو بين لسان مفرد وقطعة الفم. وبموجب التصنيف السابق يطلق اسم المزامير oboes على كل الآلات ذات اللسان المزدوج واسم الكلارينيت (البراعة) clarinet على الآلات ذات اللسان المفرد.

قالب:Doublereed قالب:ArabicInstruments

المصادر

  1. ^ محمد قعقع. "المزمار". الموسوعة العربية. Retrieved 2012-9-01. {{cite web}}: Check date values in: |accessdate= (help)

مراجع للإستزادة

  • الفيزياء المتقدمة، ترجمة: توفيق قسَّام ومحمد قعقع وتوفيق ياسين (صادر عن المركز العربي للتعريب والتأليف والنشر، دمشق 1998).
  • F.W.SEARS, M.W.ZEMANSKY, H.D.YOUNG, University Physics (Addison-Wesley PublishingCompany, Inc. 1987).

وصلات خارجية

قالب:Woodwind-instrument-stub

الكلمات الدالة: