مغناطيسية متبقية
المغنطيسية المتبقية Residual Magnetism أو Remanence وهي المغنطيسية المتخلفة في مادة ما بعد إيقاف القوة الممغنطة عنها.
تظهر هذه الظاهرة في القلب الحديدي في المحركات الكهربائية, حيث تكون السبب المساعد والمؤثر على تشغيلها.
أنواع المغناطيسية المتبقية
تبقي التشبع

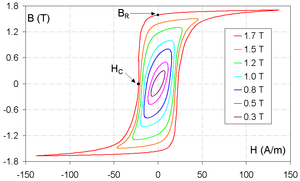
Fig. 1 A family of AC hysteresis loops for grain-oriented electrical steel (Br denotes remanence and Hc is the coercivity).
Isothermal remanence
Anhysteretic remanence
أمثلة
المادة | التبقي | المراجع |
---|---|---|
Ferrite (magnet) | 0.35 T (3،500 G) | [1] |
Samarium-cobalt magnet | 0.82–1.16 T (8،200–11،600 G) | [2] |
AlNiCo 5 | 1.28 T (12،800 G) | |
Neodymium magnet | 1–1.3 T (10،000–13،000 G) | [2] |
انظر أيضاً
الهامش
- ^ "Amorphous Magnetic Cores". Hill Technical Sales. 2006. Retrieved 18 January 2014.
- ^ أ ب Juha Pyrhönen; Tapani Jokinen; Valéria Hrabovcová (2009). Design of Rotating Electrical Machines. John Wiley and Sons. p. 232. ISBN 0-470-69516-1.
وصلات خارجية
وصلة لتطبيقات المغنطيسية المتبقية في علم الأثار (المغنطيسية الآثارية وتطبيقاتها): [[1]]
- وصلة ذات علاقة لموضوع المغناطيسية والمغنطيسية المتبقية مع صور توضيحية:
[[2]]
This article contains content from Wikimedia licensed under CC BY-SA 4.0. Please comply with the license terms.