حركة براونية


الحركة البراونية Brownian motion تُطلق على الحركة العشوائية الدائمة الناشئة عن رجم جسيمات دقيقة معلقة في سائل أو غاز من قبل جزيئات السائل أو الغاز.

يعود الفضل في دراسة هذه الحركة إلى عالم النبات الاسكتلندي روبرت براون عام 1827. فقد لاحظ أن حبيبات الطَّلع المعلقة في الماء تتحرك تحت المجهر جيئة وذهاباً في كل اتجاه، وأن هذه الحركة لاتعود إلى كائنات حية؛ إذ أنها لوحظت حتى في حبيبات طلع مضى عليها قرن من الزمان. ويمكن ملاحظة هذه الحركة كذلك على جسيمات دخان تنفخ في حجرة ضحلة تحتوي على الهواء وتنار جانبياً بمصباح قوي، ويبين الشكل المشهد الذي يراه الراصد في عينية المجهر في هذه الحالة. وبالطبع يمكن باستخدام مرشح يمتص الإشعاع الحراري الصادر عن المصباح، رفض فكرة أن الحركة العشوائية ناشئة عن تيارات حمل.[1]
تقدم دلزولكس Delsaulx عام 1877 بفرضية مفادها أن الحركة البراونية تحدث نتيجة صدم جزيئات السائل أو الغاز للجسيمات المعلّقة فيهما. وقد تم التحقق من هذه الفرضية الهامة تجريبياً، وبذلك ترسخت النظرة الذرية لبنية المادة لأول مرة تجريبياً.
نظرية أينشتاين
نشر أينشتاين بدءاً من عام 1905 عدة بحوث بيّن فيها أن الحركة البراونية تنشأ من قذف جزيئات السائل أو الغاز للجسيمات المعلقة فيهما. وتنبأ بنتائج يمكن التحقق منها تجريبياً، إذ توصل بالمعادلات الرياضية إلى تحديد طول المسار الحر الوسطي لجسيم لدى قيامه بالحركة العشوائية في السائل أو في الغاز.
وبيّن أن هذا الطول x يتناسب مع الجذر التربيعي للزمن t الفاصل بين تصادمين أي أن:

خضع قانون أينشتاين إلى تجارب مستفيضة عديدة، وخاصة من قبل الفيزيائي الفرنسي جان باتيست پرين Perrin، والسويدي زڤدبرگ Zvedberg. كما أجريت تجارب على جسيمات مرئية معلقة ذات نصف قطر معلوم، وقادت النتائج إلى تحديد قيمة لعدد أڤوگادرو N اتفقت مع قيمته المعروفة من تجارب أخرى. وباستخدام قيمة N الناتجة وتطبيق الدراسة على انتشار الجزيئات كانتشار محلول السكر في الماء، أمكن تحديد نصف قطر جزيئة الماء a. وهكذا فقد شكلت التجارب بمجموعها أساساً متيناً للنظرية الحركية الجزيئية للمادة.
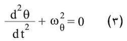
يُشار أخيراً إلى إمكانية رؤية مظاهر الحركة البراونية بدراسة حركة مرآة خفيفة معلقة بخيط دقيق موضوعة في حجرة مملوءة بالغاز. فإذا كان I عزم عطالة المرآة حول خيط التعليق، وإذا أزيحت عن وضع توازنها اهتزت بتواتر اهتزاز طبيعي ω0، وتكتب معادلة حركتها بالشكل:

حيث ترمز θ إلى الانزياح الزاوي للمرآة عن وضع توازنها. وتمثل
السرعة الزاوية للمرآة.
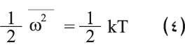
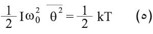
إن وضع المرآة في الغاز سوف يعرض سطحيها إلى قوى غير متساوية نظراً لتأرجح كمية الحركة أو الاندفاع الذي ينتقل إليها عن طريق قذف جزيئات الغاز لها، وبالتالي سيجعل المرآة تهتز بعيداً عن الاهتزاز التوافقي. وبمرور الزمن يحصل تقاسم للطاقة الحركية والكامنة الدورانيتين للمرآة وتغدو طاقتها الحركية معطاة بالعلاقة:

وتصبح طاقتها الكامنة معطاة بالعلاقة:

حيث تمثل k ثابت بولتزمان وT درجة حرارة الغاز المطلقة.
تؤكد القياسات الدقيقة صحة العلاقتين (4) و (5)، وبالتالي صحة نقطة الانطلاق أي أن الحركة البراونية ليست إلا مظهراً من مظاهر قذف جزيئات السائل أو الغاز للجسيمات المعلقة فيهما.
تاريخ الحركة البراونية
[[Image:PerrinPlot2.gif|thumb|left|منسوخة من كتاب جان باتيست پران ينسب إكتشاف الحركة البراونية إلى عالم النباتات الإنجليزي روبرت براون, عام 1827, إثر دراسته لجزيئات رحيق الأزهار. فقد لاحظ عندما وضع هذه الجزيئات في الماء, لمشاهدتها عن طريق المجهر, أنها في حركة عشوائية متواصلة. فتسائل عن سبب هذه الحركة, أهي ناتجت عن كون الجزيئات كائنات حية؟ (شبيهة بحركة البكتيريا مثلا). للتأكد من هذه الفرضية, قام براون بتكرار التجربة نفسها, مستخدما هذه المرة جزيئات معدنية ميكرونية. و من جديد, شاهد حركة شديدة التشبه بملاحظاته السابقة. أتبثت هذه التجارب ان الحركة البراونية غير ناتجة عن قوة حيوية. لكن ما أصل هذه الظاهرة؟ أصلها فيزيائي, كما أتبث هذا ألبرت أينشتاين في واحد هن مقالاته الشهيرة.
مساهمة أينشتاين
[[Image:BMonSphere.jpg|thumb|The characteristic operator of a Brownian motion is ½ times the Laplace–Beltrami operator. Here it is the Laplace–Beltrami operator on a 2-sphere.]] في بدايةالقرن العشرين, عمل ألبرت أينشتاين على تطوير النظرية الذرية للمادة وإيجاد دلائل على صحيها. فتوقع, في إحدى مقالاته الخمسة الشهيرة لسنة 1905 م, ظاهرة الحركة البراونية دون دراية مسبقة بتجارب براون. تعتبر مساهمة أينشتاين في هذا المجال من أركان الفيزياء الإحصائية
الكناية الحدسية
| Brownian motion model of the trajectory of a particle of dye in water. |
النظرية
نموذج سمولوخوفسكي
النمذجة باستخدام المعادلات التفاضلية
الرياضيات
تمييز ليڤي
عالم الرياضيات الفرنسي پول ليڤي أثبت المبرهنة التالية، التي تعطي شرطاً ضرورياً وكافياً لعملية إحصائية متواصلة X بقيمة Rn لتكون في الواقع حركة براونية ذات n بـُعد. ولذلك فإن شرط ليڤي يمكن استخدامه في الواقع كتعريف بديل للحركة البراونية.
Riemannian manifold

انظر أيضا
- جسر براوني: a Brownian motion that is required to "bridge" specified values at specified times
- ديناميكا براونية
- محرك براوني
- Brownian ratchet
- شجرة براونية
- Rotational Brownian motion
- Complex system
- Diffusion equation
- Geometric Brownian motion
- Itō diffusion: a generalization of Brownian motion
- معادلة لانجڤان
- Lévy arcsine law
- Local time (mathematics)
- Osmosis
- Red noise, also known as brown noise (Martin Gardner proposed this name for sound generated with random intervals. It is a pun on Brownian motion and white noise.)
- Schramm–Loewner evolution
- Surface diffusion: a type of constrained Brownian motion.
- تأثير تيندال: physical chemistry phenomenon where particles are involved; used to differentiate between the different types of mixtures.
- Ultramicroscope
- Single particle tracking
ملاحظات
- ^ أحمد حصري. "الحركة البراونية". الموسوعة العربية.
المصادر
- Brown, Robert, "A brief account of microscopical observations made in the months of June, July and August, 1827, on the particles contained in the pollen of plants; and on the general existence of active molecules in organic and inorganic bodies." Phil. Mag. 4, 161–173, 1828. (PDF version of original paper including a subsequent defense by Brown of his original observations, Additional remarks on active molecules.)
- Chaudesaigues, M. (1908) 'Le mouvement brownien et le formula d'Einstein' Comptes Rendus, 147 pp 1044–6
- Clark, P. (1976) 'Atomism versus thermodynamics' in Method and appraisal in the physical sciences, Colin Howson (Ed), Cambridge University Press 1976
- Einstein, A. (1905), "Über die von der molekularkinetischen Theorie der Wärme geforderte Bewegung von in ruhenden Flüssigkeiten suspendierten Teilchen.", Annalen der Physik 17: 549–560
- Einstein, A. "Investigations on the Theory of Brownian Movement". New York: Dover, 1956. ISBN 0-486-60304-0 [1]
- Henri, V(1908) 'Etudes cinematographique du mouvement brownien' Comptes Rendus 146 pp 1024–6
- Lucretius, 'On The Nature of Things.', translated by William Ellery Leonard. (on-line version, from Project Gutenberg. see the heading 'Atomic Motions'; this translation differs slightly from the one quoted).
- Nelson, Edward, Dynamical Theories of Brownian Motion (1967) (PDF version of this out-of-print book, from the author's webpage.)
- J. Perrin, "Mouvement brownien et réalité moléculaire". Ann. Chim. Phys. 8ième série 18, 5–114 (1909). See also Perrin's book "Les Atomes" (1914).
- Ruben D. Cohen (1986) "Self Similarity in Brownian Motion and Other Ergodic Phenomena", Journal of Chemical Education 63, pp. 933–934 [2]
- Smoluchowski, M. (1906), "Zur kinetischen Theorie der Brownschen Molekularbewegung und der Suspensionen", Annalen der Physik 21: 756–780
- Svedberg, T. Studien zur Lehre von den kolloiden Losungen 1907
- Theile, T. N. Danish version: "Om Anvendelse af mindste Kvadraters Methode i nogle Tilfælde, hvor en Komplikation af visse Slags uensartede tilfældige Fejlkilder giver Fejlene en ‘systematisk’ Karakter". French version: "Sur la compensation de quelques erreurs quasi-systématiques par la méthodes de moindre carrés" published simultaneously in Vidensk. Selsk. Skr. 5. Rk., naturvid. og mat. Afd., 12:381–408, 1880.
وصلات خارجية
- Einstein on Brownian Motion
- Discusses history, botany and physics of Brown's original observations, with videos
- "Einstein's prediction finally witnessed one century later" : a test to observe the velocity of Brownian motion
- Large-Scale Brownian Motion Demonstration