إرڤن شرودنگر
إرڤين شرودنگر Erwin Schrödinger | |
|---|---|
![]() Erwin Rudolf Josef Alexander Schrödinger | |
| وُلِدَ | أغسطس 12, 1887 |
| توفي | يناير 4, 1961 (aged 73) |
| القومية | |
| المدرسة الأم | جامعة ڤيينا |
| عـُرِف بـ | معادلة شرودنگر |
| الجوائز | |
| السيرة العلمية | |
| المجالات | فيزيائي |
| الهيئات | جامعة ڤروتسواف جامعة زيورخ جامعة برلين جامعة أكسفورد جامعة گراتس معهد دبلن للدراسات المتقدمة |
| المشرف على الدكتوراه | فريدرش هازنورل |
| جزء من سلسلة مقالات عن |
| ميكانيكا الكم |
|---|

إرڤين شرودنگر(12 أغسطس 1887-4 يناير 1961 م) هو فيزيائي نمساوي في الفيزياء النظرية، حاز شهادة الدكتوراه من جامعة ڤيينا عام 1910. معروف بإسهاماته في ميكانيكا الكم وخصوصا معادلة شرودنگر والتي حاز من أجلها على جائزة نوبل في الفيزياء عام 1933 م.
حياته العلمية
لقد نجح نموذج بور ـ رذرفورد في تفسير خصائص ذرة الهيدروجين ، ولكنه جلب صعوبات وتناقضات لدى تطبيقه على سلوك ذرات ذات بنى أعقد وعلى خصائص الجزيئات الكيميائية. وللتقدم على هذا الطريق دعا الفيزيائي الألماني ڤرنر هايزنبرگ إلى وجوب تأسيس نظرية كمومية ذرية تستند فقط إلى مقادير تُرصد مباشرة بالتجربة، كالخطوط الطيفية المعروفة جيدا والمذكورة أعلاه. كان هايزنبرگ يرى أن بعض مفاهيم الفيزياء التقليدية، كالمدارات الإلكترونية التي استخدمها رذرفورد وبور، يجب استبعادها نهائيا. وقد كتب إلى زميله النمساوي ڤولفگانگ پاولي يقول بأن هذه المدارات ليس لها أي معنى فيزيائي. والواقع، إن صياغته لميكانيك الكم بشكل مصفوفي تستبعد تماما مفهوم المدارات الإلكترونية. فقد حسب تواترات وشدات الخطوط الطيفية بدلالة ثابتة بلانك وبعض المقادير الأساسية الطبيعية الأخرى. وبشكل مستقل استنبط الفيزيائي النمساوي إرڤن شرودنگر صياغة أخرى ولكنها مكافئة لصياغة هايزنبرگ. فباتباع أفكار الفيزيائي الفرنسي < L. دوبروي> وضع شرودنگر معادلة موجية تمثل المنظومات الفيزيائية. وحلول هذه المعادلة تنبئ بشتى احتمالات نتائج تطور المنظومة.
وفي حين كان هايزنبرگ يشعر بأن المدارات التقليدية ليس لها مكان في نظرية الكم ويجب التخلي عنها، كان لشرودنگر رأي آخر. فقد اهتم منذ البدء بالعلاقة بين عالم الصغائر المجهرية وعالم المحسوسات. وكان يعتقد أن علم التحريك التقليدي يجب أن يُستنبط من معادلته الموجية. وكخطوة أولى درس شرودنگر منظومة من نوع بسيط جدا، هي الهزاز التوافقي harmonic oscillation. وهذه المنظومة لا تمثل بالضبط جسما في مدار كوكبي، بل حركة صعود وهبوط تقوم بها كتلة معلقة في نهاية نابض. وهذا الهزاز التوافقي يشترك مع الحركة المدارية بصفة مهمة جدا هي أن كلا منهما يمثل حركة دورية، إحداهما حركة شحنة في حقل كولوني والأخرى حركة كتلة مادية في حقل ثقالي: فالحركة المدارية تتكرر مرة واحدة في كل دورة ـ إن دور الأرض حول الشمس يساوي سنة واحدة ـ كما أن للكتلة المتدنية في نهاية النابض دورًا اهتزازيًا: أي إنها تقوم بحركة صعود وهبوط واحدة في وحدة زمنية معينة تسمى الدور.
البنية الجزيئية للأحماض النووية | |
|---|---|
![]() إرڤين شرودنگر عند فوزه بجائزة نوبل عام 1933 | |
| وليام أستبري | اوزوالد أڤري |
| فرانسيس كريك | إروين تشارگاف |
| جري دنهيو | روزالند فرانكلن |
| فوبس لڤين | لاينس پولنگ |
| إرڤين شرودنگر | ألكس ستوكس |
| جيمس واطسون | موريس ولكنز |
| ماكس دلبروك | ريموند گوسلنگ |
| سير جون راندل | هربرت ولسون |
لقد استطاع شرودنگر أن يستنتج من نظريته الكمومية السلوك التقليدي للهزاز التوافقي. وقد نجح في ذلك عن طريق وضع حل لمعادلته مؤلَّف من مجموع حلول ينطوي كل منها على قيمة للطاقة خاصة به. وتتمثل هذه الحلول بخطوط بيانية ذات أشكال جيبية بتواترات متفاوتة. وبضم هذه الموجات تنشأ «رزمة موجية گاوسّيَّة» Gaussian wave packet ذات شكل يشبه شكل الجرس. والصفة المميزة لهذه الرزمة هي أنها تظل متوضعة حول مركز يقوم بحركة دورية تقليدية، لكن شرودنگر أخفق في استنباط حركة تقليدية مماثلة في حالات أكثر تعقيدا، كحركة الإلكترون في ذرة الهيدروجين. [1]
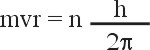
طوَّر عام 1925 معادلة شرودنگر، لوصف السلوك الموجي للإلكترون، أو لأي جسيم آخر تحت تأثير حقول مختلفة. اعتمد شرودنگر في تطوير معادلته تلك على فكرة، تقدم بها الفيزيائي الفرنسي لوي دو بروي Louis de Broglie عام 1924، مفادها أن بإمكان الجسيمات أن تسلك سلوك أمواج، كما أن الأمواج يمكنها أن تسلك سلوك جسيمات. فبحسب دو بروي، يعطى طول الموجة λ التي تصف سلوك إلكترون كتلته m وسرعته v بالعلاقة:

حيث h ثابت پلانك. وإذا كان r نصف قطر المسار الذي يرسمه الإلكترون حول نواة ذرة، فإن اندفاعه الزاوي mvr، لا يمكنه إلا أن يكون مضاعفاً صحيحاً لـ h/2π بحسب نظرية بور، أي إن:

، حيث n عدد صحيح، ومنه:

أي إن محيط مدار الإلكترون لا يمكن إلا أن يكون عدداً صحيحاً من طول الموجة، بمعنى أن مدارات الإلكترونات هي بمنزلة أمواج مستقرة standing waves.
يصف شرودنگر سلوك الإلكترون في الذرة بتابع موجي عقدي للموضع والزمن بحيث يعطي الكثافة الاحتمالية لوجود الجسيم في الموضع r في اللحظة t. إن التابع الموجي العائد لإلكترون كتلته m واندفاعه p ويتحرك في وسط كمونه هو، بحسب شرودنگر، حل المعادلة التفاضلية الجزئية الآتية المعروفة باسمه:

حيث:

هو العدد التخيلي والمعروف h = h/2π
يبين حل هذه المعادلة في حالة ذرة الهدروجين، أن إلكترونات الذرة لا يمكنها إلا أن تشغل سويات طاقية محددة، وأن انتقال الإلكترونات بين هذه السويات من الأعلى نحو الأدنى، يحرر ضوءاً ذا أطوال موجية تتفق تماماً مع ما تتنبأ به نظرية بور، وتدل عليه القياسات الطيفية.
نشر شرودنگر عام 1926 أربع مقالات تدور جميعها حول معادلته التي عُدَّت بحق أساس الميكانيك الموجي، واعتلى على أثر ذلك، كرسي الفيزياء النظرية في جامعة برلين خَلَفاً لـ ماكس بلانك عام 1927. وفي عام 1933 غادر شرودنگر ألمانيا، وحاز في العام ذاته جائزة نوبل في الفيزياء النظرية مع بول ديراك Paul Dirac، تقديراً لجهودهما في توضيح النظرية الذرية للمادة. تنقّل شرودنگر بين عامي 1933 و1939 بين النمسا وبريطانيا وبلجيكا وإيطاليا، ثم انتقل إلى دبلن حيث عمل مديراً لمعهد الدراسات العليا فيها. عمل شرودنگر في توسيع نظرية أينشتاين في الجاذبية، ونشر كتباً في الفلسفة؛ منها كتاب بعنوان: «ما هي الحياة؟» عام 1956، وكتاب آخر بعنوان «نظرتي للعالَم» عام 1961.
أحيل شرودنگر إلى التقاعد عام 1956، وعاد إلى جامعة فيينا التي تخرج فيها معززاً مكرَّماً حتى تاريخ وفاته، بعد أن قدم إسهامات علمية قيّمة في مجالات متعددة إضافة إلى الفلسفة.[2]
المصادر
- ^ مجلة العلوم نوفمبر 1995 / المجلد 11
- ^ أحمد حصري. "شرودنغر (إرفين ـ)(1887 ـ 1961)". الموسوعة العربية.
كتب بقلمه
- "Nature and the Greeks" and "Science and Humanism" Cambridge University Press (1996) ISBN 0521575508.
- "The interpretation of Quantum Mechanics" Ox Bow Press (1995) ISBN 1881987094.
- "Statistical Thermodynamics" Dover Publications (1989) ISBN 0486661016.
- "Collected papers" Friedr. Vieweg & Sohn (1984) ISBN 3700105738.
- "My View of the World" Ox Bow Press (1983) ISBN 0918024307.
- "Expanding Universes" Cambridge University Press (1956).
- "Space-Time Structure" Cambridge University Press (1950) ISBN 0521315204.
- "What is Life?" Macmillan (1946).
انظر أيضاً
- Entropy and life
- قطة شرودنگر
- طريقة شرودنگر
- Schrödinger functional
- Schrödinger semigroup
- قائمة العلماء النمساييون
- قائمة النمساويين
وصلات خارجية
- Erwin Schrödinger on an Austrian banknote.
- O'Connor, John J.; Robertson, Edmund F., "إرڤن شرودنگر", MacTutor History of Mathematics archive
- "biographie" (in German) or
- "Biography from the Austrian Central Library for Physics" (in English)
- Encyclopaedia Britannica article on Erwin Schrodinger
- Nobel Lectures, Physics 1922-1941, "Erwin Schrödinger Biography" from NobelPrize.org
- Vallabhan, C. P. Girija, "Indian influences on Quantum Dynamics" [ed. Schrödinger's interest in Vedanta]
- Schrödinger Medal of the World Association of Theoretically Oriented Chemists (WATOC)
- The Discovery of New Productive Forms of Atomic Theory Nobel Banquet speech (in German)
- Quantum Mechanics and Schrodinger's Cat
- Annotated bibliography for Erwin Schrodinger from the Alsos Digital Library for Nuclear Issues
- Schrödinger and his interest for Hinduism
- Pages using infobox scientist with unknown parameters
- فيزيائيون نظريون
- فيزيائيو نظرية الكم
- مواليد 1887
- وفيات 1961
- أشخاص من ڤيينا
- فيزيائيون نمساويون
- علماء الثرموديناميكا
- وفيات عن السل
- فيزيائيون أيرلنديون
- أعضاء أكاديمية العلوم الپاپوية
- People associated with the University of Zurich
- حائزو جائزة نوبل في الفيزياء
- نمساويون رومان كاثوليك
- Western mystics
- Erdős number 3
- أعضاء فخريون في أكاديمية العلوم السوڤيتية

