آيزوليوسين
|
| |||
| الأسماء | |||
|---|---|---|---|
| اسم أيوپاك
الآيزوليوسين
| |||
| أسماء أخرى
(2S,3S)-2-amino-3-methylpentanoic acid
| |||
| المُعرِّفات | |||
| رقم CAS | |||
3D model (JSmol)
|
|||
| ChEBI | |||
| ChemSpider | |||
| DrugBank | |||
| ECHA InfoCard | 100.000.726 | ||
| KEGG | |||
PubChem CID
|
|||
| UNII | |||
CompTox Dashboard (EPA)
|
|||
| |||
| |||
| الخصائص | |||
| الصيغة الجزيئية | C6H13NO2 | ||
| كتلة مولية | 131.16 g mol-1 | ||
| القابلية المغناطيسية | −84.9·10−6 cm3/mol | ||
ما لم يُذكر غير ذلك، البيانات المعطاة للمواد في حالاتهم العيارية (عند 25 °س [77 °ف]، 100 kPa). | |||
| مراجع الجدول | |||
الآيزوليوسين (Isoleucine ؛ ويُختصر Ile أو I) رمزه ATT, ATC, ATA[1]، هو حمض أميني يستخدم في التخليق الحيوي للپروتينات. يحتوي على مجموعة أمين (والموجودة في صيغة NH+3- الپروتونية في حالات بيولوجية)، مجموعة حمضية كربوكسيلية (والتي توجد في صيغة −COO− في حالات بيولوجية)، ومجموعة أيزوبوتيل جانبية السلسلة، مما يجعله حمض أميني أليفاتي غير قطبي. وهو أحد الأحماض الأمينية الأساسية في الجسم البشري، مما يعني أنه لا يمكن للجسم تخليقه: وينبغي أن يحصل عليه من خلال النظام الغذائي. يتم تخليق الآيزوليوسين عن طريق انزيمات تخليق الآيزوليوسين الموظفة لحمض الپيروڤيك في العضيات الأخرى مثل البكتريا.[2]
عدم القدرة على تكسير الآيزوليوسين، بجانب الأحماض الأمينية الأخرى، مرتبط بمرض يسمى داء البول القيقبي، والذي يؤدي إلى تغير لون البول وجعل رائحته تميل للحلوى. ومع ذلك، ففي الحالات الحادة، قد يؤدي داء البول القيقبي إلى تلف خلايا المخ وفي النهاية الوفاة.[3]
الأيض
التخليق الحيوي
كمغذي أساسي، لا يتم تخليق الآيزوليوسين في الجسم، ومن ثم يجب تناوله ضمن النظام الغذائي، عادة كعنصر پروتيني. في النباتات والعضيات الدقيقة، يتم تخليق الآيزوليوسين من حمض الپيروڤيك وalpha-ketoglutarate. الانزيمات المسئولة عن عملية التخليق الحيوي هي::[4]
- Acetolactate synthase (also known as acetohydroxy acid synthase)
- Acetohydroxy acid isomeroreductase
- Dihydroxyacid dehydratase
- Valine aminotransferase
الهدم
المتطلبات
المصادر الغذائية
بالرغم من أن هذا الحمض الأميني لا يُنتج في الحيوانات، إلا أنها تختزنه بكميات كبيرة. من الأغذية التي تحتوي على كميات كبيرة من الآيزوليوسين البيض، پروتين الصويا، الطحالب البحرية، الديك الرومي، الدجاج، لحم الحمل، الجبن، والسمك.[5]
النظائر
| صيغ الآيزوليوسين | |||||||
|---|---|---|---|---|---|---|---|
| الاسم الشائع: | آيزوليوسين | D-isoleucine | L-isoleucine | DL-isoleucine | allo-D-isoleucine | allo-L-isoleucine | allo-DL-isoleucine |
| المرادفات: | (R)-Isoleucine | L(+)-Isoleucine | (R*,R*)-isoleucine | alloisoleucine | |||
| PubChem: | CID 791 | CID 94206 | CID 6306 | CID 76551 | |||
| EINECS number: | |||||||
| CAS number: | 443-79-8 | 319-78-8 | 73-32-5 | 1509-35-9 | 1509-34-8 | 3107-04-8 | |
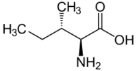
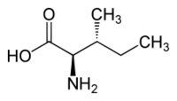
| L-isoleucine (2S,3S) and D-isoleucine (2R,3R) |
| L-allo-isoleucine (2S,3R) and D-allo-isoleucine (2R,3S) |
التركيب
المصادر
- ^ Center for Biological Sequence Analysis, University of Denmark http://www.cbs.dtu.dk/courses/27619/codon.html
- ^ Kisumi, M; Komatsubara, S; Chibata, I (Jul 1977). "Pathway for isoleucine formation form pyruvate by leucine biosynthetic enzymes in leucine-accumulating isoleucine revertants of Serratia marcescens". J. Biochem. 82: 95–103. PMID 142769.
- ^ "Maple Syrup Urine Disease (MSUD)". learn.genetics.utah.edu. Archived from the original on 2015-12-10. Retrieved 2015-12-08.
{{cite web}}: Unknown parameter|deadurl=ignored (|url-status=suggested) (help) - ^ Nelson, D. L.; Cox, M. M. "Lehninger, Principles of Biochemistry" 3rd Ed. Worth Publishing: New York, 2000. ISBN 1-57259-153-6.
- ^ [1], List is in order of highest to lowest of per 200 Calorie serving of the food, not volume or weight.
- Center for Biological Sequence Analysis, University of Denmark http://www.cbs.dtu.dk/courses/27619/codon.html
وصلات خارجية
- CS1 errors: unsupported parameter
- ECHA InfoCard ID from Wikidata
- Articles containing unverified chemical infoboxes
- Short description is different from Wikidata
- Articles that show a Medicine navs template
- أحماض أمينية مركبة للپروتينات
- Glucogenic amino acids
- Ketogenic amino acids
- أحماض أمينية متفرعة السلسلة
- أحماض أمينية أساسية

