پوليمر تكثيف

پوليمرات التكثيف Condensation polymers، هي أي نوع من الپوليمرات التي تتشكل خلال تفاعل التكثيف- حيث ترتبط الجزيئات معاً- وتُفقد الجزئيات كمنتجات جانبية مثلما الماء أو الميثانول. يعطي الشكل البديل الرئيسي للپلمرة ينتج پوليمرات إضافية، المشتقة من تحويل الألكينات إلى ألكانات طويلة السلسلة.
پلمرة التكثيف هو أحد أشكال پلمرة النمو التدريجي. تنتج الپوليمرات الخطية عن المونومرات ثنائية الوظيفة، مثل المركبات التي تحتوي على أكثر من مجموعتين طرفيتين. ومن پوليمرات التكثيف الشائعة عديدات الأميد، عديدات الأستال، والپروتينات.[1][2]
عديدات الأميد
تعتبر عديدات الأميد من أكثر أنواع پوليمرات التكثيف شيوعاً.[3] وتتكون من تفاعل الحمض الكربوكسيلي والأمين. ومن أمثلتها النايلونات والپروتينات. عند تحضيرها من الأحماض الكربوكسيلية-الأمينية، مثل الأحماض الأمينية، يحدث التفاعل كما في المعادلة التالية:
- n H2N-X-CO2H → [HN-X-C(O)]n + n H2O
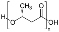
الپوليإسترات
تعتبر الپوليإسترات من أكثر أنواع پوليمرات التكثيف شيوعاً.[4] وتتكون الپوليإسترات من حمض كربوكسيلي وكحول. ومن أمثلة الپوليإسترات الپولي أوكسيميثلين:
- n HO-X-OH + n HO2C-y-CO2H → [O-X-O2C-Y-C(O)]n + 2n H2O

السلامة والإعتبارات البيئية
پوليمرات التكثيف أكثر ميلاً للتحلل عن الپوليمرارت الإضافية. قد تتعرض روابط الپپتيد أو الإستر بين المونومرات إلى الحلمهة، وخاصة في غياب المحفزات أو الانزيمات الجرثومية.
انظر أيضاً
المصادر
- ^ Introduction to Polymers 1987 R.J. Young Chapman & Hall ISBN 0-412-22170-5
- ^ An Introduction to Polymer Chemistry. Pergamon Press. 1967. ISBN 978-0-08-011891-8.
{{cite book}}: Cite uses deprecated parameter|authors=(help) - ^ "Polyamides". Ullmann's Encyclopedia of Industrial Chemistry. Weinheim: Wiley-VCH. 2013. doi:10.1002/14356007.a21_179.pub3.
{{cite encyclopedia}}: Cite uses deprecated parameter|authors=(help) - ^ "Polyesters". Ullmann's Encyclopedia of Industrial Chemistry. Weinheim: Wiley-VCH. 2002. doi:10.1002/14356007.a21_227.
{{cite encyclopedia}}: Cite uses deprecated parameter|authors=(help)
وصلات خارجية
Polymers (and condensation polymers) - Virtual Text of Organic Chemistry, William Reusch
