متعدد الپروپلين
| الأسماء | |
|---|---|
| اسم أيوپاك
Poly(1-methylethylene)
P
| |
| أسماء أخرى
Polypropylene; Polypropene;
Polipropene 25 [USAN]; Propene polymers; Propylene polymers; 1-Propene; [-Ch2-Ch(Ch3)-]n | |
| المُعرِّفات | |
| رقم CAS | |
| ChemSpider |
|
| ECHA InfoCard | 100.117.813 |
CompTox Dashboard (EPA)
|
|
| الخصائص | |
| الصيغة الجزيئية | (C3H6)n |
| الكثافة | 0.855 g/cm3, amorphous 0.946 g/cm3, crystalline |
| نقطة الانصهار | |
ما لم يُذكر غير ذلك، البيانات المعطاة للمواد في حالاتهم العيارية (عند 25 °س [77 °ف]، 100 kPa). | |
| مراجع الجدول | |
متعدد الپوليپروپلين أو پوليپروپلين PP ، ويُعرف أيضاً بإسم پوليپروپين polypropene ، هو پوليمر لدينة حرارية تُستخدم في نطاق واسع من التطبيقات. ويُنتج عبر بلمرة النمو التسلسلي من پروپيلين أحادي القسيمة.
ويمكن إعداد نماذج رقيقة منها تنثني وتطوى دون أن تنكسر. وتشمل منتجات متعدد البروبلين الألواح والرقائق التي تستخدم في الأجزاء الداخلية للسيارات، ومغلفات أسلاك الهاتف، وألياف السجاد، وآنية الطعام مثل أواني الزبادي والسمن الصناعي النباتي.
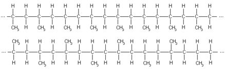
ومتعدد البروبلين بوليمر اصطناعي. والبوليمر جزيء طويل شبيه بالسلسلة. والوصلات نماذج متكررة من مجموعات بسيطة من الذرات تسمى المونمرات أو أحادية الحد. ويصنع متعدد البروبلين من مونمرات البروبلين، وتحتوي كل واحدة على ثلاث ذرات كربون وست ذرات هيدروجين. والصيغة الكيميائية لمتعدد البروبلين هي (C3H6)n حيث n هي عدد المونمرات. ومتعدد البروبلين بلاستيك حراري يلين وينصهر عند درجة الحرارة العالية.
يعد الصانعون متعدد البروبلين بمزج غاز البروبلين بمادة معجلة، وهي مادة تسرع التفاعل الكيميائي دون استخدامها بوساطة التفاعل.
يمكن إضافة أصباغ لتغيير لون المادة مع بعض الحشيات حتى يصعب احتراقها، أو لزيادة صلابتها. والأساليب المستخدمة في تشكيل منتجات متعدد البروبلين تشمل الكبس أو التبنيط أي دفع البلاستيك المنصهر عبر الفتحات، والقولبة بالحقن أي دفع البلاستيك المنصهر داخل القالب، والتشكيل الحراري باستخدام الشفط لسحب رقائق البلاستيك الساخنة داخل الشكل أو القالب المطلوب.
طوّر الكيميائي الإيطالي جيوليو ناتا متعدد البروبلين عام 1954م. وقد حاز ناتا جائزة نوبل للكيمياء عام 1963م مناصفة مع الكيميائي الألماني كارل تسيجلر لأعمالهما في البلاستيك. [1]
الخصائص الكيميائية والفيزيائية
التحلل
التاريخ
التركيب


Mechanism of metallocene catalysts
التصنيع
الاستخدامات
لكون متعدد الپروپلين مقاوم للكلال، فمعظم المفاصل الحية الپلاستيكية، مثل هؤلاء في القنينات ذات ذات الغطاء المصراعي، يـُصنعوا من تلك المادة. إلا أنه من المهم التأكد أن الجزيئات المتسلسلة يكون اتجاههم عبر المفصل لتعئيم القوة.
الأفرخ بالغة الرقة من البروبلين المتعدد تـُستعمل كعازل في بعض النبض عالي الأداء وفي مكثقات RF منخفضة الفقد.
التدوير
المصادر
وصلات خارجية
- Chain structure of Polypropylene
- [http://www.ides.com/generics/PP.htm Technical Propertie
s & Applications]
- Polypropylene is traded on the London Metal Exchange