كاروتين

(تم التحويل من بيتا-كاروتين)
كاروتين
β,β-caroten
Beta-carotene.png
الأسماء
اسم أيوپاك
1,1'-(3,7,12,16-tetrametiloctadeca-1,3,5,7,9,11,13,15,17-1,18-diyl)bis[2,6,6-trimetil-ciclohexeno]
أسماء أخرى
Amarillo Natural 26
Provitamina A
المُعرِّفات
رقم CAS
رقم RTECS
  • FI0329500
الخصائص
الصيغة الجزيئية C40H56
المظهر بلورات لونها أحمر-برتقالي
الكثافة 941
قابلية الذوبان في الماء غير قابل للذوبان في المذيبات الدهنية، أسيتون، بنزين، كلوروفورم، éter dietílico, metanol, sulfuro de carbono. Moderadamente soluble en éteres de petróleo y aceites.
المخاطر
NFPA 704 (معيـَّن النار)
Flammability (red): no hazard codeReactivity (yellow): no hazard codeSpecial hazards (white): no codeNFPA 704 four-colored diamond
ما لم يُذكر غير ذلك، البيانات المعطاة للمواد في حالاتهم العيارية (عند 25 °س [77 °ف]، 100 kPa).
مراجع الجدول
مجسم لجزيء الكاروتين

الكاروتينات هى عبارة عن تربينات, صبغة بناء ضوئي لها لون برتقالي مهمة لعمليات البناء الضوئي.

وهي سبب وجود اللون في الجزر, ويسبب لمن يأكل منه كميات كبيرة ليضبح لونهم أصفر قليلا. وهو لا يساهم بنشاط في البناء الضوئي, ولكنه ينقل الطاقة التى يمتصها لليخضور.

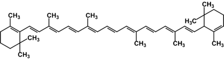
الكاروتين عبارة عن ثنائيات من فيتامين أ وله شكلين, α, وβ-كاروتين. ويمكن للنوعين أن يحفظا في الكبد, وبعكس فيتامين إيه، فالزيادة من الكاروتين ليست سامة ويمكن أن تتحول إلى فيتامين آي عند الحاجة له.

ألفا-كاروتين

ألفا-كاروتين

بيتا-كاروتين

بيتا-كاروتين


بيتا-كاروتين يمكن أن يتواجد في الفاكهة الصفراء, والبرتقالية, والخضرا, وكذلك في الخضروات. ومنها السبانخ, الخس, الطماطم, البطاطا, الشمام, القرع. وكقاعدة عامة يزيد اللون في الفاكهة او الخضروات كلما زادت كمية بيتا-كاروتين الموجودة بها.

بيتا-كاروتين من المواد المانعة للأكسدة وتستخدم للتخلص من الزيادة التى قدد تسبب ضرر من الجذور الحرة في الجسم. وعموما فإنه من فوائد بيتا-كاروتين من المواد التى تساعد أثناء إتباع أنظمة الحمية الغذائية (يؤخذ غلى هيئة أقراص) وأن كان هناك شك في ذلك. بيتا-كاروتين أيضا يذوب في الدهون, ولذا فإنه يتطلب وجود كمية من هذه الدهون في الجسم حتى يذوب.

وصلات خارجية

المصادر

  • ويكيبيديا الإنجليزية.