فيتامين ب3
|
| |||
| الأسماء | |||
|---|---|---|---|
| اسم أيوپاك
nicotinic acid
| |||
| أسماء أخرى
pyridine-3-carboxylic acid, nicotinic acid, nicotinamide, niacinamide, vitamin B3
| |||
| المُعرِّفات | |||
| رقم CAS | |||
3D model (JSmol)
|
|||
| ChemSpider | |||
| ECHA InfoCard | 100.000.401 | ||
| عناوين مواضيع طبية MeSH | |||
PubChem CID
|
|||
CompTox Dashboard (EPA)
|
|||
| |||
| الخصائص | |||
| الصيغة الجزيئية | C6H5NO2 | ||
| كتلة مولية | 123.11 g/mol | ||
| نقطة الانصهار | |||
| نقطة الغليان | |||
ما لم يُذكر غير ذلك، البيانات المعطاة للمواد في حالاتهم العيارية (عند 25 °س [77 °ف]، 100 kPa). | |||
| مراجع الجدول | |||
نياسين Niacin ، ويـُعرف كذلك بإسم فيتامين ب<sub>3 أي vitamin B3 أو حمض النيكوتينيك nicotinic acid. ويمكن الحصول على فيتامين بي3 في الأغذية التالية: الخضراوات الورقية والطماطم والجزر والبلح واللحوم الحمراء واللبن والبيض والأسماك والدواجن.
تاريخ
النياسين وصفه لأول مرة هوگو ڤايدل في عام 1873 في دراسته حول النيكوتين.[1]
ويـُطلق على النياسين اسم ڤيتامين ب3 Vitamin B3 لأنه كان ثالث فيتامينات ب في ترتيب الاكتشاف. وتاريخياً يشار إليه باسم "ڤيتامين پ vitamin PP."
الاحتياجات الغذائية
مقالة مفصلة: پلاگرا
أهميته الحيوية
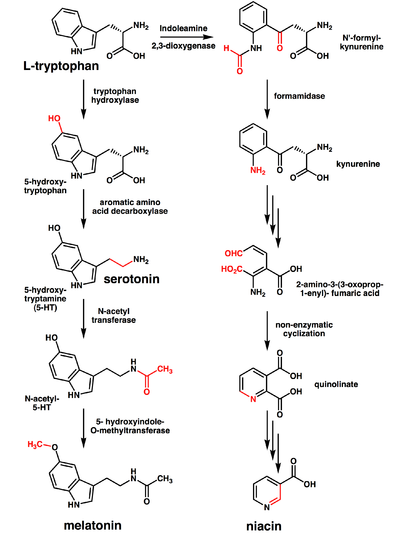
الصورة النشطة من النياسين هي الأدينين ثنائي النيوكليوتيد (NAD+) والأدينين ثنائي النيوكليوتيد فوسفات (NADP+) الموجودان في السيتوسول cytosol في معظم الخلايا (وهو الجزء من السيتوبلازم الخالي من العضيات) ويلعبان دور مهم كعوامل مساعدة للعديد من الإنزيمات النازعة للهيدروجين في السيتوسول والميتوكوندريا. وهذه الإنزيمات مثل لاكتات ديهيدروجينيز lactate dehydrogenase ومالات ديهيدروجينيز malate dehydrogenase أساسية في أيض اللبيدات والكربوهيدرات والأحماض الأمينية. يمكن تصنيع الناياسين من الحمض الأميني الأساسي تربتوفان بنسبة 1 ملليجرام ناياسين لكل 60 ملليجرام تربتوفان بالعديد من التفاعلات التي يبدأها إنزيم ترپتوفان پيروليز tryptophan pyrrolase وهو إنزيم هيموبروتيني. يستخدم الناياسين علاجياً لخفض مستوى الكوليسترول في البلازما عن طريق تثبيط تدفق الأحماض الدهنية الحرة من الأنسجة الدهنية.
السمية
الأشخاص المتعاطون لجرعات دوائية من النياسين (1.5 - 6 ج في اليوم) غالباً ما يعانون من متلازمة من الأعراض الجانبية التي قد تتضمن واحد أو أكثر من مما يلي:[2]
- شكاوى جلدية
- احمرار الوجه والهرش
- بشرة جافة
- طفح جلدي يتضمن شواك أسود acanthosis nigricans
- شكاوى معدية معوية
- dyspepsia (عسر هضم)
- تسمم الكبد
- فرط سكر الدم hyperglycemia
- اضطراب ضربات القلب cardiac arrhythmias
- عيوب خلقية عند الولادة
الثج (احمرار الوجه) هو أكثر الأعراض الجانبية شيوعاً.[3]
الجرعات الأكثر من 2 ج في اليوم تم ربطها تسمم الكبد hepatotoxicity, وخصوصاً مع الصيغ بطيئة الإطلاق slow-release. [4]
الجرعات العالية من النياسين قد ترفع أيضاً سكر الدم, مما يضاعف مرض السكري.[5] فرط حمض يوريك الدم Hyperuricemia هو عرض جانبي آخر لتعاطي جرعات عالية من النياسين; لذلك فالنياسين قد يفاقم من النقرس gout[بحاجة لمصدر].
النياسين بجرعاته المستخدمة في خفض الكولسترول قد ثبت ارتباطه بعيوب خلقية لدى الولادة في حيوانات المعامل ولا يجب تعاطيه للنساء الحوامل.[6]
التخليق الحيوي


الأعراض الجانبية
نقص الناياسين يحدث عادةً عند تناول أغذية فقيرة في كلاً من الناياسين والتربتوفان وذلك في أغذية مثل خيز الذرة ولذلك كان منتشر في دلتا النيل في مصر وفي الأماكن التي يتم فيها تناول الأذية سابقة الذكر. وهذا النقص يؤدي إلى مرض البلاجرا.
تناول كميات كبيرة من فيتامين بي3 يؤدي إلى توسيع الأوعية الدموية واحمرار الجلد والصداع وازدياد تدفق الدم داخل المخ والإسهال والقئ وعلى المدى الطويل تحدث الصفراء وأضرار بالكبد.
الأغذية المتواجدة فيها
| منتجات حيوانية: | فواكه وخضروات: | بذور: | فطريات: |
|---|---|---|---|
|
المراجع
Harper’s Biochemistry
- ^ Weidel, H (1873). "Zur Kenntniss des Nicotins". Justus Liebig's Annalen der Chemie und Pharmacie. 165: 330–349. doi:10.1002/jlac.18731650212.
- ^ J.G. Hardman et al., eds., Goodman and Gilman's Pharmacological Basis of Therapeutics, 10th ed., p.991.
- ^ NIH Medline Plus: Niacin. http://www.nlm.nih.gov/medlineplus/ency/article/002409.htm.
- ^ J.G. Hardman et al., eds., Goodman and Gilman's Pharmacological Basis of Therapeutics, 10th ed., p.992.
- ^ J.G. Hardman et al., eds., Goodman and Gilman's Pharmacological Basis of Therapeutics, 10th ed., p.991.
- ^ J.G. Hardman et al., eds., Goodman and Gilman's Pharmacological Basis of Therapeutics, 10th ed., p.992.

