تخليق الحمض الأميني

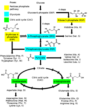
Amino acid biosynthesis overview. The drawn molecules are in their neutral forms and do not fully correspond to their presented names. Humans can not synthesize all of these amino acids.

تخليق الحمض الأميني Amino acid synthesis، هي مجموعة العمليات الكيميائية الحيوية (المسارات الأيضية) والتي تُنتج من خلالها الأحماض الأمينية من مركبات أخرى. ركائز هذه العملية هي المركبات المختلفة الموجودة ضمن النظام الغذائي للعضيات أو وسط النمو. ليست جميع العضيات قادرة على تخليق جميع الأحماض الأمينية. البشر هم مثال جيد على هذه العملية، حيث أن البشر يمكنهم فقط تخليق 11 من الأحماض الأمينية العشرين الأساسية (المعروفة أيضاً بالأحماض الأمينية غير الأساسية)، وفي وقت تسارع النمو، يمكن اعتبار الهيستيدين من الأحماض الأمينية الأساسية.[1]

تكمن المشكلة الأساسية للأجهزة الحيوية في الحصول على النيتروجين في شكل قابل للاستخدام بسهولة. تُحل هذه المشكلة عن طريق بعض العضيات الدقيقة القادرة على تخفيض جزيء N≡N الخامل (غاز النيتروجين) إلى جزيئين من الأمونيا في واحداً من أكثر التفاعلات تميزاً في الكيمياء الحيوية. الأمونيا هي مصدر النيتروجين في جميع الأحماض الأمينية. يأتي العمود الفقري للكربون من المسار الگليكولي، مسار فوسفات الپنتوز، أو دورة حمض السيتريك.


تثبيت النيتروجين

نقل الأمين

من وسائط دورة حمض السيتريك ومسارات أخرى

التنظيم بواسطة التثبيط الارتجاعي

الأحماض الأمينية كسلائف للجزيئات الحيوية الأخرى

المصادر

  1. ^ Annigan, Jan. "How Many Amino Acids Does the Body Require?". SFGate. Demand Media. Retrieved 28 July 2015.

وصلات خارجية